Reproducibility of Plasma Biomarker Measurements Across Laboratories: Insights Into ptau217, GFAP, and NfL.

Dementia and neurocognitive disorders Pub Date : 2025-04-01 Epub Date: 2025-02-19 DOI:10.12779/dnd.2025.24.2.91
Heekyoung Kang, Sook-Young Woo, Daeun Shin, Sohyun Yim, Eun Hye Lee, Hyunchul Ryu, Bora Chu, Henrik Zetterberg, Kaj Blennow, Jihwan Yun, Duk L Na, Hee Jin Kim, Hyemin Jang, Jun Pyo Kim
{"title":"Reproducibility of Plasma Biomarker Measurements Across Laboratories: Insights Into ptau217, GFAP, and NfL.","authors":"Heekyoung Kang, Sook-Young Woo, Daeun Shin, Sohyun Yim, Eun Hye Lee, Hyunchul Ryu, Bora Chu, Henrik Zetterberg, Kaj Blennow, Jihwan Yun, Duk L Na, Hee Jin Kim, Hyemin Jang, Jun Pyo Kim","doi":"10.12779/dnd.2025.24.2.91","DOIUrl":null,"url":null,"abstract":"<p><strong>Background and purpose: </strong>Plasma biomarkers, including phosphorylated tau (ptau217), glial fibrillary acidic protein (GFAP), and neurofilament light chain (NfL), are promising tools for detecting Alzheimer's disease (AD) pathology. However, cross-laboratory reproducibility remains a challenge, even when using identical analytical platforms such as single-molecule array (Simoa). This study aimed to compare plasma biomarker measurements (ptau217, GFAP, and NfL) between 2 laboratories, the University of Gothenburg (UGOT) and DNAlink, and evaluate their associations with amyloid positron emission tomography (PET) imaging.</p><p><strong>Methods: </strong>Plasma biomarkers were measured using Simoa platforms at both laboratories: the UGOT and DNAlink Incorporation. Diagnostic performance for predicting amyloid PET positivity, cross-laboratory agreement, and the impact of normalization techniques were assessed. Bland-Altman plots and correlation analyses were employed to evaluate agreement and variability.</p><p><strong>Results: </strong>Plasma ptau217 concentrations exhibited strong correlations with amyloid PET global centiloid values, with comparable diagnostic performance between laboratories (area under the curve=0.94 for UGOT and 0.95 for DNAlink). Cross-laboratory agreement for ptau217 was excellent (<i>r</i>=0.96), improving further after natural log transformation. GFAP and NfL also demonstrated moderate to strong correlations (<i>r</i>=0.86 for GFAP and <i>r</i>=0.99 for NfL), with normalization reducing variability.</p><p><strong>Conclusions: </strong>Plasma biomarker measurements were consistent across laboratories using identical Simoa platforms, with strong diagnostic performance and improved agreement after normalization. These findings support the scalability of plasma biomarkers for multi-center studies and underscore their potential for standardized applications in AD research and clinical practice.</p>","PeriodicalId":72779,"journal":{"name":"Dementia and neurocognitive disorders","volume":"24 2","pages":"91-101"},"PeriodicalIF":0.0000,"publicationDate":"2025-04-01","publicationTypes":"Journal Article","fieldsOfStudy":null,"isOpenAccess":false,"openAccessPdf":"https://www.ncbi.nlm.nih.gov/pmc/articles/PMC12046245/pdf/","citationCount":"0","resultStr":null,"platform":"Semanticscholar","paperid":null,"PeriodicalName":"Dementia and neurocognitive disorders","FirstCategoryId":"1085","ListUrlMain":"https://doi.org/10.12779/dnd.2025.24.2.91","RegionNum":0,"RegionCategory":null,"ArticlePicture":[],"TitleCN":null,"AbstractTextCN":null,"PMCID":null,"EPubDate":"2025/2/19 0:00:00","PubModel":"Epub","JCR":"","JCRName":"","Score":null,"Total":0}
引用次数: 0

Abstract

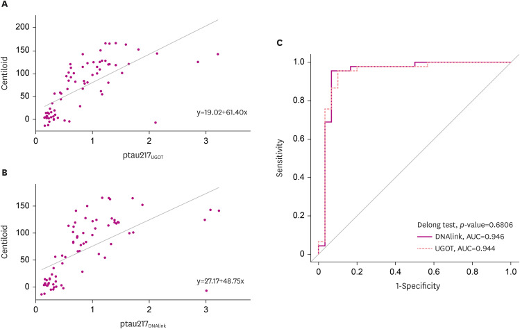
Background and purpose: Plasma biomarkers, including phosphorylated tau (ptau217), glial fibrillary acidic protein (GFAP), and neurofilament light chain (NfL), are promising tools for detecting Alzheimer's disease (AD) pathology. However, cross-laboratory reproducibility remains a challenge, even when using identical analytical platforms such as single-molecule array (Simoa). This study aimed to compare plasma biomarker measurements (ptau217, GFAP, and NfL) between 2 laboratories, the University of Gothenburg (UGOT) and DNAlink, and evaluate their associations with amyloid positron emission tomography (PET) imaging.

