Impact of maternal obesity and mode of delivery on the newborn skin and oral microbiomes.

IF 2
Allison Seifert, Kelly Ingram, Embelle Ngalame Eko, Jaclyn Nunziato, Monica Ahrens, Brittany R Howell
{"title":"Impact of maternal obesity and mode of delivery on the newborn skin and oral microbiomes.","authors":"Allison Seifert, Kelly Ingram, Embelle Ngalame Eko, Jaclyn Nunziato, Monica Ahrens, Brittany R Howell","doi":"10.1099/jmm.0.002000","DOIUrl":null,"url":null,"abstract":"<p><p><b>Introduction.</b> Previous studies have shown vast differences in the skin and oral microbiomes of newborns based on delivery method [Caesarean section (C-section) vs vaginal]. Exposure to or absence of certain bacteria during delivery can impact the neonate's future susceptibility to infections, allergies or autoimmunity by altering immune functions. Few studies have focused on the impact of maternal obesity on the variations of newborn skin and oral microbiomes. Obese pregnant women typically have a higher vaginal microbiome diversity, and their pregnancies are at higher risk for adverse outcomes and complications.<b>Hypothesis.</b> We hypothesized that the skin and oral microbiomes of newborns born to obese mothers would include more diverse, potentially pathogenic bacteria and that the skin and oral microbiome in C-section delivered newborns would be less diverse than vaginally delivered newborns.<b>Aim.</b> We aim to begin to establish maternal obesity and mode of delivery as factors contributing to increased risk for negative newborn outcomes through impacts on newborn bacterial dysbiosis.<b>Methodology.</b> A skin swab was collected immediately following delivery of 39 newborns from 13 healthy weight body mass index (BMI 18.50-24.99), 11 overweight (BMI 25.0-29.99) and 15 obese (BMI ≥30.00) pregnant participants. An oral swab was collected immediately following delivery for 38 of these newborns from 13 healthy weight, 10 overweight and 15 obese pregnant participants. Bacterial genera were identified via 16S rRNA amplicon sequencing.<b>Results.</b> The newborn skin microbiome was comprised of typical skin bacteria (i.e. <i>Corynebacterium</i>). Newborns of obese participants had a higher relative abundance of <i>Peptoniphilus</i> in their skin microbiome compared to newborns of healthy weight participants (<i>P</i>=0.007). Neonates born via C-section had a higher relative abundance of <i>Ureaplasma</i> in their oral microbiome compared to neonates delivered vaginally (<i>P</i>=0.046).<b>Conclusion.</b> We identified differences in the newborn skin and oral microbiomes based on pre-pregnancy BMI and method of delivery. These differences could be linked to an increased risk of allergies, autoimmune disease and infections. Future longitudinal studies will be crucial in determining the long-term impact of these specific genera on newborn outcomes. Understanding these connections could lead to targeted interventions that reduce the risk of adverse outcomes and improve overall health trajectory.</p>","PeriodicalId":94093,"journal":{"name":"Journal of medical microbiology","volume":"74 4","pages":""},"PeriodicalIF":2.0000,"publicationDate":"2025-04-01","publicationTypes":"Journal Article","fieldsOfStudy":null,"isOpenAccess":false,"openAccessPdf":"https://www.ncbi.nlm.nih.gov/pmc/articles/PMC12282316/pdf/","citationCount":"0","resultStr":null,"platform":"Semanticscholar","paperid":null,"PeriodicalName":"Journal of medical microbiology","FirstCategoryId":"1085","ListUrlMain":"https://doi.org/10.1099/jmm.0.002000","RegionNum":0,"RegionCategory":null,"ArticlePicture":[],"TitleCN":null,"AbstractTextCN":null,"PMCID":null,"EPubDate":"","PubModel":"","JCR":"","JCRName":"","Score":null,"Total":0}
引用次数: 0

