Multi-Experiment and Multi-Locus Genome-Wide Association Mapping for Grain Arsenic in Rice Population.

IF 2.3 3区 生物学 Q2 PLANT SCIENCES
Plant Direct Pub Date : 2025-05-04 eCollection Date: 2025-05-01 DOI:10.1002/pld3.70064
Caijin Chen, Panthita Ruang-Areerate, Anthony J Travis, Alex Douglas, David E Salt, Shannon R M Pinson, Georgia C Eizenga, Adam H Price, Gareth J Norton
{"title":"Multi-Experiment and Multi-Locus Genome-Wide Association Mapping for Grain Arsenic in Rice Population.","authors":"Caijin Chen, Panthita Ruang-Areerate, Anthony J Travis, Alex Douglas, David E Salt, Shannon R M Pinson, Georgia C Eizenga, Adam H Price, Gareth J Norton","doi":"10.1002/pld3.70064","DOIUrl":null,"url":null,"abstract":"<p><p>Rice is a globally important crop and is particularly efficient at assimilating arsenic (As). Identifying QTLs and genes associated with grain As is essential for breeding low-As rice cultivars. In this study, data on As accumulation in grains of Rice Diversity Panel 1 in five field environments at four diverse geographic sites were reanalyzed to compare genome-wide association (GWA) methods. Two single-locus (EMMAX for single trait and GEMMA for multi-experiments) and six multi-locus (FASTmrEMMA, ISIS EM-BLASSO, mrMLM, pKWmEB, pLARmEB, and FASTmrMLM) GWA methods were used. A total of 90 and 111 QTLs were detected using EMMAX and GEMMA, respectively. A total of 2, 11, 12, 19, 23, and 25 QTNs were identified by FASTmrEMMA, ISIS EM-BLASSO, mrMLM, pKWmEB, pLARmEB, and FASTmrMLM, respectively. Among these, 22 QTLs/QTNs were co-detected by single-locus and multi-locus GWAS methods. From these QTLs/QTNs, a total of 10 candidate genes were identified. Analysis of the haplotype variants of one candidate genes, <i>OsABCC1</i>, and one cluster of the plasma membrane intrinsic proteins <i>genes</i> revealed that a greater than 10% reduction in grain As could be achieved. The QTLs/QTNs and candidate genes identified give insight into the molecular mechanisms regulating As accumulation in rice and serve as breeding targets for developing low grain As rice cultivars.</p>","PeriodicalId":20230,"journal":{"name":"Plant Direct","volume":"9 5","pages":"e70064"},"PeriodicalIF":2.3000,"publicationDate":"2025-05-04","publicationTypes":"Journal Article","fieldsOfStudy":null,"isOpenAccess":false,"openAccessPdf":"https://www.ncbi.nlm.nih.gov/pmc/articles/PMC12050220/pdf/","citationCount":"0","resultStr":null,"platform":"Semanticscholar","paperid":null,"PeriodicalName":"Plant Direct","FirstCategoryId":"99","ListUrlMain":"https://doi.org/10.1002/pld3.70064","RegionNum":3,"RegionCategory":"生物学","ArticlePicture":[],"TitleCN":null,"AbstractTextCN":null,"PMCID":null,"EPubDate":"2025/5/1 0:00:00","PubModel":"eCollection","JCR":"Q2","JCRName":"PLANT SCIENCES","Score":null,"Total":0}
引用次数: 0

