Epidemiology of Spinal Cord Injury in British Columbia, Canada: 20 Years of Population-Based Administrative Data.

IF 1.8 Q3 CLINICAL NEUROLOGY
Neurotrauma reports Pub Date : 2025-04-09 eCollection Date: 2025-01-01 DOI:10.1089/neur.2025.0012
Michael Bond, Aidan Beresford, Vanessa Noonan, Naama Rotem-Kohavi, Marcel Dvorak, Brian Kwon, Guiping Liu, Jason M Sutherland
{"title":"Epidemiology of Spinal Cord Injury in British Columbia, Canada: 20 Years of Population-Based Administrative Data.","authors":"Michael Bond, Aidan Beresford, Vanessa Noonan, Naama Rotem-Kohavi, Marcel Dvorak, Brian Kwon, Guiping Liu, Jason M Sutherland","doi":"10.1089/neur.2025.0012","DOIUrl":null,"url":null,"abstract":"<p><p>Traumatic spinal cord injury (TSCI) is a debilitating condition that can have significant effects on physical function and overall quality of life. Mechanisms of injury can vary from major trauma to low-energy falls. There has been a recent increase in the number of elderly patients with TSCI. A retrospective analysis of population-based hospital records linked with health care administrative datasets was conducted to measure age-standardized rates of TSCI over time. The study was conducted to describe the epidemiology and demographic characteristics of patients who experienced TSCI between 2001 and 2021 in the province of British Columbia, Canada. Demographic, clinical characteristics, and rates of TSCI were evaluated over time. Linear regression was used to assess changes over time. The study identified 3622 patients with TSCI. The average age at the time of injury was 51.1 (standard deviation [SD] 21.19) and 75.0% were males. The average annual age-standardized rate in this population was 35.4 per million. The overall rate remained stable throughout the study period. The mean age at injury increased from 41.9 to 57.5 over the study period of 2001-2021 (<i>p</i> < 0.001). The most frequent causes of injury were low-energy falls (49.9%) and motor vehicle injuries (36.6%). The proportion of injuries related to falls increased over the study period (<i>p</i> < 0.001). Motor and sensory complete TSCI were seen in higher rates among younger patients, and cervical spine injuries were most common among all age-groups. The rate of TCSI was consistent during the study period, though the demographic of patients and their injury mechanism changed considerably; elderly low-energy falls were an increasing proportion of cases. Continued vigilance in elderly fall prevention is needed to reduce the incidence of TCSI among the elderly.</p>","PeriodicalId":74300,"journal":{"name":"Neurotrauma reports","volume":"6 1","pages":"311-321"},"PeriodicalIF":1.8000,"publicationDate":"2025-04-09","publicationTypes":"Journal Article","fieldsOfStudy":null,"isOpenAccess":false,"openAccessPdf":"https://www.ncbi.nlm.nih.gov/pmc/articles/PMC12040552/pdf/","citationCount":"0","resultStr":null,"platform":"Semanticscholar","paperid":null,"PeriodicalName":"Neurotrauma reports","FirstCategoryId":"1085","ListUrlMain":"https://doi.org/10.1089/neur.2025.0012","RegionNum":0,"RegionCategory":null,"ArticlePicture":[],"TitleCN":null,"AbstractTextCN":null,"PMCID":null,"EPubDate":"2025/1/1 0:00:00","PubModel":"eCollection","JCR":"Q3","JCRName":"CLINICAL NEUROLOGY","Score":null,"Total":0}
引用次数: 0

