Sub-national landscape on the years of life lost due to COVID-19 pandemic in the major cities of Southern Philippines.

IF 3.1
Zython Paul Lachica
{"title":"Sub-national landscape on the years of life lost due to COVID-19 pandemic in the major cities of Southern Philippines.","authors":"Zython Paul Lachica","doi":"10.1093/pubmed/fdaf047","DOIUrl":null,"url":null,"abstract":"<p><strong>Background: </strong>In Southern Philippines, 5 697 COVID-19 deaths were reported in the major cities from March 2020 to June 2022. The pandemic's impact, despite the relatively modest death toll, was examined by analysing the Years of Life Lost (YLL) derived from disease surveillance datasets.</p><p><strong>Methods: </strong>The individual YLLs were calculated using the global disease burden approach applying 7% discounting rate and adjusting for sex, age-at-death, and the individual's city-location. The YLLs were then aggregated on a monthly basis. Descriptive analytics were used to characterise the dynamic nature over time of the YLLs.</p><p><strong>Results: </strong>A total of 51 749.07 YLLs due to COVID-19 were estimated, i.e. 9.09 YLLs per death or 969.49 YLLs per 100 000 population. The monthly YLL ranged from 68.55 to 7 641.12. On average, the age-at-death is 59.68 years with males having younger age-at-death than females. Notably, the weekly COVID-19 incidences and deaths in Southern Philippines showed synchronous peaks.</p><p><strong>Conclusion: </strong>The average age-at-death in Southern Philippines is at least 10 years younger than both international age-at-death estimates and the Philippine life expectancy. The synchronous weekly peaks may highlight distinct pandemic dynamics for a low- and middle-income country. The YLL due to COVID-19 in Southern Philippines, at a sub-national level, is comparable to some country-level estimates, highlighting the impact of the pandemic on this island region alone.</p>","PeriodicalId":94107,"journal":{"name":"Journal of public health (Oxford, England)","volume":" ","pages":"e357-e364"},"PeriodicalIF":3.1000,"publicationDate":"2025-08-29","publicationTypes":"Journal Article","fieldsOfStudy":null,"isOpenAccess":false,"openAccessPdf":"https://www.ncbi.nlm.nih.gov/pmc/articles/PMC12395941/pdf/","citationCount":"0","resultStr":null,"platform":"Semanticscholar","paperid":null,"PeriodicalName":"Journal of public health (Oxford, England)","FirstCategoryId":"1085","ListUrlMain":"https://doi.org/10.1093/pubmed/fdaf047","RegionNum":0,"RegionCategory":null,"ArticlePicture":[],"TitleCN":null,"AbstractTextCN":null,"PMCID":null,"EPubDate":"","PubModel":"","JCR":"","JCRName":"","Score":null,"Total":0}
引用次数: 0

Abstract

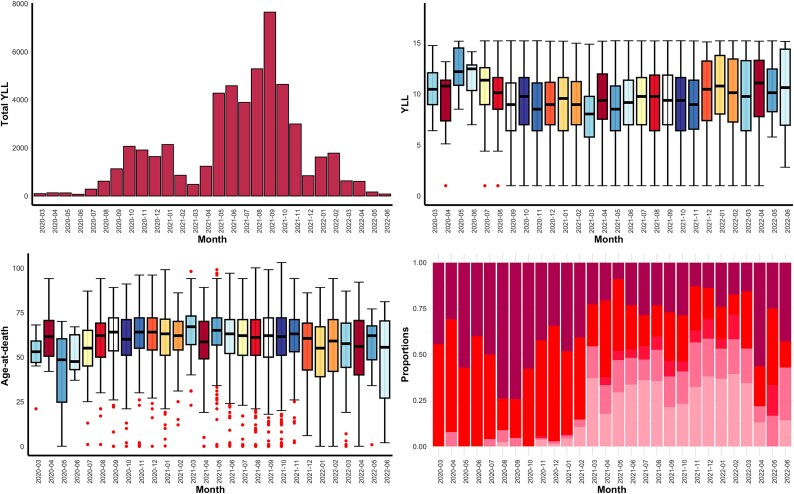
Background: In Southern Philippines, 5 697 COVID-19 deaths were reported in the major cities from March 2020 to June 2022. The pandemic's impact, despite the relatively modest death toll, was examined by analysing the Years of Life Lost (YLL) derived from disease surveillance datasets.

Methods: The individual YLLs were calculated using the global disease burden approach applying 7% discounting rate and adjusting for sex, age-at-death, and the individual's city-location. The YLLs were then aggregated on a monthly basis. Descriptive analytics were used to characterise the dynamic nature over time of the YLLs.

Results: A total of 51 749.07 YLLs due to COVID-19 were estimated, i.e. 9.09 YLLs per death or 969.49 YLLs per 100 000 population. The monthly YLL ranged from 68.55 to 7 641.12. On average, the age-at-death is 59.68 years with males having younger age-at-death than females. Notably, the weekly COVID-19 incidences and deaths in Southern Philippines showed synchronous peaks.

Conclusion: The average age-at-death in Southern Philippines is at least 10 years younger than both international age-at-death estimates and the Philippine life expectancy. The synchronous weekly peaks may highlight distinct pandemic dynamics for a low- and middle-income country. The YLL due to COVID-19 in Southern Philippines, at a sub-national level, is comparable to some country-level estimates, highlighting the impact of the pandemic on this island region alone.

Abstract Image

Abstract Image

菲律宾南部主要城市因COVID-19大流行而损失的生命年数。
背景:在菲律宾南部,从2020年3月至2022年6月,主要城市报告了5697例COVID-19死亡。尽管死亡人数相对较少,但通过分析从疾病监测数据集得出的生命损失年数(YLL),研究了大流行的影响。方法:采用全球疾病负担方法,采用7%的贴现率,并对性别、死亡年龄和个人所在城市进行调整,计算个体的yll。然后按月汇总年度贷款。描述性分析用于描述yl随时间变化的动态特性。结果:2019冠状病毒病死率为51 749.07个yll,即每死亡9.09个yll或每10万人口969.49个yll。月YLL为68.55 ~ 7 641.12。平均死亡年龄为59.68岁,男性的死亡年龄低于女性。值得注意的是,菲律宾南部每周的COVID-19发病率和死亡人数出现同步高峰。结论:菲律宾南部的平均死亡年龄比国际估计的死亡年龄和菲律宾的预期寿命至少年轻10岁。同步的每周高峰可能突出了低收入和中等收入国家不同的大流行动态。在菲律宾南部,次国家一级因COVID-19造成的死亡人数与一些国家一级的估计数相当,突出了大流行仅对该岛屿地区的影响。
本文章由计算机程序翻译,如有差异,请以英文原文为准。
求助全文
约1分钟内获得全文 求助全文
来源期刊
自引率
0.00%
发文量
0
×
引用
GB/T 7714-2015
复制
MLA
复制
APA
复制
导出至
BibTeX EndNote RefMan NoteFirst NoteExpress
×
提示
您的信息不完整,为了账户安全,请先补充。
现在去补充
×
提示
您因"违规操作"
具体请查看互助需知
我知道了
×
提示
确定
请完成安全验证×
copy
已复制链接
快去分享给好友吧!
我知道了
右上角分享
点击右上角分享
0
联系我们:info@booksci.cn Book学术提供免费学术资源搜索服务,方便国内外学者检索中英文文献。致力于提供最便捷和优质的服务体验。 Copyright © 2023 布克学术 All rights reserved.
京ICP备2023020795号-1
ghs 京公网安备 11010802042870号
Book学术文献互助
Book学术文献互助群
群 号:604180095
Book学术官方微信