Case report of three patients with end-stage recurrent glioblastoma treated with meldonium.

Sandra Bien-Möller, Martin E Weidemeier, Josefine Radke, Jörg Baldauf, Stefan Engeli, Mladen V Tzvetkov, Henry W S Schroeder
{"title":"Case report of three patients with end-stage recurrent glioblastoma treated with meldonium.","authors":"Sandra Bien-Möller, Martin E Weidemeier, Josefine Radke, Jörg Baldauf, Stefan Engeli, Mladen V Tzvetkov, Henry W S Schroeder","doi":"10.1038/s44276-025-00124-7","DOIUrl":null,"url":null,"abstract":"<p><strong>Background: </strong>Glioblastoma is the most aggressive primary brain tumor in adults. The prognosis is still very poor with a median survival time less than a year. A growing body of data supports the role for fatty acid oxidation (FAO) in the aggressive behavior of glioblastoma. We have previously shown that meldonium, an orally active compound that impairs FAO, caused significant growth reduction of glioblastoma in mice. Here, we report three cases of experimental meldonium-containing therapy in end-stage recurrent glioblastoma patients.</p><p><strong>Methods: </strong>Three end-stage glioblastoma patients, who had second relapse tumor progression after standard of care therapy, received 500 mg meldonium twice a day on the top of the existing therapy regimen. Tolerability and treatment outcomes were monitored.</p><p><strong>Results: </strong>Meldonium was well tolerated by all three patients. One patient experienced long-term growth arrest and maintained clinically stable disease status, currently 24 months into treatment with meldonium. In contrast, the other two patients passed away.</p><p><strong>Conclusions: </strong>The case reports presented here suggest good tolerability and the potential for meldonium to improve outcome in glioblastoma patients. Controlled clinical trials need to follow to evaluate systematically possible benefits from the integration of meldonium into standard glioblastoma treatment protocols.</p>","PeriodicalId":519964,"journal":{"name":"BJC reports","volume":"3 1","pages":"29"},"PeriodicalIF":0.0000,"publicationDate":"2025-04-28","publicationTypes":"Journal Article","fieldsOfStudy":null,"isOpenAccess":false,"openAccessPdf":"https://www.ncbi.nlm.nih.gov/pmc/articles/PMC12037855/pdf/","citationCount":"0","resultStr":null,"platform":"Semanticscholar","paperid":null,"PeriodicalName":"BJC reports","FirstCategoryId":"1085","ListUrlMain":"https://doi.org/10.1038/s44276-025-00124-7","RegionNum":0,"RegionCategory":null,"ArticlePicture":[],"TitleCN":null,"AbstractTextCN":null,"PMCID":null,"EPubDate":"","PubModel":"","JCR":"","JCRName":"","Score":null,"Total":0}
引用次数: 0

Abstract

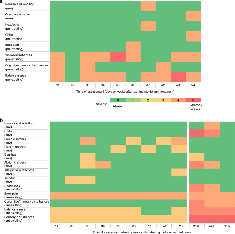
Background: Glioblastoma is the most aggressive primary brain tumor in adults. The prognosis is still very poor with a median survival time less than a year. A growing body of data supports the role for fatty acid oxidation (FAO) in the aggressive behavior of glioblastoma. We have previously shown that meldonium, an orally active compound that impairs FAO, caused significant growth reduction of glioblastoma in mice. Here, we report three cases of experimental meldonium-containing therapy in end-stage recurrent glioblastoma patients.

Methods: Three end-stage glioblastoma patients, who had second relapse tumor progression after standard of care therapy, received 500 mg meldonium twice a day on the top of the existing therapy regimen. Tolerability and treatment outcomes were monitored.

Results: Meldonium was well tolerated by all three patients. One patient experienced long-term growth arrest and maintained clinically stable disease status, currently 24 months into treatment with meldonium. In contrast, the other two patients passed away.

Conclusions: The case reports presented here suggest good tolerability and the potential for meldonium to improve outcome in glioblastoma patients. Controlled clinical trials need to follow to evaluate systematically possible benefits from the integration of meldonium into standard glioblastoma treatment protocols.

Abstract Image

Abstract Image

Abstract Image

米屈肼治疗晚期复发性胶质母细胞瘤3例报告。
背景:胶质母细胞瘤是成人最具侵袭性的原发性脑肿瘤。预后仍然很差,中位生存时间不到一年。越来越多的数据支持脂肪酸氧化(FAO)在胶质母细胞瘤侵袭行为中的作用。我们之前已经证明,米屈肼是一种口服活性化合物,可损害FAO,导致小鼠胶质母细胞瘤的生长显著减少。在此,我们报告三例实验性含米曲肼治疗终末期复发性胶质母细胞瘤患者。方法:3例终末期胶质母细胞瘤患者,在标准护理治疗后肿瘤再次复发进展,在现有治疗方案的基础上给予500 mg美度铵,每日2次。监测耐受性和治疗结果。结果:三例患者均对美度铵耐受良好。1例患者经历了长期生长停止,并维持了临床稳定的疾病状态,目前已接受美度铵治疗24个月。相比之下,另外两名患者去世了。结论:本文报道的病例报告表明,米屈肼具有良好的耐受性和改善胶质母细胞瘤患者预后的潜力。需要进行对照临床试验,系统地评估将美度铵纳入标准胶质母细胞瘤治疗方案可能带来的益处。
本文章由计算机程序翻译,如有差异,请以英文原文为准。
求助全文
约1分钟内获得全文 求助全文
来源期刊
自引率
0.00%
发文量
0
×
引用
GB/T 7714-2015
复制
MLA
复制
APA
复制
导出至
BibTeX EndNote RefMan NoteFirst NoteExpress
×
提示
您的信息不完整,为了账户安全,请先补充。
现在去补充
×
提示
您因"违规操作"
具体请查看互助需知
我知道了
×
提示
确定
请完成安全验证×
copy
已复制链接
快去分享给好友吧!
我知道了
右上角分享
点击右上角分享
0
联系我们:info@booksci.cn Book学术提供免费学术资源搜索服务,方便国内外学者检索中英文文献。致力于提供最便捷和优质的服务体验。 Copyright © 2023 布克学术 All rights reserved.
京ICP备2023020795号-1
ghs 京公网安备 11010802042870号
Book学术文献互助
Book学术文献互助群
群 号:604180095
Book学术官方微信