Methods: Plasma biomarkers were measured using Simoa platforms at both laboratories: the UGOT and DNAlink Incorporation. Diagnostic performance for predicting amyloid PET positivity, cross-laboratory agreement, and the impact of normalization techniques were assessed. Bland-Altman plots and correlation analyses were employed to evaluate agreement and variability.

Results: Plasma ptau217 concentrations exhibited strong correlations with amyloid PET global centiloid values, with comparable diagnostic performance between laboratories (area under the curve=0.94 for UGOT and 0.95 for DNAlink). Cross-laboratory agreement for ptau217 was excellent (r=0.96), improving further after natural log transformation. GFAP and NfL also demonstrated moderate to strong correlations (r=0.86 for GFAP and r=0.99 for NfL), with normalization reducing variability.

Conclusions: Plasma biomarker measurements were consistent across laboratories using identical Simoa platforms, with strong diagnostic performance and improved agreement after normalization. These findings support the scalability of plasma biomarkers for multi-center studies and underscore their potential for standardized applications in AD research and clinical practice.

Abstract Image

Abstract Image

Abstract Image

血浆生物标志物测量的可重复性跨实验室:洞察ptau217, GFAP,和NfL。
背景与目的:血浆生物标志物,包括磷酸化tau蛋白(ptau217)、胶质纤维酸性蛋白(GFAP)和神经丝轻链(NfL),是检测阿尔茨海默病(AD)病理的有希望的工具。然而,即使使用相同的分析平台,如单分子阵列(Simoa),跨实验室的可重复性仍然是一个挑战。本研究旨在比较哥德堡大学(UGOT)和DNAlink两个实验室的血浆生物标志物测量(ptau217、GFAP和NfL),并评估它们与淀粉样正电子发射断层扫描(PET)成像的相关性。方法:在UGOT和DNAlink公司两个实验室使用Simoa平台测量血浆生物标志物。评估了预测淀粉样蛋白PET阳性的诊断性能、跨实验室一致性和标准化技术的影响。Bland-Altman图和相关分析用于评估一致性和变异性。结果:血浆ptau217浓度与淀粉样蛋白PET总centiloid值具有很强的相关性,在实验室之间具有相当的诊断性能(UGOT的曲线下面积=0.94,DNAlink的曲线下面积= 0.95)。ptau217的跨实验室一致性极好(r=0.96),经自然对数变换后进一步提高。GFAP和NfL也表现出中等到强的相关性(GFAP为r=0.86, NfL为r=0.99),归一化降低了变异性。结论:血浆生物标志物的测量在使用相同Simoa平台的实验室中是一致的,具有很强的诊断性能,标准化后的一致性提高。这些发现支持了血浆生物标志物在多中心研究中的可扩展性,并强调了它们在阿尔茨海默病研究和临床实践中的标准化应用潜力。
本文章由计算机程序翻译,如有差异,请以英文原文为准。
求助全文
约1分钟内获得全文 求助全文
来源期刊
自引率
0.00%
发文量
0
×
引用
GB/T 7714-2015
复制
MLA
复制
APA
复制
导出至
BibTeX EndNote RefMan NoteFirst NoteExpress
×
提示
您的信息不完整,为了账户安全,请先补充。
现在去补充
×
提示
您因"违规操作"
具体请查看互助需知
我知道了
×
提示
确定
请完成安全验证×
copy
已复制链接
快去分享给好友吧!
我知道了
右上角分享
点击右上角分享
0
联系我们:info@booksci.cn Book学术提供免费学术资源搜索服务,方便国内外学者检索中英文文献。致力于提供最便捷和优质的服务体验。 Copyright © 2023 布克学术 All rights reserved.
京ICP备2023020795号-1
ghs 京公网安备 11010802042870号
Book学术文献互助
Book学术文献互助群
群 号:604180095
Book学术官方微信