Abstract

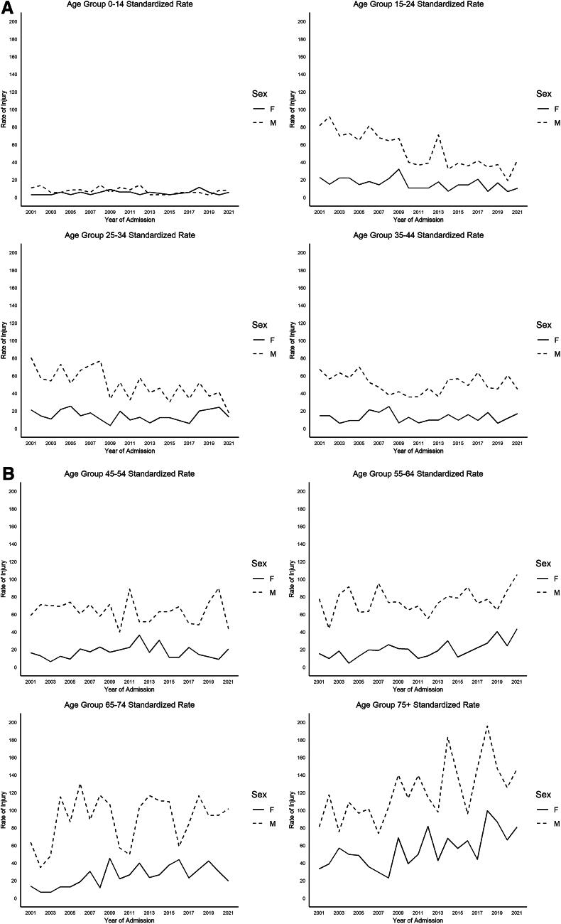
Traumatic spinal cord injury (TSCI) is a debilitating condition that can have significant effects on physical function and overall quality of life. Mechanisms of injury can vary from major trauma to low-energy falls. There has been a recent increase in the number of elderly patients with TSCI. A retrospective analysis of population-based hospital records linked with health care administrative datasets was conducted to measure age-standardized rates of TSCI over time. The study was conducted to describe the epidemiology and demographic characteristics of patients who experienced TSCI between 2001 and 2021 in the province of British Columbia, Canada. Demographic, clinical characteristics, and rates of TSCI were evaluated over time. Linear regression was used to assess changes over time. The study identified 3622 patients with TSCI. The average age at the time of injury was 51.1 (standard deviation [SD] 21.19) and 75.0% were males. The average annual age-standardized rate in this population was 35.4 per million. The overall rate remained stable throughout the study period. The mean age at injury increased from 41.9 to 57.5 over the study period of 2001-2021 (p < 0.001). The most frequent causes of injury were low-energy falls (49.9%) and motor vehicle injuries (36.6%). The proportion of injuries related to falls increased over the study period (p < 0.001). Motor and sensory complete TSCI were seen in higher rates among younger patients, and cervical spine injuries were most common among all age-groups. The rate of TCSI was consistent during the study period, though the demographic of patients and their injury mechanism changed considerably; elderly low-energy falls were an increasing proportion of cases. Continued vigilance in elderly fall prevention is needed to reduce the incidence of TCSI among the elderly.

Abstract Image

Abstract Image

Abstract Image

加拿大不列颠哥伦比亚省脊髓损伤的流行病学:20年基于人口的行政数据。
创伤性脊髓损伤(TSCI)是一种使人衰弱的疾病,可对身体功能和整体生活质量产生重大影响。损伤的机制不同,从重大创伤到低能量跌落。最近,老年TSCI患者的数量有所增加。回顾性分析了与卫生保健管理数据集相关的基于人群的医院记录,以测量随时间推移的年龄标准化TSCI发生率。该研究旨在描述加拿大不列颠哥伦比亚省2001年至2021年间经历过TSCI的患者的流行病学和人口统计学特征。随着时间的推移,对人口统计学、临床特征和TSCI发生率进行评估。线性回归用于评估随时间的变化。该研究确定了3622例TSCI患者。损伤时平均年龄为51.1岁(标准差[SD] 21.19),男性占75.0%。该人口的年平均年龄标准化率为35.4% .。在整个研究期间,总体比率保持稳定。在2001-2021年的研究期间,平均受伤年龄从41.9岁增加到57.5岁(p < 0.001)。最常见的伤害原因是低能量跌倒(49.9%)和机动车伤害(36.6%)。与跌倒相关的伤害比例在研究期间增加(p < 0.001)。运动和感觉完全性TSCI在年轻患者中发生率较高,颈椎损伤在所有年龄组中最常见。在研究期间,尽管患者的人口结构和损伤机制发生了很大变化,但TCSI的发生率是一致的;老年人低能量跌倒的病例比例不断增加。预防老年人跌倒需要继续保持警惕,以减少老年人中TCSI的发生率。
本文章由计算机程序翻译,如有差异,请以英文原文为准。
求助全文
约1分钟内获得全文 求助全文
来源期刊
CiteScore
2.40
自引率
0.00%
发文量
0
审稿时长
8 weeks
×
引用
GB/T 7714-2015
复制
MLA
复制
APA
复制
导出至
BibTeX EndNote RefMan NoteFirst NoteExpress
×
提示
您的信息不完整,为了账户安全,请先补充。
现在去补充
×
提示
您因"违规操作"
具体请查看互助需知
我知道了
×
提示
确定
请完成安全验证×
copy
已复制链接
快去分享给好友吧!
我知道了
右上角分享
点击右上角分享
0
联系我们:info@booksci.cn Book学术提供免费学术资源搜索服务,方便国内外学者检索中英文文献。致力于提供最便捷和优质的服务体验。 Copyright © 2023 布克学术 All rights reserved.
京ICP备2023020795号-1
ghs 京公网安备 11010802042870号
Book学术文献互助
Book学术文献互助群
群 号:604180095
Book学术官方微信