All-Cause Mortality Risk in Elderly Patients with Femoral Neck and Intertrochanteric Fractures: A Predictive Model Based on Machine Learning.

IF 3.7 3区 医学 Q2 GERIATRICS & GERONTOLOGY
Clinical Interventions in Aging Pub Date : 2025-05-07 eCollection Date: 2025-01-01 DOI:10.2147/CIA.S511935
Aoying Min, Yan Liu, Mingming Fu, Zhiyong Hou, Zhiqian Wang
{"title":"All-Cause Mortality Risk in Elderly Patients with Femoral Neck and Intertrochanteric Fractures: A Predictive Model Based on Machine Learning.","authors":"Aoying Min, Yan Liu, Mingming Fu, Zhiyong Hou, Zhiqian Wang","doi":"10.2147/CIA.S511935","DOIUrl":null,"url":null,"abstract":"<p><strong>Introduction: </strong>The aim of this study was to identify the influencing factors for all-cause mortality in elderly patients with intertrochanteric and femoral neck fractures and to construct predictive models.</p><p><strong>Methods: </strong>This study retrospectively collected elderly patients with intertrochanteric fractures and femoral neck fractures who underwent hip fractures surgery in the Third Hospital of Hebei Medical University from January 2020 to December 2022. Cox proportional hazards regression is used to explore the association between fractures type and mortality. Boruta algorithm was used to screen the risk factors related to death. Multivariate logistic regression was used to determine the independent risk factors, and a nomogram prediction model was established. The ROC curve, calibration curve and DCA decision curve were drawn by R language, and the prediction model was established by machine learning algorithm.</p><p><strong>Results: </strong>Among the 1373 patients. There were 6 variables that remained in the model for intertrochanteric fractures: age (HR 1.048, 95% CI 1.014-1.083, p = 0.006), AMI (HR 4.631, 95% CI 2.190-9.795, P < 0.001), COPD (HR 3.818, 95% CI 1.516-9.614, P = 0.004), CHF (HR 2.743, 95% CI 1.510-4.981, P = 0.001), NOAF (HR 1.748, 95% CI 1.033-2.956, P = 0.037), FBG (HR 1.116, 95% CI 1.026-1.215, P = 0.011). There were 3 variables that remained in the model for femoral neck fractures: age (HR 1.145, 95% CI 1.097-1.196, P < 0.001), HbA1c (HR 1.264, 95% CI 1.088-1.468, P = 0.002), BNP (HR 1.001, 95% CI 1.000-1.002, P = 0.019). The experimental results showed that the model has good identification ability, calibration effect and clinical application value.</p><p><strong>Conclusion: </strong>Intertrochanteric fractures is an independent risk factor for all-cause mortality in elderly patients with hip fractures. By constructing a prognostic model based on machine learning, the risk factors of mortality in patients with intertrochanteric fractures and femoral neck fractures can be effectively identified, and personalized treatment strategies can be developed.</p>","PeriodicalId":48841,"journal":{"name":"Clinical Interventions in Aging","volume":"20 ","pages":"559-571"},"PeriodicalIF":3.7000,"publicationDate":"2025-05-07","publicationTypes":"Journal Article","fieldsOfStudy":null,"isOpenAccess":false,"openAccessPdf":"https://www.ncbi.nlm.nih.gov/pmc/articles/PMC12067979/pdf/","citationCount":"0","resultStr":null,"platform":"Semanticscholar","paperid":null,"PeriodicalName":"Clinical Interventions in Aging","FirstCategoryId":"3","ListUrlMain":"https://doi.org/10.2147/CIA.S511935","RegionNum":3,"RegionCategory":"医学","ArticlePicture":[],"TitleCN":null,"AbstractTextCN":null,"PMCID":null,"EPubDate":"2025/1/1 0:00:00","PubModel":"eCollection","JCR":"Q2","JCRName":"GERIATRICS & GERONTOLOGY","Score":null,"Total":0}
引用次数: 0

Abstract

Introduction: The aim of this study was to identify the influencing factors for all-cause mortality in elderly patients with intertrochanteric and femoral neck fractures and to construct predictive models.

Methods: This study retrospectively collected elderly patients with intertrochanteric fractures and femoral neck fractures who underwent hip fractures surgery in the Third Hospital of Hebei Medical University from January 2020 to December 2022. Cox proportional hazards regression is used to explore the association between fractures type and mortality. Boruta algorithm was used to screen the risk factors related to death. Multivariate logistic regression was used to determine the independent risk factors, and a nomogram prediction model was established. The ROC curve, calibration curve and DCA decision curve were drawn by R language, and the prediction model was established by machine learning algorithm.

