Correlation Between Liver-to-Spleen Hounsfield Unit Ratio and Metabolic Improvement in Patients With Bariatric Surgery.

Sin Hye Park, Dong Jin Kim
{"title":"Correlation Between Liver-to-Spleen Hounsfield Unit Ratio and Metabolic Improvement in Patients With Bariatric Surgery.","authors":"Sin Hye Park, Dong Jin Kim","doi":"10.17476/jmbs.2025.14.1.24","DOIUrl":null,"url":null,"abstract":"<p><strong>Purpose: </strong>Non-alcoholic fatty liver disease (NAFLD) is becoming increasingly common, especially among obese individuals. This study evaluated the liver/spleen Hounsfield unit (HU) ratio (L/S ratio) as an indicator of steatosis and related metabolic diseases using contrast-enhanced computed tomography (CT).</p><p><strong>Materials and methods: </strong>A retrospective analysis was conducted on 34 patients who underwent bariatric surgery at Eunpyeong St. Mary's Hospital between March 2019 and July 2023. All patients underwent CT scans before and 6 months after surgery. The L/S ratio was calculated by dividing the average value of 3 HU of the liver by that of the spleen. The ratio correlated with pre- and post-surgery weight changes, comorbidities, and laboratory findings.</p><p><strong>Results: </strong>The mean preoperative body mass index (BMI) was 40.5. Post-surgery, BMI significantly decreased to 31.5, and the number of patients with diabetes reduced from 18 (52.9%) to 4 (11.8%). Significant reductions were observed in hemoglobin A1c (HbA1c), aspartate transaminase (AST), and alanine transaminase (ALT) levels after surgery. The L/S ratio increased from 0.7±0.2 to 0.9±0.1, correlating with liver function improvements and weight loss (all with P<0.001). Patients with a larger change in L/S ratio demonstrated more significant improvements in AST, ALT, and HbA1c levels and a higher total weight loss percentage.</p><p><strong>Conclusion: </strong>This study demonstrated a strong correlation between changes in the L/S ratio and metabolic improvements, including diabetes remission, following bariatric surgery. The L/S ratio could serve as a valuable index for assessing NAFLD severity and monitoring the outcomes in patients undergoing bariatric surgery.</p>","PeriodicalId":73828,"journal":{"name":"Journal of metabolic and bariatric surgery","volume":"14 1","pages":"24-31"},"PeriodicalIF":0.0000,"publicationDate":"2025-04-01","publicationTypes":"Journal Article","fieldsOfStudy":null,"isOpenAccess":false,"openAccessPdf":"https://www.ncbi.nlm.nih.gov/pmc/articles/PMC12059306/pdf/","citationCount":"0","resultStr":null,"platform":"Semanticscholar","paperid":null,"PeriodicalName":"Journal of metabolic and bariatric surgery","FirstCategoryId":"1085","ListUrlMain":"https://doi.org/10.17476/jmbs.2025.14.1.24","RegionNum":0,"RegionCategory":null,"ArticlePicture":[],"TitleCN":null,"AbstractTextCN":null,"PMCID":null,"EPubDate":"2025/4/10 0:00:00","PubModel":"Epub","JCR":"","JCRName":"","Score":null,"Total":0}
引用次数: 0

Abstract

Purpose: Non-alcoholic fatty liver disease (NAFLD) is becoming increasingly common, especially among obese individuals. This study evaluated the liver/spleen Hounsfield unit (HU) ratio (L/S ratio) as an indicator of steatosis and related metabolic diseases using contrast-enhanced computed tomography (CT).

Materials and methods: A retrospective analysis was conducted on 34 patients who underwent bariatric surgery at Eunpyeong St. Mary's Hospital between March 2019 and July 2023. All patients underwent CT scans before and 6 months after surgery. The L/S ratio was calculated by dividing the average value of 3 HU of the liver by that of the spleen. The ratio correlated with pre- and post-surgery weight changes, comorbidities, and laboratory findings.

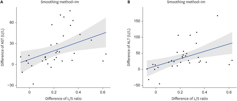
Results: The mean preoperative body mass index (BMI) was 40.5. Post-surgery, BMI significantly decreased to 31.5, and the number of patients with diabetes reduced from 18 (52.9%) to 4 (11.8%). Significant reductions were observed in hemoglobin A1c (HbA1c), aspartate transaminase (AST), and alanine transaminase (ALT) levels after surgery. The L/S ratio increased from 0.7±0.2 to 0.9±0.1, correlating with liver function improvements and weight loss (all with P<0.001). Patients with a larger change in L/S ratio demonstrated more significant improvements in AST, ALT, and HbA1c levels and a higher total weight loss percentage.

Conclusion: This study demonstrated a strong correlation between changes in the L/S ratio and metabolic improvements, including diabetes remission, following bariatric surgery. The L/S ratio could serve as a valuable index for assessing NAFLD severity and monitoring the outcomes in patients undergoing bariatric surgery.

Abstract Image

Abstract Image

Abstract Image

减肥手术患者肝脾霍斯菲尔德单位比与代谢改善的相关性
目的:非酒精性脂肪性肝病(NAFLD)正变得越来越普遍,尤其是在肥胖人群中。本研究利用对比增强计算机断层扫描(CT)评估肝/脾Hounsfield单位(HU)比率(L/S比率)作为脂肪变性和相关代谢疾病的指标。材料与方法:对2019年3月至2023年7月在恩平圣玛丽医院接受减肥手术的34例患者进行回顾性分析。所有患者术前及术后6个月均行CT扫描。用肝脏3hu平均值除以脾脏3hu平均值计算L/S比。该比率与术前和术后体重变化、合并症和实验室结果相关。结果:术前平均体重指数(BMI)为40.5。术后BMI明显下降至31.5,糖尿病患者由18例(52.9%)减少至4例(11.8%)。术后观察到血红蛋白A1c (HbA1c)、天冬氨酸转氨酶(AST)和丙氨酸转氨酶(ALT)水平显著降低。L/S比从0.7±0.2增加到0.9±0.1,与肝功能改善和体重减轻相关(均与p相关)。结论:本研究表明,减肥手术后L/S比的变化与代谢改善(包括糖尿病缓解)之间存在很强的相关性。L/S比值可作为评估NAFLD严重程度和监测减肥手术患者预后的有价值指标。
本文章由计算机程序翻译,如有差异,请以英文原文为准。
求助全文
约1分钟内获得全文 求助全文
来源期刊
自引率
0.00%
发文量
0
×
引用
GB/T 7714-2015
复制
MLA
复制
APA
复制
导出至
BibTeX EndNote RefMan NoteFirst NoteExpress
×
提示
您的信息不完整,为了账户安全,请先补充。
现在去补充
×
提示
您因"违规操作"
具体请查看互助需知
我知道了
×
提示
确定
请完成安全验证×
copy
已复制链接
快去分享给好友吧!
我知道了
右上角分享
点击右上角分享
0
联系我们:info@booksci.cn Book学术提供免费学术资源搜索服务,方便国内外学者检索中英文文献。致力于提供最便捷和优质的服务体验。 Copyright © 2023 布克学术 All rights reserved.
京ICP备2023020795号-1
ghs 京公网安备 11010802042870号
Book学术文献互助
Book学术文献互助群
群 号:604180095
Book学术官方微信