An Efficient Quasi-Newton Method with Tensor Product Implementation for Solving Quasi-Linear Elliptic Equations and Systems.

IF 3.3 2区 数学 Q1 MATHEMATICS, APPLIED
Journal of Scientific Computing Pub Date : 2025-01-01 Epub Date: 2025-04-30 DOI:10.1007/s10915-025-02897-y
Wenrui Hao, Sun Lee, Xiangxiong Zhang
{"title":"An Efficient Quasi-Newton Method with Tensor Product Implementation for Solving Quasi-Linear Elliptic Equations and Systems.","authors":"Wenrui Hao, Sun Lee, Xiangxiong Zhang","doi":"10.1007/s10915-025-02897-y","DOIUrl":null,"url":null,"abstract":"<p><p>In this paper, we introduce a quasi-Newton method optimized for efficiently solving quasi-linear elliptic equations and systems, with a specific focus on GPU-based computation. By approximating the Jacobian matrix with a combination of linear Laplacian and simplified nonlinear terms, our method reduces the computational overhead typical of traditional Newton methods while handling the large, sparse matrices generated from discretized PDEs. We also provide a convergence analysis demonstrating local convergence to the exact solution under optimal choices for the regularization parameter, ensuring stability and efficiency in each iteration. Numerical experiments in two- and three-dimensional domains validate the proposed method's robustness and computational gains with tensor product implementation. This approach offers a promising pathway for accelerating quasi-linear elliptic equations and systems solvers, expanding the feasibility of complex simulations in physics, engineering, and other fields leveraging advanced hardware capabilities.</p>","PeriodicalId":50055,"journal":{"name":"Journal of Scientific Computing","volume":"103 3","pages":"89"},"PeriodicalIF":3.3000,"publicationDate":"2025-01-01","publicationTypes":"Journal Article","fieldsOfStudy":null,"isOpenAccess":false,"openAccessPdf":"https://www.ncbi.nlm.nih.gov/pmc/articles/PMC12043795/pdf/","citationCount":"0","resultStr":null,"platform":"Semanticscholar","paperid":null,"PeriodicalName":"Journal of Scientific Computing","FirstCategoryId":"100","ListUrlMain":"https://doi.org/10.1007/s10915-025-02897-y","RegionNum":2,"RegionCategory":"数学","ArticlePicture":[],"TitleCN":null,"AbstractTextCN":null,"PMCID":null,"EPubDate":"2025/4/30 0:00:00","PubModel":"Epub","JCR":"Q1","JCRName":"MATHEMATICS, APPLIED","Score":null,"Total":0}
引用次数: 0

Abstract

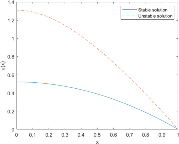
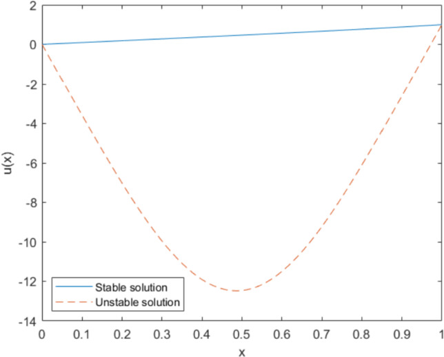
In this paper, we introduce a quasi-Newton method optimized for efficiently solving quasi-linear elliptic equations and systems, with a specific focus on GPU-based computation. By approximating the Jacobian matrix with a combination of linear Laplacian and simplified nonlinear terms, our method reduces the computational overhead typical of traditional Newton methods while handling the large, sparse matrices generated from discretized PDEs. We also provide a convergence analysis demonstrating local convergence to the exact solution under optimal choices for the regularization parameter, ensuring stability and efficiency in each iteration. Numerical experiments in two- and three-dimensional domains validate the proposed method's robustness and computational gains with tensor product implementation. This approach offers a promising pathway for accelerating quasi-linear elliptic equations and systems solvers, expanding the feasibility of complex simulations in physics, engineering, and other fields leveraging advanced hardware capabilities.

Abstract Image

Abstract Image

Abstract Image

求解拟线性椭圆方程和系统的有效的张量积拟牛顿法。
在本文中,我们介绍了一种准牛顿方法,用于有效地求解拟线性椭圆方程和系统,并特别关注基于gpu的计算。通过结合线性拉普拉斯和简化非线性项逼近雅可比矩阵,我们的方法在处理离散偏微分方程生成的大型稀疏矩阵时减少了传统牛顿方法的典型计算开销。我们还提供了收敛性分析,证明了正则化参数最优选择下精确解的局部收敛性,保证了每次迭代的稳定性和效率。二维和三维领域的数值实验验证了该方法的鲁棒性和计算增益。这种方法为加速拟线性椭圆方程和系统求解器提供了一条有前途的途径,扩大了物理、工程和其他利用先进硬件功能的领域的复杂模拟的可行性。
本文章由计算机程序翻译,如有差异,请以英文原文为准。
求助全文
约1分钟内获得全文 求助全文
来源期刊
Journal of Scientific Computing
Journal of Scientific Computing 数学-应用数学
CiteScore
4.00
自引率
12.00%
发文量
302
审稿时长
4-8 weeks
期刊介绍: Journal of Scientific Computing is an international interdisciplinary forum for the publication of papers on state-of-the-art developments in scientific computing and its applications in science and engineering. The journal publishes high-quality, peer-reviewed original papers, review papers and short communications on scientific computing.
×
引用
GB/T 7714-2015
复制
MLA
复制
APA
复制
导出至
BibTeX EndNote RefMan NoteFirst NoteExpress
×
提示
您的信息不完整,为了账户安全,请先补充。
现在去补充
×
提示
您因"违规操作"
具体请查看互助需知
我知道了
×
提示
确定
请完成安全验证×
copy
已复制链接
快去分享给好友吧!
我知道了
右上角分享
点击右上角分享
0
联系我们:info@booksci.cn Book学术提供免费学术资源搜索服务,方便国内外学者检索中英文文献。致力于提供最便捷和优质的服务体验。 Copyright © 2023 布克学术 All rights reserved.
京ICP备2023020795号-1
ghs 京公网安备 11010802042870号
Book学术文献互助
Book学术文献互助群
群 号:604180095
Book学术官方微信