Comparative bioavailability of β-carotene from raw carrots and fresh carrot juice in humans: a crossover study.

IF 1.5 4区 医学 Q3 NUTRITION & DIETETICS
Nutrition Research and Practice Pub Date : 2025-04-01 Epub Date: 2024-11-27 DOI:10.4162/nrp.2025.19.2.215
Mijoo Choi, Juha Baek, Eunju Park
{"title":"Comparative bioavailability of β-carotene from raw carrots and fresh carrot juice in humans: a crossover study.","authors":"Mijoo Choi, Juha Baek, Eunju Park","doi":"10.4162/nrp.2025.19.2.215","DOIUrl":null,"url":null,"abstract":"<p><strong>Background/objectives: </strong>Carrots are a major source of beta-carotene, but comparative studies on different consumption methods are limited. This study compared the rates of β-carotene absorption from fresh carrots versus fresh carrot juice.</p><p><strong>Subjects/methods: </strong>For β-carotene absorption, a separate randomized controlled crossover trial was conducted with 16 healthy adults. The participants consumed 25 mg of β-carotene from raw carrots or fresh carrot juice. Blood samples were collected at the baseline (0 h) and at 0.5, 1, 1.5, 2, 3, 4, 6, 8, 12, and 24 h post-consumption.</p><p><strong>Results: </strong>The carrot juice group exhibited 2.33 times higher peak plasma concentrations 1.5 h post-consumption than those in the raw carrot group. The area under the curve for β-carotene absorption was 2.09 times greater in the carrot juice group than in the raw carrot group. The plasma α-carotene levels increased in both groups, but no significant differences were found. Similarly, no significant changes in the plasma levels of other fat-soluble vitamins were observed. In addition, no significant differences in antioxidant capacity (oxygen radical absorbance capacity and total radical-trapping antioxidant potential) were found between the 2 groups.</p><p><strong>Conclusion: </strong>Consuming fresh carrot juice, without added sugars, may enhance the bioavailability of β-carotene compared to raw produce.</p>","PeriodicalId":19232,"journal":{"name":"Nutrition Research and Practice","volume":"19 2","pages":"215-224"},"PeriodicalIF":1.5000,"publicationDate":"2025-04-01","publicationTypes":"Journal Article","fieldsOfStudy":null,"isOpenAccess":false,"openAccessPdf":"https://www.ncbi.nlm.nih.gov/pmc/articles/PMC11982686/pdf/","citationCount":"0","resultStr":null,"platform":"Semanticscholar","paperid":null,"PeriodicalName":"Nutrition Research and Practice","FirstCategoryId":"3","ListUrlMain":"https://doi.org/10.4162/nrp.2025.19.2.215","RegionNum":4,"RegionCategory":"医学","ArticlePicture":[],"TitleCN":null,"AbstractTextCN":null,"PMCID":null,"EPubDate":"2024/11/27 0:00:00","PubModel":"Epub","JCR":"Q3","JCRName":"NUTRITION & DIETETICS","Score":null,"Total":0}
引用次数: 0

Abstract

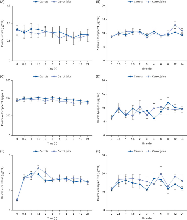
Background/objectives: Carrots are a major source of beta-carotene, but comparative studies on different consumption methods are limited. This study compared the rates of β-carotene absorption from fresh carrots versus fresh carrot juice.

Subjects/methods: For β-carotene absorption, a separate randomized controlled crossover trial was conducted with 16 healthy adults. The participants consumed 25 mg of β-carotene from raw carrots or fresh carrot juice. Blood samples were collected at the baseline (0 h) and at 0.5, 1, 1.5, 2, 3, 4, 6, 8, 12, and 24 h post-consumption.

Results: The carrot juice group exhibited 2.33 times higher peak plasma concentrations 1.5 h post-consumption than those in the raw carrot group. The area under the curve for β-carotene absorption was 2.09 times greater in the carrot juice group than in the raw carrot group. The plasma α-carotene levels increased in both groups, but no significant differences were found. Similarly, no significant changes in the plasma levels of other fat-soluble vitamins were observed. In addition, no significant differences in antioxidant capacity (oxygen radical absorbance capacity and total radical-trapping antioxidant potential) were found between the 2 groups.

Conclusion: Consuming fresh carrot juice, without added sugars, may enhance the bioavailability of β-carotene compared to raw produce.

Abstract Image

Abstract Image

Abstract Image

生胡萝卜和新鲜胡萝卜汁中β-胡萝卜素在人体中的比较生物利用度:一项交叉研究。
背景/目的:胡萝卜是β -胡萝卜素的主要来源,但对不同食用方法的比较研究有限。这项研究比较了新鲜胡萝卜和新鲜胡萝卜汁中β-胡萝卜素的吸收率。受试者/方法:针对β-胡萝卜素的吸收,对16名健康成人进行了单独的随机对照交叉试验。参与者从生胡萝卜或新鲜胡萝卜汁中摄取25毫克β-胡萝卜素。在基线(0小时)和消耗后0.5、1、1.5、2、3、4、6、8、12和24小时采集血样。结果:胡萝卜汁组在食用1.5 h后的血药浓度峰值是生胡萝卜组的2.33倍。胡萝卜汁组β-胡萝卜素吸收曲线下面积是生胡萝卜组的2.09倍。两组血浆α-胡萝卜素水平均升高,但无显著差异。同样,其他脂溶性维生素的血浆水平也没有明显变化。此外,抗氧化能力(氧自由基吸收能力和总自由基捕获抗氧化电位)在两组间无显著差异。结论:食用新鲜的胡萝卜汁,不添加糖,可以提高β-胡萝卜素的生物利用度比生产品。
本文章由计算机程序翻译,如有差异,请以英文原文为准。
求助全文
约1分钟内获得全文 求助全文
来源期刊
Nutrition Research and Practice
Nutrition Research and Practice NUTRITION & DIETETICS-
CiteScore
3.50
自引率
4.20%
发文量
62
审稿时长
6-12 weeks
期刊介绍: Nutrition Research and Practice (NRP) is an official journal, jointly published by the Korean Nutrition Society and the Korean Society of Community Nutrition since 2007. The journal had been published quarterly at the initial stage and has been published bimonthly since 2010. NRP aims to stimulate research and practice across diverse areas of human nutrition. The Journal publishes peer-reviewed original manuscripts on nutrition biochemistry and metabolism, community nutrition, nutrition and disease management, nutritional epidemiology, nutrition education, foodservice management in the following categories: Original Research Articles, Notes, Communications, and Reviews. Reviews will be received by the invitation of the editors only. Statements made and opinions expressed in the manuscripts published in this Journal represent the views of authors and do not necessarily reflect the opinion of the Societies.
×
引用
GB/T 7714-2015
复制
MLA
复制
APA
复制
导出至
BibTeX EndNote RefMan NoteFirst NoteExpress
×
提示
您的信息不完整,为了账户安全,请先补充。
现在去补充
×
提示
您因"违规操作"
具体请查看互助需知
我知道了
×
提示
确定
请完成安全验证×
copy
已复制链接
快去分享给好友吧!
我知道了
右上角分享
点击右上角分享
0
联系我们:info@booksci.cn Book学术提供免费学术资源搜索服务,方便国内外学者检索中英文文献。致力于提供最便捷和优质的服务体验。 Copyright © 2023 布克学术 All rights reserved.
京ICP备2023020795号-1
ghs 京公网安备 11010802042870号
Book学术文献互助
Book学术文献互助群
群 号:604180095
Book学术官方微信