Burden of disease in the Belt and Road countries from 1990 to 2021: analysis of estimates from the Global Burden of Disease 2021.

IF 4.6 2区 医学 Q1 PUBLIC, ENVIRONMENTAL & OCCUPATIONAL HEALTH
Youyou Wu, Peishan Ning, Zhenzhen Rao, Li Li, David C Schwebel, Peixia Cheng, Yanhong Fu, Ruotong Li, Jie Li, Wanhui Wang, Guoqing Hu
{"title":"Burden of disease in the Belt and Road countries from 1990 to 2021: analysis of estimates from the Global Burden of Disease 2021.","authors":"Youyou Wu, Peishan Ning, Zhenzhen Rao, Li Li, David C Schwebel, Peixia Cheng, Yanhong Fu, Ruotong Li, Jie Li, Wanhui Wang, Guoqing Hu","doi":"10.1186/s41256-025-00403-3","DOIUrl":null,"url":null,"abstract":"<p><strong>Background: </strong>As a newly emerging collaborative platform to boost regional growth and prosperity, the Belt and Road Initiative (BRI) has great potential to promote global health development. However, the overall health status of BRI countries remains unclear. We analyzed the health patterns and its geographical distribution in 149 BRI countries from 1990 to 2021.</p><p><strong>Methods: </strong>Using the Global Burden of Disease 2021 (GBD 2021) online database, we examined time trends, country and income variations in death rate and disability-adjusted life years (DALY) rate, and compared the trends and projected 2030 values for ten key health-related Sustainable Development Goals (SDGs) indicators among the 149 BRI countries.</p><p><strong>Results: </strong>The number of deaths and DALYs of BRI countries represented 62.9-66.0% of global deaths and 64.8-66.8% of global DALYs between 1990 and 2021, and both the overall age-standardized death rate and DALY rate continued to be higher in BRI countries than in non-BRI countries throughout the time period studied. Great variations existed across the 149 BRI countries for both level of and changes in age-standardized death rate and DALY rate. The 2030 targets for six health-related SDGs indicators will not be reached in over 70% of BRI countries according to the previous changing speed trajectory.</p><p><strong>Conclusions: </strong>Our findings demonstrate that BRI countries face a heavy burden of disease that varies across countries, although health outcomes have improved since 1990. Progress toward 2030 targets for six key health-related SDGs indicators in most BRI countries was slow. These findings support calls for more health collaborations, aid programs, and other health service to reduce health disparities across the BRI countries.</p>","PeriodicalId":52405,"journal":{"name":"Global Health Research and Policy","volume":"10 1","pages":"20"},"PeriodicalIF":4.6000,"publicationDate":"2025-05-01","publicationTypes":"Journal Article","fieldsOfStudy":null,"isOpenAccess":false,"openAccessPdf":"https://www.ncbi.nlm.nih.gov/pmc/articles/PMC12046647/pdf/","citationCount":"0","resultStr":null,"platform":"Semanticscholar","paperid":null,"PeriodicalName":"Global Health Research and Policy","FirstCategoryId":"3","ListUrlMain":"https://doi.org/10.1186/s41256-025-00403-3","RegionNum":2,"RegionCategory":"医学","ArticlePicture":[],"TitleCN":null,"AbstractTextCN":null,"PMCID":null,"EPubDate":"","PubModel":"","JCR":"Q1","JCRName":"PUBLIC, ENVIRONMENTAL & OCCUPATIONAL HEALTH","Score":null,"Total":0}
引用次数: 0

Abstract

Background: As a newly emerging collaborative platform to boost regional growth and prosperity, the Belt and Road Initiative (BRI) has great potential to promote global health development. However, the overall health status of BRI countries remains unclear. We analyzed the health patterns and its geographical distribution in 149 BRI countries from 1990 to 2021.

Methods: Using the Global Burden of Disease 2021 (GBD 2021) online database, we examined time trends, country and income variations in death rate and disability-adjusted life years (DALY) rate, and compared the trends and projected 2030 values for ten key health-related Sustainable Development Goals (SDGs) indicators among the 149 BRI countries.

