The Impact of Dietary Melatonin on Heart and Lung Telomere Length and Shelterin Protein Gene Expression of Pulmonary Hypertensive Broiler Chickens.

IF 1.7 3区 农林科学 Q2 VETERINARY SCIENCES
Peyman Gheytaspour, Shahab Bahadoran, Hossein Hassanpour
{"title":"The Impact of Dietary Melatonin on Heart and Lung Telomere Length and Shelterin Protein Gene Expression of Pulmonary Hypertensive Broiler Chickens.","authors":"Peyman Gheytaspour, Shahab Bahadoran, Hossein Hassanpour","doi":"10.1002/vms3.70355","DOIUrl":null,"url":null,"abstract":"<p><strong>Objectives: </strong>Pulmonary hypertension syndrome (PHS) is a common metabolic disease in broiler chickens linked to oxidative stress. This study explored the potential of melatonin, an antioxidant, to improve PHS response and telomere structure in chickens with cold-induced PHS.</p><p><strong>Methods: </strong>We investigated the effects of dietary melatonin supplementation on telomere length and the expression of genes related to telomere protection (shelterin genes) in the heart and lungs of broiler chickens with PHS.</p><p><strong>Results: </strong>Melatonin supplementation improved telomere length in the heart tissue of chickens with PHS. We also observed changes in the expression of genes (TRF1, RAP1, and TPP1) responsible for protecting telomeres, suggesting a potential mechanism for melatonin's beneficial effects. Melatonin's impact was more pronounced in the heart than in the lungs.</p><p><strong>Conclusions: </strong>Melatonin may help protect cardiac cells during PHS by improving telomere length and influencing the activity of genes involved in telomere protection. These findings suggest that melatonin could be a valuable tool in managing heart cell dysfunction associated with PHS in poultry.</p>","PeriodicalId":23543,"journal":{"name":"Veterinary Medicine and Science","volume":"11 3","pages":"e70355"},"PeriodicalIF":1.7000,"publicationDate":"2025-05-01","publicationTypes":"Journal Article","fieldsOfStudy":null,"isOpenAccess":false,"openAccessPdf":"https://www.ncbi.nlm.nih.gov/pmc/articles/PMC12010761/pdf/","citationCount":"0","resultStr":null,"platform":"Semanticscholar","paperid":null,"PeriodicalName":"Veterinary Medicine and Science","FirstCategoryId":"97","ListUrlMain":"https://doi.org/10.1002/vms3.70355","RegionNum":3,"RegionCategory":"农林科学","ArticlePicture":[],"TitleCN":null,"AbstractTextCN":null,"PMCID":null,"EPubDate":"","PubModel":"","JCR":"Q2","JCRName":"VETERINARY SCIENCES","Score":null,"Total":0}
引用次数: 0

Abstract

Objectives: Pulmonary hypertension syndrome (PHS) is a common metabolic disease in broiler chickens linked to oxidative stress. This study explored the potential of melatonin, an antioxidant, to improve PHS response and telomere structure in chickens with cold-induced PHS.

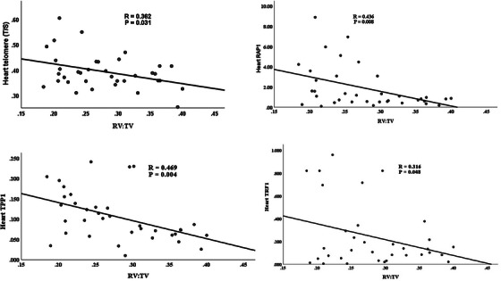
Methods: We investigated the effects of dietary melatonin supplementation on telomere length and the expression of genes related to telomere protection (shelterin genes) in the heart and lungs of broiler chickens with PHS.

Results: Melatonin supplementation improved telomere length in the heart tissue of chickens with PHS. We also observed changes in the expression of genes (TRF1, RAP1, and TPP1) responsible for protecting telomeres, suggesting a potential mechanism for melatonin's beneficial effects. Melatonin's impact was more pronounced in the heart than in the lungs.

Conclusions: Melatonin may help protect cardiac cells during PHS by improving telomere length and influencing the activity of genes involved in telomere protection. These findings suggest that melatonin could be a valuable tool in managing heart cell dysfunction associated with PHS in poultry.

Abstract Image

Abstract Image

Abstract Image

饲粮中添加褪黑素对肺动脉高压肉鸡心肺端粒长度和庇护蛋白基因表达的影响
目的:肺动脉高压综合征(PHS)是肉鸡常见的代谢疾病,与氧化应激有关。本研究探讨了抗氧化剂褪黑素改善冷致小灵通雏鸡小灵通应答和端粒结构的潜力。方法:研究饲粮中添加褪黑素对小灵通肉鸡心肺端粒长度及端粒保护相关基因(庇护蛋白基因)表达的影响。结果:补充褪黑素可改善小灵通雏鸡心脏组织端粒长度。我们还观察到负责保护端粒的基因(TRF1, RAP1和TPP1)表达的变化,提示褪黑激素有益作用的潜在机制。褪黑素对心脏的影响比对肺部的影响更明显。结论:褪黑素可能通过改善端粒长度和影响端粒保护相关基因的活性来保护小灵通患者的心肌细胞。这些发现表明,褪黑素可能是一个有价值的工具,在管理心脏细胞功能障碍相关的小灵通家禽。
本文章由计算机程序翻译,如有差异,请以英文原文为准。
求助全文
约1分钟内获得全文 求助全文
来源期刊
Veterinary Medicine and Science
Veterinary Medicine and Science Veterinary-General Veterinary
CiteScore
3.00
自引率
0.00%
发文量
296
期刊介绍: Veterinary Medicine and Science is the peer-reviewed journal for rapid dissemination of research in all areas of veterinary medicine and science. The journal aims to serve the research community by providing a vehicle for authors wishing to publish interesting and high quality work in both fundamental and clinical veterinary medicine and science. Veterinary Medicine and Science publishes original research articles, systematic reviews, meta-analyses, and research methods papers, along with invited editorials and commentaries. Original research papers must report well-conducted research with conclusions supported by the data presented in the paper. We aim to be a truly global forum for high-quality research in veterinary medicine and science, and believe that the best research should be published and made widely accessible as quickly as possible. Veterinary Medicine and Science publishes papers submitted directly to the journal and those referred from a select group of prestigious journals published by Wiley-Blackwell. Veterinary Medicine and Science is a Wiley Open Access journal, one of a new series of peer-reviewed titles publishing quality research with speed and efficiency. For further information visit the Wiley Open Access website.
×
引用
GB/T 7714-2015
复制
MLA
复制
APA
复制
导出至
BibTeX EndNote RefMan NoteFirst NoteExpress
×
提示
您的信息不完整,为了账户安全,请先补充。
现在去补充
×
提示
您因"违规操作"
具体请查看互助需知
我知道了
×
提示
确定
请完成安全验证×
copy
已复制链接
快去分享给好友吧!
我知道了
右上角分享
点击右上角分享
0
联系我们:info@booksci.cn Book学术提供免费学术资源搜索服务,方便国内外学者检索中英文文献。致力于提供最便捷和优质的服务体验。 Copyright © 2023 布克学术 All rights reserved.
京ICP备2023020795号-1
ghs 京公网安备 11010802042870号
Book学术文献互助
Book学术文献互助群
群 号:604180095
Book学术官方微信