Abstract

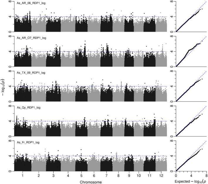
Rice is a globally important crop and is particularly efficient at assimilating arsenic (As). Identifying QTLs and genes associated with grain As is essential for breeding low-As rice cultivars. In this study, data on As accumulation in grains of Rice Diversity Panel 1 in five field environments at four diverse geographic sites were reanalyzed to compare genome-wide association (GWA) methods. Two single-locus (EMMAX for single trait and GEMMA for multi-experiments) and six multi-locus (FASTmrEMMA, ISIS EM-BLASSO, mrMLM, pKWmEB, pLARmEB, and FASTmrMLM) GWA methods were used. A total of 90 and 111 QTLs were detected using EMMAX and GEMMA, respectively. A total of 2, 11, 12, 19, 23, and 25 QTNs were identified by FASTmrEMMA, ISIS EM-BLASSO, mrMLM, pKWmEB, pLARmEB, and FASTmrMLM, respectively. Among these, 22 QTLs/QTNs were co-detected by single-locus and multi-locus GWAS methods. From these QTLs/QTNs, a total of 10 candidate genes were identified. Analysis of the haplotype variants of one candidate genes, OsABCC1, and one cluster of the plasma membrane intrinsic proteins genes revealed that a greater than 10% reduction in grain As could be achieved. The QTLs/QTNs and candidate genes identified give insight into the molecular mechanisms regulating As accumulation in rice and serve as breeding targets for developing low grain As rice cultivars.

Abstract Image

Abstract Image

Abstract Image

水稻群体中籽粒砷的多试验、多位点全基因组关联定位。
水稻是一种全球重要的作物,在吸收砷方面特别有效。鉴定与籽粒砷相关的qtl和基因对低砷水稻品种的选育具有重要意义。在本研究中,我们重新分析了水稻多样性面板1在4个不同地理站点的5个田间环境中籽粒As积累的数据,以比较全基因组关联(GWA)方法。采用2种单位点(EMMAX为单性状,GEMMA为多性状)和6种多位点(FASTmrEMMA、ISIS EM-BLASSO、mrMLM、pKWmEB、pLARmEB和FASTmrMLM) GWA方法。利用EMMAX和GEMMA分别检测到90个和111个qtl。通过FASTmrEMMA、ISIS EM-BLASSO、mrMLM、pKWmEB、pLARmEB和FASTmrMLM分别鉴定出2、11、12、19、23和25个qtn。其中22个qtl / qtn通过单位点和多位点GWAS方法共同检测。从这些qtl /QTNs中,共鉴定出10个候选基因。对一个候选基因OsABCC1的单倍型变异和一个质膜固有蛋白基因簇的分析表明,籽粒As可以减少10%以上。所鉴定的qtl /QTNs和候选基因为进一步研究水稻As积累的分子机制提供了依据,为培育低粒As水稻品种提供了参考。
本文章由计算机程序翻译,如有差异,请以英文原文为准。
求助全文
约1分钟内获得全文 求助全文
来源期刊
Plant Direct
Plant Direct Environmental Science-Ecology
CiteScore
5.00
自引率
3.30%
发文量
101
审稿时长
14 weeks
期刊介绍: Plant Direct is a monthly, sound science journal for the plant sciences that gives prompt and equal consideration to papers reporting work dealing with a variety of subjects. Topics include but are not limited to genetics, biochemistry, development, cell biology, biotic stress, abiotic stress, genomics, phenomics, bioinformatics, physiology, molecular biology, and evolution. A collaborative journal launched by the American Society of Plant Biologists, the Society for Experimental Biology and Wiley, Plant Direct publishes papers submitted directly to the journal as well as those referred from a select group of the societies’ journals.
×
引用
GB/T 7714-2015
复制
MLA
复制
APA
复制
导出至
BibTeX EndNote RefMan NoteFirst NoteExpress
×
提示
您的信息不完整,为了账户安全,请先补充。
现在去补充
×
提示
您因"违规操作"
具体请查看互助需知
我知道了
×
提示
确定
请完成安全验证×
copy
已复制链接
快去分享给好友吧!
我知道了
右上角分享
点击右上角分享
0
联系我们:info@booksci.cn Book学术提供免费学术资源搜索服务,方便国内外学者检索中英文文献。致力于提供最便捷和优质的服务体验。 Copyright © 2023 布克学术 All rights reserved.
京ICP备2023020795号-1
ghs 京公网安备 11010802042870号
Book学术文献互助
Book学术文献互助群
群 号:604180095
Book学术官方微信