Clopidogrel vs. ticagrelor in ST-elevation myocardial infarction complicated by cardiogenic shock undergoing primary PCI : Findings from a National, multicenter registry.

IF 2.2 4区 医学 Q2 HEMATOLOGY
Can Zhou, Minghui Zhang, Zixu Zhao, Enze Li, Yichen Zhao, Wei Luo, Keyang Zheng, Yu Liu, Chengqian Yin, Xinyong Zhang, Hai Gao, Dong Zhao, Changsheng Ma
{"title":"Clopidogrel vs. ticagrelor in ST-elevation myocardial infarction complicated by cardiogenic shock undergoing primary PCI : Findings from a National, multicenter registry.","authors":"Can Zhou, Minghui Zhang, Zixu Zhao, Enze Li, Yichen Zhao, Wei Luo, Keyang Zheng, Yu Liu, Chengqian Yin, Xinyong Zhang, Hai Gao, Dong Zhao, Changsheng Ma","doi":"10.1186/s12959-025-00721-z","DOIUrl":null,"url":null,"abstract":"<p><strong>Background: </strong>Although ticagrelor is recommended as opposed to clopidogrel in antiplatelet strategy for patients with ST-segment elevation myocardial infarction (STEMI) undergoing primary percutaneous coronary intervention (pPCI), evidence is limited in patients with cardiogenic shock (CS).</p><p><strong>Objective: </strong>This study aims to evaluate the comparative efficacy and safety profile of ticagrelor and clopidogrel in patients with STEMI-CS undergoing pPCI.</p><p><strong>Methods: </strong>Using data from a nationwide, multicenter registry, eligible patients were stratified into clopidogrel or ticagrelor based on the choice of P2Y<sub>12</sub> inhibitors within 24 h of first medical contact. Multivariable-adjusted Cox regression analyses, along with Cox models adjusted for propensity score matching and inverse probability treatment weighting were conducted to compare outcomes between ticagrelor and clopidogrel. The efficacy and safety outcomes were in-hospital all-cause mortality and major bleeding.</p><p><strong>Results: </strong>Among 729 STEMI-CS patients in our cohort, 403 received clopidogrel and 326 received ticagrelor. Multivariable-adjusted Cox regression analyses showed that ticagrelor was not associated with a significant difference in all-cause mortality (adjusted HR: 1.04; 95% CI: 0.69-1.56; p = 0.840) and major bleeding (adjusted HR: 1.30; 95% CI: 0.62-2.76; p = 0.489) compared to clopidogrel. Consistent results were found in the analyses adjusted by propensity score matching and inverse probability of treatment weighting.</p><p><strong>Conclusions: </strong>Our findings suggest that the choice of either ticagrelor or clopidogrel was feasible as a P2Y<sub>12</sub> inhibitor for dual anti-platelet strategy in STEMI-CS patients undergoing pPCI, as no significant difference between these two agents was observed in all-cause mortality and major bleeding during hospitalization.</p><p><strong>Trial registration: </strong>ClinicalTrials.gov, NCT02306616. Registered 29 November 2014.</p>","PeriodicalId":22982,"journal":{"name":"Thrombosis Journal","volume":"23 1","pages":"38"},"PeriodicalIF":2.2000,"publicationDate":"2025-04-22","publicationTypes":"Journal Article","fieldsOfStudy":null,"isOpenAccess":false,"openAccessPdf":"https://www.ncbi.nlm.nih.gov/pmc/articles/PMC12016187/pdf/","citationCount":"0","resultStr":null,"platform":"Semanticscholar","paperid":null,"PeriodicalName":"Thrombosis Journal","FirstCategoryId":"3","ListUrlMain":"https://doi.org/10.1186/s12959-025-00721-z","RegionNum":4,"RegionCategory":"医学","ArticlePicture":[],"TitleCN":null,"AbstractTextCN":null,"PMCID":null,"EPubDate":"","PubModel":"","JCR":"Q2","JCRName":"HEMATOLOGY","Score":null,"Total":0}
引用次数: 0

Abstract

Background: Although ticagrelor is recommended as opposed to clopidogrel in antiplatelet strategy for patients with ST-segment elevation myocardial infarction (STEMI) undergoing primary percutaneous coronary intervention (pPCI), evidence is limited in patients with cardiogenic shock (CS).

Objective: This study aims to evaluate the comparative efficacy and safety profile of ticagrelor and clopidogrel in patients with STEMI-CS undergoing pPCI.

Methods: Using data from a nationwide, multicenter registry, eligible patients were stratified into clopidogrel or ticagrelor based on the choice of P2Y12 inhibitors within 24 h of first medical contact. Multivariable-adjusted Cox regression analyses, along with Cox models adjusted for propensity score matching and inverse probability treatment weighting were conducted to compare outcomes between ticagrelor and clopidogrel. The efficacy and safety outcomes were in-hospital all-cause mortality and major bleeding.

