Pre-Treatment Perceived Social Support Is Associated With Chemotherapy-Induced Peripheral Neuropathy in Patients With Breast Cancer: A Longitudinal Study.

IF 1.8 4区 医学 Q3 PSYCHIATRY
Psychiatry Investigation Pub Date : 2025-04-01 Epub Date: 2025-04-11 DOI:10.30773/pi.2024.0336
Joon Sung Shin, Sanghyup Jung, Geun Hui Won, Sun Hyung Lee, Jaehyun Kim, Saim Jung, Chan-Woo Yeom, Kwang-Min Lee, Kyung-Lak Son, Jang-Il Kim, Sook Young Jeon, Han-Byoel Lee, Bong-Jin Hahm
{"title":"Pre-Treatment Perceived Social Support Is Associated With Chemotherapy-Induced Peripheral Neuropathy in Patients With Breast Cancer: A Longitudinal Study.","authors":"Joon Sung Shin, Sanghyup Jung, Geun Hui Won, Sun Hyung Lee, Jaehyun Kim, Saim Jung, Chan-Woo Yeom, Kwang-Min Lee, Kyung-Lak Son, Jang-Il Kim, Sook Young Jeon, Han-Byoel Lee, Bong-Jin Hahm","doi":"10.30773/pi.2024.0336","DOIUrl":null,"url":null,"abstract":"<p><strong>Objective: </strong>Previous studies have reported an association between cancer-related symptoms and perceived social support (PSS). The objective of this study was to analyze whether Chemotherapy-Induced Peripheral Neuropathy (CIPN), a prevalent side effect of chemotherapy, varies according to PSS level using a validated tool for CIPN at prospective follow-up.</p><p><strong>Methods: </strong>A total of 39 breast cancer patients were evaluated for PSS using the Multidimensional Scale of Perceived Social Support (MSPSS) prior to chemotherapy and were subsequently grouped into one of two categories for each subscale: low-to-moderate PSS and high PSS. CIPN was prospectively evaluated using the European Organization for Research and Treatment of Cancer Quality of Life Questionnaire-Chemotherapy-Induced Peripheral Neuropathy 20 (CIPN20) at five time points. A linear mixed-effects model with square root transformation was employed to investigate whether the CIPN20 scales varied by PSS level and time point.</p><p><strong>Results: </strong>Statistical analysis of the MSPSS total scale and subscales revealed a significant effect of the friends subscale group and time point on the CIPN20 sensory scale. The sensory scale score of CIPN20 was found to be lower in participants with high PSS from friends in comparison to those with low-to-moderate PSS at 1 month post-chemotherapy (p=0.010).</p><p><strong>Conclusion: </strong>This is the first study to prospectively follow the long-term effect of pre-treatment PSS from friends on CIPN. Further studies based on larger samples are required to analyze the effects of PSS on the pathophysiology of CIPN.</p>","PeriodicalId":21164,"journal":{"name":"Psychiatry Investigation","volume":"22 4","pages":"424-434"},"PeriodicalIF":1.8000,"publicationDate":"2025-04-01","publicationTypes":"Journal Article","fieldsOfStudy":null,"isOpenAccess":false,"openAccessPdf":"https://www.ncbi.nlm.nih.gov/pmc/articles/PMC12022789/pdf/","citationCount":"0","resultStr":null,"platform":"Semanticscholar","paperid":null,"PeriodicalName":"Psychiatry Investigation","FirstCategoryId":"3","ListUrlMain":"https://doi.org/10.30773/pi.2024.0336","RegionNum":4,"RegionCategory":"医学","ArticlePicture":[],"TitleCN":null,"AbstractTextCN":null,"PMCID":null,"EPubDate":"2025/4/11 0:00:00","PubModel":"Epub","JCR":"Q3","JCRName":"PSYCHIATRY","Score":null,"Total":0}
引用次数: 0

Abstract

Objective: Previous studies have reported an association between cancer-related symptoms and perceived social support (PSS). The objective of this study was to analyze whether Chemotherapy-Induced Peripheral Neuropathy (CIPN), a prevalent side effect of chemotherapy, varies according to PSS level using a validated tool for CIPN at prospective follow-up.

Methods: A total of 39 breast cancer patients were evaluated for PSS using the Multidimensional Scale of Perceived Social Support (MSPSS) prior to chemotherapy and were subsequently grouped into one of two categories for each subscale: low-to-moderate PSS and high PSS. CIPN was prospectively evaluated using the European Organization for Research and Treatment of Cancer Quality of Life Questionnaire-Chemotherapy-Induced Peripheral Neuropathy 20 (CIPN20) at five time points. A linear mixed-effects model with square root transformation was employed to investigate whether the CIPN20 scales varied by PSS level and time point.

