Increased Expression of Synaptic Vesicle Glycoprotein 2A (SV2A) in the Brain of Chronic Diabetic Rats.

IF 2 4区 医学 Q4 NEUROSCIENCES
Synapse Pub Date : 2025-05-01 DOI:10.1002/syn.70018
Burcu Azak Pazarlar, Cansu Bilister Egilmez, Eser Öz Oyar, Jens D Mikkelsen
{"title":"Increased Expression of Synaptic Vesicle Glycoprotein 2A (SV2A) in the Brain of Chronic Diabetic Rats.","authors":"Burcu Azak Pazarlar, Cansu Bilister Egilmez, Eser Öz Oyar, Jens D Mikkelsen","doi":"10.1002/syn.70018","DOIUrl":null,"url":null,"abstract":"<p><strong>Aim/hypothesis: </strong>Diabetes mellitus has been reported to be a risk factor for cognitive dysfunction, depression, stroke, and seizures. Diabetic pathology is believed to interfere with synaptic plasticity. Synaptic vesicle glycoprotein 2A (SV2A) is a presynaptic vesicular protein and a popular synaptic density imaging marker. We investigated the effect of chronic hyperglycemia on the expression of SV2A in the cerebral cortex and hippocampus of rats and compared it to other presynaptic markers, such as GAP43, Synaptotagmin-1, and SNAP25.</p><p><strong>Methods: </strong>A single dose of streptozotocin (STZ, 45 mg/kg, i.p.) was administered to adult male rats, resulting in sustained hyperglycemia and reduced plasma insulin levels. Controls were injected with saline, and another STZ group was treated with insulin. Fasting blood glucose (FBG) and fasting plasma insulin (FPI) levels were monitored throughout the observation period, and the level of SV2A was determined by radioligand, [<sup>3</sup>H]UCB-J, binding capacity using in-vitro autoradiography and by ELISA. Similarly, the tissue concentration of other synaptic proteins GAP43, SNAP25, and SYN1 was measured using ELISA. Quantitative RT-qPCR was performed to measure Sv2a, Sv2b, and Sv2c transcripts. Finally, hippocampal and cortical glutamate levels were measured in all tissues.</p><p><strong>Results: </strong>[<sup>3</sup>H]UCB-J binding, SV2A (pg/mg protein) and Sv2a mRNA levels were significantly higher in hyperglycemic rats. The SV2A concentration detected by ELISA and [<sup>3</sup>H]UCB-J binding showed, as expected, a positive correlation with each other. The same positive and significant correlation was seen between SV2A, FBG, and glutamate l levels across animals (p ≤ 0.001). Notably, there was no difference and no linearity between FBG and other presynaptic markers such as GAP43, Synaptotagmin-1, and SNAP25.</p><p><strong>Conclusions: </strong>Unlike other synaptic markers (e.g., SNAP25, SYN-1), SV2A levels rise independently of synaptic density, correlating with elevated glutamate and metabolic activity. These findings raise doubt about SV2A's role as a pure synaptic density marker.</p>","PeriodicalId":22131,"journal":{"name":"Synapse","volume":"79 3","pages":"e70018"},"PeriodicalIF":2.0000,"publicationDate":"2025-05-01","publicationTypes":"Journal Article","fieldsOfStudy":null,"isOpenAccess":false,"openAccessPdf":"https://www.ncbi.nlm.nih.gov/pmc/articles/PMC12048859/pdf/","citationCount":"0","resultStr":null,"platform":"Semanticscholar","paperid":null,"PeriodicalName":"Synapse","FirstCategoryId":"3","ListUrlMain":"https://doi.org/10.1002/syn.70018","RegionNum":4,"RegionCategory":"医学","ArticlePicture":[],"TitleCN":null,"AbstractTextCN":null,"PMCID":null,"EPubDate":"","PubModel":"","JCR":"Q4","JCRName":"NEUROSCIENCES","Score":null,"Total":0}
引用次数: 0

Abstract

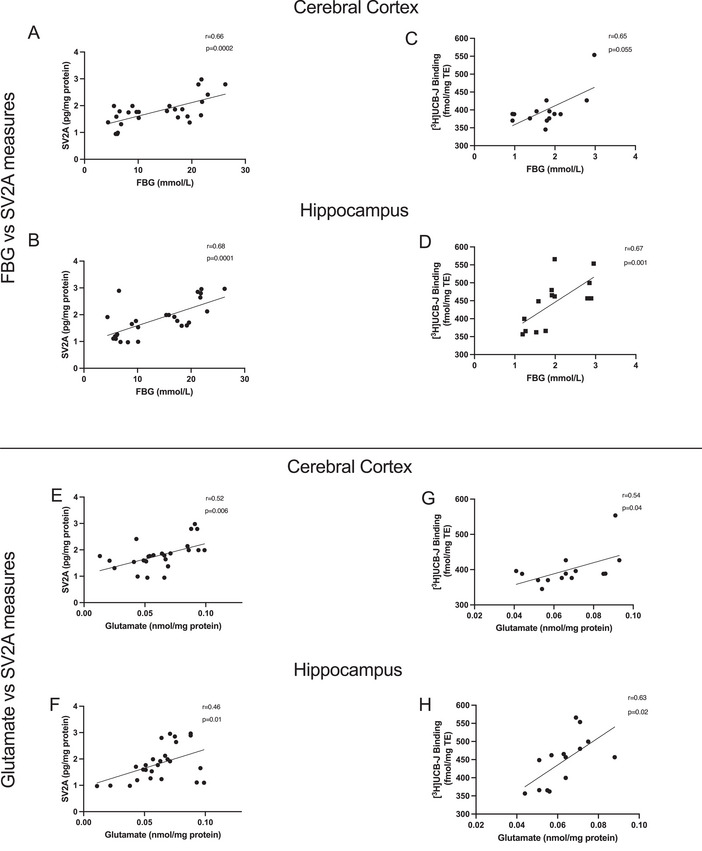
Aim/hypothesis: Diabetes mellitus has been reported to be a risk factor for cognitive dysfunction, depression, stroke, and seizures. Diabetic pathology is believed to interfere with synaptic plasticity. Synaptic vesicle glycoprotein 2A (SV2A) is a presynaptic vesicular protein and a popular synaptic density imaging marker. We investigated the effect of chronic hyperglycemia on the expression of SV2A in the cerebral cortex and hippocampus of rats and compared it to other presynaptic markers, such as GAP43, Synaptotagmin-1, and SNAP25.