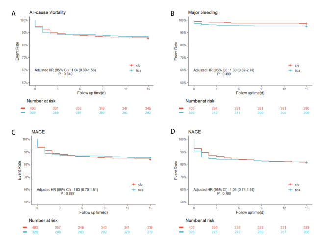
Results: Among 729 STEMI-CS patients in our cohort, 403 received clopidogrel and 326 received ticagrelor. Multivariable-adjusted Cox regression analyses showed that ticagrelor was not associated with a significant difference in all-cause mortality (adjusted HR: 1.04; 95% CI: 0.69-1.56; p = 0.840) and major bleeding (adjusted HR: 1.30; 95% CI: 0.62-2.76; p = 0.489) compared to clopidogrel. Consistent results were found in the analyses adjusted by propensity score matching and inverse probability of treatment weighting.

Conclusions: Our findings suggest that the choice of either ticagrelor or clopidogrel was feasible as a P2Y12 inhibitor for dual anti-platelet strategy in STEMI-CS patients undergoing pPCI, as no significant difference between these two agents was observed in all-cause mortality and major bleeding during hospitalization.

Trial registration: ClinicalTrials.gov, NCT02306616. Registered 29 November 2014.

Abstract Image

Abstract Image

Abstract Image

氯吡格雷vs替格瑞洛治疗st段抬高型心肌梗死合并心源性休克的初步PCI:来自国家多中心登记的研究结果。
背景:虽然替格瑞洛被推荐用于st段抬高型心肌梗死(STEMI)接受初级经皮冠状动脉介入治疗(pPCI)的抗血小板策略,而不是氯吡格雷,但对于心源性休克(CS)患者的证据有限。目的:本研究旨在评价替格瑞洛和氯吡格雷在STEMI-CS患者行pPCI的比较疗效和安全性。方法:使用来自全国多中心登记的数据,根据首次医疗接触24小时内P2Y12抑制剂的选择,将符合条件的患者分层分为氯吡格雷或替格瑞。对替格瑞洛和氯吡格雷的结果进行多变量校正Cox回归分析,以及校正倾向评分匹配和逆概率治疗加权的Cox模型的比较。疗效和安全性结果为院内全因死亡率和大出血。结果:在我们队列中的729例STEMI-CS患者中,403例接受氯吡格雷治疗,326例接受替格瑞洛治疗。多变量校正Cox回归分析显示替格瑞洛与全因死亡率无显著性差异(校正HR: 1.04;95% ci: 0.69-1.56;p = 0.840)和大出血(调整后HR: 1.30;95% ci: 0.62-2.76;P = 0.489)。经倾向评分匹配和处理加权逆概率调整后的分析结果一致。结论:我们的研究结果表明,在接受pPCI的STEMI-CS患者中,选择替格瑞洛或氯吡格雷作为P2Y12抑制剂用于双重抗血小板策略是可行的,因为这两种药物在住院期间的全因死亡率和大出血方面没有显著差异。试验注册:ClinicalTrials.gov, NCT02306616。注册于2014年11月29日。
本文章由计算机程序翻译,如有差异,请以英文原文为准。
求助全文
约1分钟内获得全文 求助全文
来源期刊
Thrombosis Journal
Thrombosis Journal Medicine-Hematology
CiteScore
3.80
自引率
3.20%
发文量
69
审稿时长
16 weeks
期刊介绍: Thrombosis Journal is an open-access journal that publishes original articles on aspects of clinical and basic research, new methodology, case reports and reviews in the areas of thrombosis. Topics of particular interest include the diagnosis of arterial and venous thrombosis, new antithrombotic treatments, new developments in the understanding, diagnosis and treatments of atherosclerotic vessel disease, relations between haemostasis and vascular disease, hypertension, diabetes, immunology and obesity.
×
引用
GB/T 7714-2015
复制
MLA
复制
APA
复制
导出至
BibTeX EndNote RefMan NoteFirst NoteExpress
×
提示
您的信息不完整,为了账户安全,请先补充。
现在去补充
×
提示
您因"违规操作"
具体请查看互助需知
我知道了
×
提示
确定
请完成安全验证×
copy
已复制链接
快去分享给好友吧!
我知道了
右上角分享
点击右上角分享
0
联系我们:info@booksci.cn Book学术提供免费学术资源搜索服务,方便国内外学者检索中英文文献。致力于提供最便捷和优质的服务体验。 Copyright © 2023 布克学术 All rights reserved.
京ICP备2023020795号-1
ghs 京公网安备 11010802042870号
Book学术文献互助
Book学术文献互助群
群 号:604180095
Book学术官方微信