Abstract

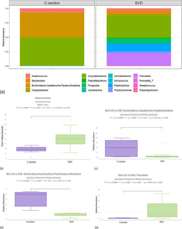
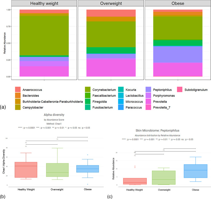
Introduction. Previous studies have shown vast differences in the skin and oral microbiomes of newborns based on delivery method [Caesarean section (C-section) vs vaginal]. Exposure to or absence of certain bacteria during delivery can impact the neonate's future susceptibility to infections, allergies or autoimmunity by altering immune functions. Few studies have focused on the impact of maternal obesity on the variations of newborn skin and oral microbiomes. Obese pregnant women typically have a higher vaginal microbiome diversity, and their pregnancies are at higher risk for adverse outcomes and complications.Hypothesis. We hypothesized that the skin and oral microbiomes of newborns born to obese mothers would include more diverse, potentially pathogenic bacteria and that the skin and oral microbiome in C-section delivered newborns would be less diverse than vaginally delivered newborns.Aim. We aim to begin to establish maternal obesity and mode of delivery as factors contributing to increased risk for negative newborn outcomes through impacts on newborn bacterial dysbiosis.Methodology. A skin swab was collected immediately following delivery of 39 newborns from 13 healthy weight body mass index (BMI 18.50-24.99), 11 overweight (BMI 25.0-29.99) and 15 obese (BMI ≥30.00) pregnant participants. An oral swab was collected immediately following delivery for 38 of these newborns from 13 healthy weight, 10 overweight and 15 obese pregnant participants. Bacterial genera were identified via 16S rRNA amplicon sequencing.Results. The newborn skin microbiome was comprised of typical skin bacteria (i.e. Corynebacterium). Newborns of obese participants had a higher relative abundance of Peptoniphilus in their skin microbiome compared to newborns of healthy weight participants (P=0.007). Neonates born via C-section had a higher relative abundance of Ureaplasma in their oral microbiome compared to neonates delivered vaginally (P=0.046).Conclusion. We identified differences in the newborn skin and oral microbiomes based on pre-pregnancy BMI and method of delivery. These differences could be linked to an increased risk of allergies, autoimmune disease and infections. Future longitudinal studies will be crucial in determining the long-term impact of these specific genera on newborn outcomes. Understanding these connections could lead to targeted interventions that reduce the risk of adverse outcomes and improve overall health trajectory.

Abstract Image

Abstract Image

Abstract Image

产妇肥胖和分娩方式对新生儿皮肤和口腔微生物组的影响。
介绍。先前的研究表明,分娩方式不同(剖腹产与阴道分娩),新生儿的皮肤和口腔微生物群存在巨大差异。在分娩过程中接触或缺乏某些细菌会通过改变免疫功能影响新生儿未来对感染、过敏或自身免疫的易感性。很少有研究关注母亲肥胖对新生儿皮肤和口腔微生物组变化的影响。肥胖孕妇通常阴道微生物群的多样性更高,她们的怀孕有更高的不良后果和并发症的风险。我们假设,肥胖母亲所生新生儿的皮肤和口腔微生物群可能包含更多样化的潜在致病菌,而剖腹产新生儿的皮肤和口腔微生物群的多样性可能低于顺产新生儿。我们的目标是通过对新生儿细菌生态失调的影响,开始确定产妇肥胖和分娩方式是导致新生儿不良结局风险增加的因素。在分娩后立即收集39名新生儿的皮肤拭子,这些新生儿来自13名健康体重体重指数(BMI 18.50-24.99)、11名超重(BMI 25.0-29.99)和15名肥胖(BMI≥30.00)孕妇。研究人员在分娩后立即收集了38名新生儿的口腔拭子,这些新生儿来自13名健康体重的孕妇、10名超重孕妇和15名肥胖孕妇。通过16S rRNA扩增子测序鉴定细菌属。新生儿皮肤微生物群由典型的皮肤细菌(即棒状杆菌)组成。与体重健康的新生儿相比,肥胖参与者的新生儿皮肤微生物组中嗜胃杆菌的相对丰度更高(P=0.007)。经剖腹产出生的新生儿口腔菌群中脲原体的相对丰度高于顺产出生的新生儿(P=0.046)。我们根据孕前BMI和分娩方式确定了新生儿皮肤和口腔微生物组的差异。这些差异可能与过敏、自身免疫性疾病和感染的风险增加有关。未来的纵向研究对于确定这些特定属对新生儿结局的长期影响至关重要。了解这些联系可以导致有针对性的干预措施,减少不良后果的风险,改善整体健康轨迹。
本文章由计算机程序翻译,如有差异,请以英文原文为准。
求助全文
约1分钟内获得全文 求助全文
来源期刊
自引率
0.00%
发文量
0
×
引用
GB/T 7714-2015
复制
MLA
复制
APA
复制
导出至
BibTeX EndNote RefMan NoteFirst NoteExpress
×
提示
您的信息不完整,为了账户安全,请先补充。
现在去补充
×
提示
您因"违规操作"
具体请查看互助需知
我知道了
×
提示
确定
请完成安全验证×
copy
已复制链接
快去分享给好友吧!
我知道了
右上角分享
点击右上角分享
0
联系我们:info@booksci.cn Book学术提供免费学术资源搜索服务,方便国内外学者检索中英文文献。致力于提供最便捷和优质的服务体验。 Copyright © 2023 布克学术 All rights reserved.
京ICP备2023020795号-1
ghs 京公网安备 11010802042870号
Book学术文献互助
Book学术文献互助群
群 号:604180095
Book学术官方微信