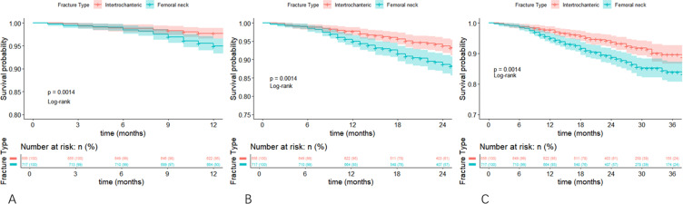
Results: Among the 1373 patients. There were 6 variables that remained in the model for intertrochanteric fractures: age (HR 1.048, 95% CI 1.014-1.083, p = 0.006), AMI (HR 4.631, 95% CI 2.190-9.795, P < 0.001), COPD (HR 3.818, 95% CI 1.516-9.614, P = 0.004), CHF (HR 2.743, 95% CI 1.510-4.981, P = 0.001), NOAF (HR 1.748, 95% CI 1.033-2.956, P = 0.037), FBG (HR 1.116, 95% CI 1.026-1.215, P = 0.011). There were 3 variables that remained in the model for femoral neck fractures: age (HR 1.145, 95% CI 1.097-1.196, P < 0.001), HbA1c (HR 1.264, 95% CI 1.088-1.468, P = 0.002), BNP (HR 1.001, 95% CI 1.000-1.002, P = 0.019). The experimental results showed that the model has good identification ability, calibration effect and clinical application value.

Conclusion: Intertrochanteric fractures is an independent risk factor for all-cause mortality in elderly patients with hip fractures. By constructing a prognostic model based on machine learning, the risk factors of mortality in patients with intertrochanteric fractures and femoral neck fractures can be effectively identified, and personalized treatment strategies can be developed.

Abstract Image

Abstract Image

Abstract Image

老年股骨颈和粗隆间骨折患者的全因死亡率风险:基于机器学习的预测模型。
前言:本研究旨在探讨老年股骨粗隆间骨折及股骨颈骨折患者全因死亡率的影响因素,并建立预测模型。方法:本研究回顾性收集2020年1月至2022年12月在河北医科大学第三医院行髋部骨折手术的老年股骨粗隆间骨折及股骨颈骨折患者。采用Cox比例风险回归探讨骨折类型与死亡率之间的关系。采用Boruta算法筛选与死亡相关的危险因素。采用多因素logistic回归确定独立危险因素,建立nomogram预测模型。采用R语言绘制ROC曲线、标定曲线和DCA决策曲线,并通过机器学习算法建立预测模型。结果:1373例患者中。股骨粗隆间骨折模型中还存在6个变量:年龄(HR 1.048, 95% CI 1.014-1.083, p = 0.006)、AMI (HR 4.631, 95% CI 2.190-9.795, p < 0.001)、COPD (HR 3.818, 95% CI 1.516-9.614, p = 0.004)、CHF (HR 2.743, 95% CI 1.510-4.981, p = 0.001)、NOAF (HR 1.748, 95% CI 1.033-2.956, p = 0.037)、FBG (HR 1.116, 95% CI 1.026-1.215, p = 0.011)。股骨颈骨折模型中仍存在3个变量:年龄(HR 1.145, 95% CI 1.097 ~ 1.196, P < 0.001)、糖化血红蛋白(HR 1.264, 95% CI 1.088 ~ 1.468, P = 0.002)、脑钠肽(HR 1.001, 95% CI 1.000 ~ 1.002, P = 0.019)。实验结果表明,该模型具有良好的识别能力、标定效果和临床应用价值。结论:股骨粗隆间骨折是老年髋部骨折患者全因死亡的独立危险因素。通过构建基于机器学习的预后模型,可以有效识别股骨粗隆间骨折和股骨颈骨折患者死亡的危险因素,制定个性化的治疗策略。
本文章由计算机程序翻译,如有差异,请以英文原文为准。
求助全文
约1分钟内获得全文 求助全文
来源期刊
Clinical Interventions in Aging
Clinical Interventions in Aging GERIATRICS & GERONTOLOGY-
CiteScore
6.80
自引率
2.80%
发文量
193
审稿时长
6-12 weeks
期刊介绍: Clinical Interventions in Aging, is an online, peer reviewed, open access journal focusing on concise rapid reporting of original research and reviews in aging. Special attention will be given to papers reporting on actual or potential clinical applications leading to improved prevention or treatment of disease or a greater understanding of pathological processes that result from maladaptive changes in the body associated with aging. This journal is directed at a wide array of scientists, engineers, pharmacists, pharmacologists and clinical specialists wishing to maintain an up to date knowledge of this exciting and emerging field.
×
引用
GB/T 7714-2015
复制
MLA
复制
APA
复制
导出至
BibTeX EndNote RefMan NoteFirst NoteExpress
×
提示
您的信息不完整,为了账户安全,请先补充。
现在去补充
×
提示
您因"违规操作"
具体请查看互助需知
我知道了
×
提示
确定
请完成安全验证×
copy
已复制链接
快去分享给好友吧!
我知道了
右上角分享
点击右上角分享
0
联系我们:info@booksci.cn Book学术提供免费学术资源搜索服务,方便国内外学者检索中英文文献。致力于提供最便捷和优质的服务体验。 Copyright © 2023 布克学术 All rights reserved.
京ICP备2023020795号-1
ghs 京公网安备 11010802042870号
Book学术文献互助
Book学术文献互助群
群 号:604180095
Book学术官方微信