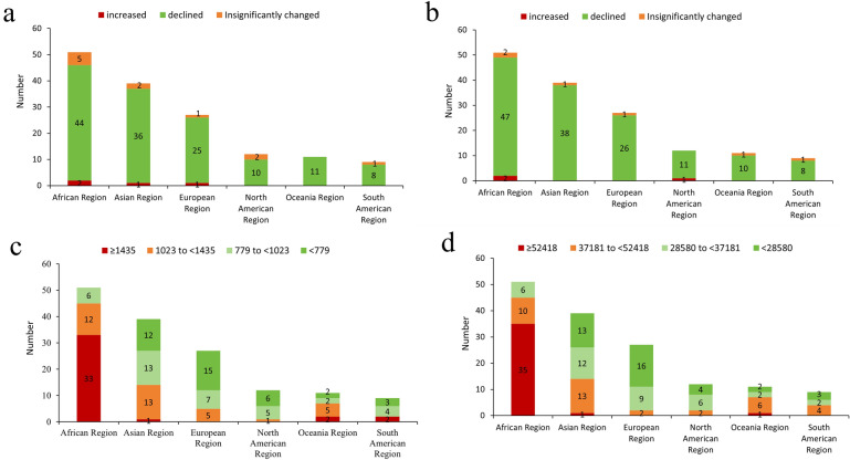
Results: The number of deaths and DALYs of BRI countries represented 62.9-66.0% of global deaths and 64.8-66.8% of global DALYs between 1990 and 2021, and both the overall age-standardized death rate and DALY rate continued to be higher in BRI countries than in non-BRI countries throughout the time period studied. Great variations existed across the 149 BRI countries for both level of and changes in age-standardized death rate and DALY rate. The 2030 targets for six health-related SDGs indicators will not be reached in over 70% of BRI countries according to the previous changing speed trajectory.

Conclusions: Our findings demonstrate that BRI countries face a heavy burden of disease that varies across countries, although health outcomes have improved since 1990. Progress toward 2030 targets for six key health-related SDGs indicators in most BRI countries was slow. These findings support calls for more health collaborations, aid programs, and other health service to reduce health disparities across the BRI countries.

Abstract Image

Abstract Image

Abstract Image

1990年至2021年“一带一路”国家的疾病负担:对《2021年全球疾病负担》估算值的分析。
背景:“一带一路”倡议作为促进区域增长和繁荣的新兴合作平台,在促进全球健康发展方面具有巨大潜力。然而,“一带一路”国家的整体健康状况仍不明朗。我们分析了1990年至2021年149个“一带一路”国家的健康模式及其地理分布。方法:利用全球疾病负担2021 (GBD 2021)在线数据库,研究了死亡率和残疾调整生命年(DALY)率的时间趋势、国家和收入变化,并比较了149个“一带一路”国家中10个与健康相关的关键可持续发展目标(sdg)指标的趋势和2030年预测值。结果:1990年至2021年间,“一带一路”国家的死亡人数和DALY占全球死亡人数的62.9-66.0%,占全球DALY年的64.8-66.8%,在整个研究期间,“一带一路”国家的总体年龄标准化死亡率和DALY率继续高于非“一带一路”国家。149个“一带一路”国家的年龄标准化死亡率和DALY率的水平和变化都存在很大差异。按照以往的变化速度轨迹,70%以上的“一带一路”国家无法实现2030年与卫生相关的六项可持续发展目标。结论:我们的研究结果表明,尽管自1990年以来健康状况有所改善,但“一带一路”国家面临着各国不同的沉重疾病负担。大多数“一带一路”国家在实现2030年六项与卫生有关的可持续发展目标关键指标方面进展缓慢。这些发现支持加强卫生合作、援助项目和其他卫生服务的呼吁,以缩小“一带一路”国家之间的卫生差距。
本文章由计算机程序翻译,如有差异,请以英文原文为准。
求助全文
约1分钟内获得全文 求助全文
来源期刊
Global Health Research and Policy
Global Health Research and Policy Social Sciences-Health (social science)
CiteScore
12.00
自引率
1.10%
发文量
43
审稿时长
5 weeks
期刊介绍: Global Health Research and Policy, an open-access, multidisciplinary journal, publishes research on various aspects of global health, addressing topics like health equity, health systems and policy, social determinants of health, disease burden, population health, and other urgent global health issues. It serves as a forum for high-quality research focused on regional and global health improvement, emphasizing solutions for health equity.
×
引用
GB/T 7714-2015
复制
MLA
复制
APA
复制
导出至
BibTeX EndNote RefMan NoteFirst NoteExpress
×
提示
您的信息不完整,为了账户安全,请先补充。
现在去补充
×
提示
您因"违规操作"
具体请查看互助需知
我知道了
×
提示
确定
请完成安全验证×
copy
已复制链接
快去分享给好友吧!
我知道了
右上角分享
点击右上角分享
0
联系我们:info@booksci.cn Book学术提供免费学术资源搜索服务,方便国内外学者检索中英文文献。致力于提供最便捷和优质的服务体验。 Copyright © 2023 布克学术 All rights reserved.
京ICP备2023020795号-1
ghs 京公网安备 11010802042870号
Book学术文献互助
Book学术文献互助群
群 号:604180095
Book学术官方微信