Methods: A single dose of streptozotocin (STZ, 45 mg/kg, i.p.) was administered to adult male rats, resulting in sustained hyperglycemia and reduced plasma insulin levels. Controls were injected with saline, and another STZ group was treated with insulin. Fasting blood glucose (FBG) and fasting plasma insulin (FPI) levels were monitored throughout the observation period, and the level of SV2A was determined by radioligand, [3H]UCB-J, binding capacity using in-vitro autoradiography and by ELISA. Similarly, the tissue concentration of other synaptic proteins GAP43, SNAP25, and SYN1 was measured using ELISA. Quantitative RT-qPCR was performed to measure Sv2a, Sv2b, and Sv2c transcripts. Finally, hippocampal and cortical glutamate levels were measured in all tissues.

Results: [3H]UCB-J binding, SV2A (pg/mg protein) and Sv2a mRNA levels were significantly higher in hyperglycemic rats. The SV2A concentration detected by ELISA and [3H]UCB-J binding showed, as expected, a positive correlation with each other. The same positive and significant correlation was seen between SV2A, FBG, and glutamate l levels across animals (p ≤ 0.001). Notably, there was no difference and no linearity between FBG and other presynaptic markers such as GAP43, Synaptotagmin-1, and SNAP25.

Conclusions: Unlike other synaptic markers (e.g., SNAP25, SYN-1), SV2A levels rise independently of synaptic density, correlating with elevated glutamate and metabolic activity. These findings raise doubt about SV2A's role as a pure synaptic density marker.

Abstract Image

Abstract Image

Abstract Image

慢性糖尿病大鼠脑突触囊泡糖蛋白2A (SV2A)表达升高。
目的/假设:据报道,糖尿病是认知功能障碍、抑郁、中风和癫痫发作的危险因素。糖尿病病理被认为会干扰突触的可塑性。突触囊泡糖蛋白2A (SV2A)是一种突触前囊泡蛋白,也是一种常用的突触密度成像标志物。我们研究了慢性高血糖对大鼠大脑皮层和海马SV2A表达的影响,并将其与其他突触前标记物GAP43、Synaptotagmin-1和SNAP25进行了比较。方法:采用单剂量链脲佐菌素(STZ, 45 mg/kg, ig)诱导成年雄性大鼠持续高血糖,降低血浆胰岛素水平。对照组注射生理盐水,STZ组注射胰岛素。观察期间监测空腹血糖(FBG)和空腹血浆胰岛素(FPI)水平,采用放射配体、[3H]UCB-J、体外放射自显影和ELISA法检测SV2A水平。同样,采用ELISA法测定其他突触蛋白GAP43、SNAP25和SYN1的组织浓度。采用定量RT-qPCR检测Sv2a、Sv2b和Sv2c转录本。最后,在所有组织中测量海马和皮质谷氨酸水平。结果:高血糖大鼠[3H]UCB-J结合、SV2A (pg/mg蛋白)和SV2A mRNA水平显著升高。ELISA检测的SV2A浓度与[3H]UCB-J结合结果如预期的那样呈正相关。动物SV2A、FBG和谷氨酸1水平之间也存在同样显著的正相关(p≤0.001)。值得注意的是,FBG与其他突触前标记物如GAP43、Synaptotagmin-1和SNAP25之间没有差异,也没有线性关系。结论:与其他突触标志物(如SNAP25、SYN-1)不同,SV2A水平的升高独立于突触密度,与谷氨酸和代谢活性升高相关。这些发现对SV2A作为单纯突触密度标记的作用提出了质疑。
本文章由计算机程序翻译,如有差异,请以英文原文为准。
求助全文
约1分钟内获得全文 求助全文
来源期刊
Synapse
Synapse 医学-神经科学
CiteScore
3.80
自引率
0.00%
发文量
38
审稿时长
4-8 weeks
期刊介绍: SYNAPSE publishes articles concerned with all aspects of synaptic structure and function. This includes neurotransmitters, neuropeptides, neuromodulators, receptors, gap junctions, metabolism, plasticity, circuitry, mathematical modeling, ion channels, patch recording, single unit recording, development, behavior, pathology, toxicology, etc.
×
引用
GB/T 7714-2015
复制
MLA
复制
APA
复制
导出至
BibTeX EndNote RefMan NoteFirst NoteExpress
×
提示
您的信息不完整,为了账户安全,请先补充。
现在去补充
×
提示
您因"违规操作"
具体请查看互助需知
我知道了
×
提示
确定
请完成安全验证×
copy
已复制链接
快去分享给好友吧!
我知道了
右上角分享
点击右上角分享
0
联系我们:info@booksci.cn Book学术提供免费学术资源搜索服务,方便国内外学者检索中英文文献。致力于提供最便捷和优质的服务体验。 Copyright © 2023 布克学术 All rights reserved.
京ICP备2023020795号-1
ghs 京公网安备 11010802042870号
Book学术文献互助
Book学术文献互助群
群 号:604180095
Book学术官方微信