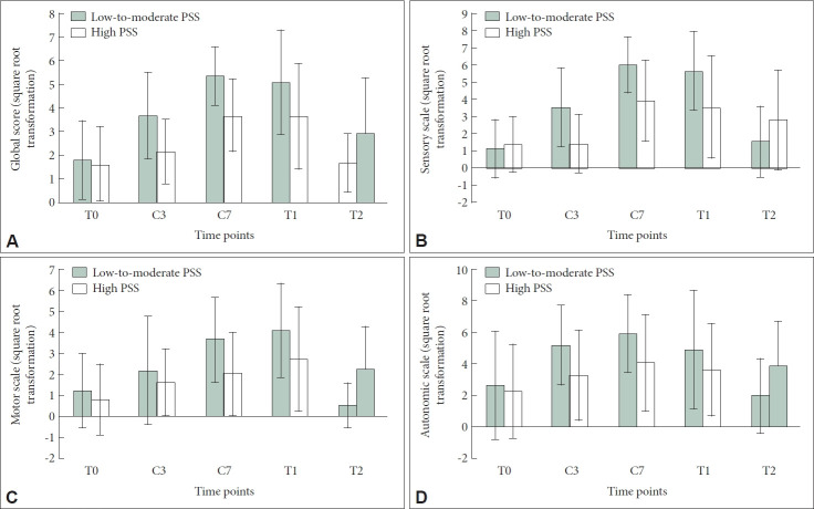
Results: Statistical analysis of the MSPSS total scale and subscales revealed a significant effect of the friends subscale group and time point on the CIPN20 sensory scale. The sensory scale score of CIPN20 was found to be lower in participants with high PSS from friends in comparison to those with low-to-moderate PSS at 1 month post-chemotherapy (p=0.010).

Conclusion: This is the first study to prospectively follow the long-term effect of pre-treatment PSS from friends on CIPN. Further studies based on larger samples are required to analyze the effects of PSS on the pathophysiology of CIPN.

Abstract Image

Abstract Image

治疗前感知的社会支持与化疗诱导的乳腺癌患者周围神经病变相关:一项纵向研究
目的:先前的研究报道了癌症相关症状与感知社会支持(PSS)之间的关联。本研究的目的是在前瞻性随访中使用一种经过验证的CIPN工具,分析化疗引起的周围神经病变(CIPN),一种常见的化疗副作用,是否根据PSS水平而变化。方法:对39例乳腺癌患者在化疗前使用感知社会支持多维度量表(MSPSS)进行PSS评估,随后将每个亚量表分为低至中度PSS和高PSS两类。使用欧洲癌症研究和治疗组织生活质量问卷-化疗诱导的周围神经病变20 (CIPN20)在五个时间点对CIPN进行前瞻性评估。采用平方根变换的线性混合效应模型研究CIPN20量表是否随PSS水平和时间点的变化而变化。结果:MSPSS总量表和分量表的统计分析显示,朋友分量表组和时间点对CIPN20感觉量表有显著影响。在化疗后1个月,来自朋友的高PSS患者的CIPN20感觉量表得分低于来自朋友的低至中度PSS患者(p=0.010)。结论:本研究首次前瞻性地追踪了治疗前朋友PSS对CIPN的长期影响。需要基于更大样本的进一步研究来分析PSS对CIPN病理生理的影响。
本文章由计算机程序翻译,如有差异,请以英文原文为准。
求助全文
约1分钟内获得全文 求助全文
来源期刊
CiteScore
4.10
自引率
3.70%
发文量
105
审稿时长
6-12 weeks
期刊介绍: The Psychiatry Investigation is published on the 25th day of every month in English by the Korean Neuropsychiatric Association (KNPA). The Journal covers the whole range of psychiatry and neuroscience. Both basic and clinical contributions are encouraged from all disciplines and research areas relevant to the pathophysiology and management of neuropsychiatric disorders and symptoms, as well as researches related to cross cultural psychiatry and ethnic issues in psychiatry. The Journal publishes editorials, review articles, original articles, brief reports, viewpoints and correspondences. All research articles are peer reviewed. Contributions are accepted for publication on the condition that their substance has not been published or submitted for publication elsewhere. Authors submitting papers to the Journal (serially or otherwise) with a common theme or using data derived from the same sample (or a subset thereof) must send details of all relevant previous publications and simultaneous submissions. The Journal is not responsible for statements made by contributors. Material in the Journal does not necessarily reflect the views of the Editor or of the KNPA. Manuscripts accepted for publication are copy-edited to improve readability and to ensure conformity with house style.
×
引用
GB/T 7714-2015
复制
MLA
复制
APA
复制
导出至
BibTeX EndNote RefMan NoteFirst NoteExpress
×
提示
您的信息不完整,为了账户安全,请先补充。
现在去补充
×
提示
您因"违规操作"
具体请查看互助需知
我知道了
×
提示
确定
请完成安全验证×
copy
已复制链接
快去分享给好友吧!
我知道了
右上角分享
点击右上角分享
0
联系我们:info@booksci.cn Book学术提供免费学术资源搜索服务,方便国内外学者检索中英文文献。致力于提供最便捷和优质的服务体验。 Copyright © 2023 布克学术 All rights reserved.
京ICP备2023020795号-1
ghs 京公网安备 11010802042870号
Book学术文献互助
Book学术文献互助群
群 号:604180095
Book学术官方微信