Predicting and Evaluating Cognitive Status in Aging Populations Using Decision Tree Models.

IF 2.7
Zhidi Luo, Stella Ping Wang, Emily H Ho, Lihua Yao, Richard C Gershon
{"title":"Predicting and Evaluating Cognitive Status in Aging Populations Using Decision Tree Models.","authors":"Zhidi Luo, Stella Ping Wang, Emily H Ho, Lihua Yao, Richard C Gershon","doi":"10.1177/15333175251339730","DOIUrl":null,"url":null,"abstract":"<p><p><b>Objective:</b> To improve the identification of cognitive impairment by distinguishing normal cognition (NC), mild cognitive impairment (MCI), and Alzheimer's disease (AD). <b>Methods:</b> A recursive partitioning tree model was developed using ARMADA data and the NIH Toolbox, a multidimensional health assessment tool. It incorporated demographic and clinical assessment variables to predict NC, MCI, and AD. Model performance was evaluated using AUC, precision, recall, and F1 score. Robustness was tested through 5-fold cross-validation, sensitivity, scenario, and subgroup analyses. <b>Results:</b> The model achieved macro-AUC and micro-AUC scores of 0.92 and 0.91 (training) and 0.89 and 0.86 (testing). Key predictors included the Picture Sequence Memory Test and List Sorting Working Memory Test. Cross-validation yielded 70.22% accuracy and a Kappa of 0.52. <b>Conclusion:</b> Machine learning effectively uses a small set of assessments to distinguish NC, MCI, and AD, offering a valuable tool to support clinical decision-making. Future research should validate this model across diverse populations.</p>","PeriodicalId":93865,"journal":{"name":"American journal of Alzheimer's disease and other dementias","volume":"40 ","pages":"15333175251339730"},"PeriodicalIF":2.7000,"publicationDate":"2025-01-01","publicationTypes":"Journal Article","fieldsOfStudy":null,"isOpenAccess":false,"openAccessPdf":"https://www.ncbi.nlm.nih.gov/pmc/articles/PMC12056332/pdf/","citationCount":"0","resultStr":null,"platform":"Semanticscholar","paperid":null,"PeriodicalName":"American journal of Alzheimer's disease and other dementias","FirstCategoryId":"1085","ListUrlMain":"https://doi.org/10.1177/15333175251339730","RegionNum":0,"RegionCategory":null,"ArticlePicture":[],"TitleCN":null,"AbstractTextCN":null,"PMCID":null,"EPubDate":"2025/5/5 0:00:00","PubModel":"Epub","JCR":"","JCRName":"","Score":null,"Total":0}
引用次数: 0

Abstract

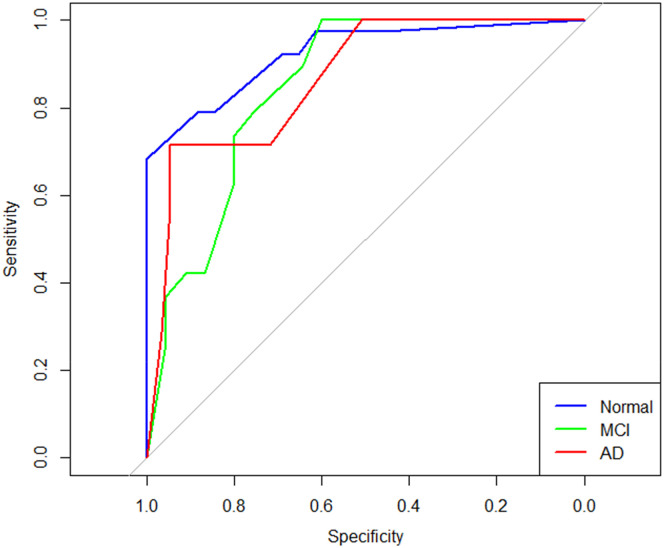
Objective: To improve the identification of cognitive impairment by distinguishing normal cognition (NC), mild cognitive impairment (MCI), and Alzheimer's disease (AD). Methods: A recursive partitioning tree model was developed using ARMADA data and the NIH Toolbox, a multidimensional health assessment tool. It incorporated demographic and clinical assessment variables to predict NC, MCI, and AD. Model performance was evaluated using AUC, precision, recall, and F1 score. Robustness was tested through 5-fold cross-validation, sensitivity, scenario, and subgroup analyses. Results: The model achieved macro-AUC and micro-AUC scores of 0.92 and 0.91 (training) and 0.89 and 0.86 (testing). Key predictors included the Picture Sequence Memory Test and List Sorting Working Memory Test. Cross-validation yielded 70.22% accuracy and a Kappa of 0.52. Conclusion: Machine learning effectively uses a small set of assessments to distinguish NC, MCI, and AD, offering a valuable tool to support clinical decision-making. Future research should validate this model across diverse populations.

Abstract Image

Abstract Image

Abstract Image

使用决策树模型预测和评估老年人的认知状态。
目的:通过区分正常认知(NC)、轻度认知障碍(MCI)和阿尔茨海默病(AD),提高对认知障碍的识别。方法:利用ARMADA数据和多维健康评估工具NIH Toolbox建立递归分区树模型。它结合了人口统计学和临床评估变量来预测NC、MCI和AD。使用AUC、精度、召回率和F1评分评估模型性能。通过5倍交叉验证、敏感性、情景和亚组分析来检验稳健性。结果:模型的宏观auc和微观auc得分分别为0.92和0.91(训练)和0.89和0.86(测试)。主要预测因子包括图片序列记忆测试和列表排序工作记忆测试。交叉验证的准确率为70.22%,Kappa为0.52。结论:机器学习有效地使用一小组评估来区分NC, MCI和AD,为支持临床决策提供了有价值的工具。未来的研究应该在不同的人群中验证这一模型。
本文章由计算机程序翻译,如有差异,请以英文原文为准。
求助全文
约1分钟内获得全文 求助全文
来源期刊
自引率
0.00%
发文量
0
×
引用
GB/T 7714-2015
复制
MLA
复制
APA
复制
导出至
BibTeX EndNote RefMan NoteFirst NoteExpress
×
提示
您的信息不完整,为了账户安全,请先补充。
现在去补充
×
提示
您因"违规操作"
具体请查看互助需知
我知道了
×
提示
确定
请完成安全验证×
copy
已复制链接
快去分享给好友吧!
我知道了
右上角分享
点击右上角分享
0
联系我们:info@booksci.cn Book学术提供免费学术资源搜索服务,方便国内外学者检索中英文文献。致力于提供最便捷和优质的服务体验。 Copyright © 2023 布克学术 All rights reserved.
京ICP备2023020795号-1
ghs 京公网安备 11010802042870号
Book学术文献互助
Book学术文献互助群
群 号:604180095
Book学术官方微信