The Penguin Study: A Randomised, Double-Blinded, Equivalence Trial on the Safety and Suitability of an Infant Formula with Partially Hydrolysed 100% Whey Protein.

IF 1.4 Q3 PEDIATRICS
Lindsey Otten, Antonia Nomayo, Caroline Gunn, Maher Fuad, Barbara Kuhn-Sherlock, Sophie Gallier, Elisabeth Schelker, Janine Foster, Frank Jochum
{"title":"The Penguin Study: A Randomised, Double-Blinded, Equivalence Trial on the Safety and Suitability of an Infant Formula with Partially Hydrolysed 100% Whey Protein.","authors":"Lindsey Otten, Antonia Nomayo, Caroline Gunn, Maher Fuad, Barbara Kuhn-Sherlock, Sophie Gallier, Elisabeth Schelker, Janine Foster, Frank Jochum","doi":"10.3390/pediatric17020045","DOIUrl":null,"url":null,"abstract":"<p><p><b>Background/Objectives:</b> This study aimed to demonstrate the safety and suitability of an infant formula manufactured from partially hydrolysed whey protein (PHF) compared to standard formula manufactured from intact cow's milk proteins (IPF; whey-casein ratio, 60:40) in healthy term infants. <b>Methods:</b> This multicentre, randomised, double-blinded, placebo-controlled trial included infants of mothers who intended to exclusively formula feed. Infants ≤ 28 days of age received PHF or IPF for at least 90 and up to 180 days. A group of exclusively breastfed infants was included for reference. The safety evaluation consisted of an equivalence analysis of weight gain within +/-3 g/d after 90 days, further growth parameters, and adverse events. <b>Results:</b> Of the 249 infants randomised, 143 (76 IPF; 67 PHF), as well as 45 breastfed infants, completed the study per protocol. The mean difference in daily weight gain between the formula groups was within the equivalence margins (-2.4 g/d (95% CI 0.3-4.5)) with estimated means (SEM) of 34.9 (0.78) g/d (IPF) and 32.5 (0.76) g/d (PHF). No significant differences in weight gain, length, and head circumference or in the number, severity, or type of adverse events were observed. Comparable growth patterns were observed in the breastfed group. <b>Conclusions:</b> The PHF is safe and supports adequate infant growth with a daily weight gain non-inferior to a standard IPF.</p>","PeriodicalId":45251,"journal":{"name":"Pediatric Reports","volume":"17 2","pages":""},"PeriodicalIF":1.4000,"publicationDate":"2025-04-09","publicationTypes":"Journal Article","fieldsOfStudy":null,"isOpenAccess":false,"openAccessPdf":"https://www.ncbi.nlm.nih.gov/pmc/articles/PMC12030296/pdf/","citationCount":"0","resultStr":null,"platform":"Semanticscholar","paperid":null,"PeriodicalName":"Pediatric Reports","FirstCategoryId":"1085","ListUrlMain":"https://doi.org/10.3390/pediatric17020045","RegionNum":0,"RegionCategory":null,"ArticlePicture":[],"TitleCN":null,"AbstractTextCN":null,"PMCID":null,"EPubDate":"","PubModel":"","JCR":"Q3","JCRName":"PEDIATRICS","Score":null,"Total":0}
引用次数: 0

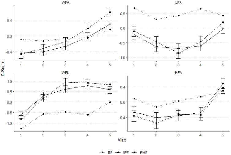
Abstract

Background/Objectives: This study aimed to demonstrate the safety and suitability of an infant formula manufactured from partially hydrolysed whey protein (PHF) compared to standard formula manufactured from intact cow's milk proteins (IPF; whey-casein ratio, 60:40) in healthy term infants. Methods: This multicentre, randomised, double-blinded, placebo-controlled trial included infants of mothers who intended to exclusively formula feed. Infants ≤ 28 days of age received PHF or IPF for at least 90 and up to 180 days. A group of exclusively breastfed infants was included for reference. The safety evaluation consisted of an equivalence analysis of weight gain within +/-3 g/d after 90 days, further growth parameters, and adverse events. Results: Of the 249 infants randomised, 143 (76 IPF; 67 PHF), as well as 45 breastfed infants, completed the study per protocol. The mean difference in daily weight gain between the formula groups was within the equivalence margins (-2.4 g/d (95% CI 0.3-4.5)) with estimated means (SEM) of 34.9 (0.78) g/d (IPF) and 32.5 (0.76) g/d (PHF). No significant differences in weight gain, length, and head circumference or in the number, severity, or type of adverse events were observed. Comparable growth patterns were observed in the breastfed group. Conclusions: The PHF is safe and supports adequate infant growth with a daily weight gain non-inferior to a standard IPF.

Abstract Image

Abstract Image

企鹅研究:一项随机、双盲、对100%部分水解乳清蛋白婴儿配方奶粉安全性和适用性的等效试验。
背景/目的:本研究旨在证明由部分水解乳清蛋白(PHF)制成的婴儿配方奶粉与由完整牛奶蛋白(IPF)制成的标准配方奶粉的安全性和适用性。乳清-酪蛋白比,60:40)健康足月婴儿。方法:这项多中心、随机、双盲、安慰剂对照的试验纳入了纯配方喂养的母亲所生的婴儿。≤28日龄的婴儿接受PHF或IPF治疗至少90天和最多180天。一组纯母乳喂养的婴儿被纳入参考。安全性评估包括90天后体重增加+/-3 g/d的等效分析、进一步的生长参数和不良事件。结果:在249例随机分组的婴儿中,143例(76例IPF;67名PHF)以及45名母乳喂养的婴儿按照方案完成了研究。配方奶组之间的日增重平均差异在等效范围内(-2.4 g/d (95% CI 0.3-4.5)),估计平均值(SEM)为34.9 (0.78)g/d (IPF)和32.5 (0.76)g/d (PHF)。在体重增加、体长和头围或不良事件的数量、严重程度或类型方面没有观察到显著差异。在母乳喂养组中观察到类似的生长模式。结论:PHF是安全的,支持足够的婴儿生长,每日体重增加不低于标准IPF。
本文章由计算机程序翻译,如有差异,请以英文原文为准。
求助全文
约1分钟内获得全文 求助全文
来源期刊
Pediatric Reports
Pediatric Reports PEDIATRICS-
CiteScore
2.10
自引率
0.00%
发文量
55
审稿时长
11 weeks
×
引用
GB/T 7714-2015
复制
MLA
复制
APA
复制
导出至
BibTeX EndNote RefMan NoteFirst NoteExpress
×
提示
您的信息不完整,为了账户安全,请先补充。
现在去补充
×
提示
您因"违规操作"
具体请查看互助需知
我知道了
×
提示
确定
请完成安全验证×
copy
已复制链接
快去分享给好友吧!
我知道了
右上角分享
点击右上角分享
0
联系我们:info@booksci.cn Book学术提供免费学术资源搜索服务,方便国内外学者检索中英文文献。致力于提供最便捷和优质的服务体验。 Copyright © 2023 布克学术 All rights reserved.
京ICP备2023020795号-1
ghs 京公网安备 11010802042870号
Book学术文献互助
Book学术文献互助群
群 号:604180095
Book学术官方微信