Exploring the Intrinsic Association Between Perceived Social Support and Depressive Symptoms and Problematic Phone Use Among College Students Based on Network Analysis.

IF 3.2 3区 心理学 Q2 PSYCHOLOGY, CLINICAL
Psychology Research and Behavior Management Pub Date : 2025-04-16 eCollection Date: 2025-01-01 DOI:10.2147/PRBM.S517951
Enze Gao, Xinru Qi, Min Liu, Ying Zhang, Hualing Li
{"title":"Exploring the Intrinsic Association Between Perceived Social Support and Depressive Symptoms and Problematic Phone Use Among College Students Based on Network Analysis.","authors":"Enze Gao, Xinru Qi, Min Liu, Ying Zhang, Hualing Li","doi":"10.2147/PRBM.S517951","DOIUrl":null,"url":null,"abstract":"<p><strong>Purpose: </strong>A network analysis model was used to explore the complex associations between college students' perceived social support and depressive symptoms and problematic phone use from a specific symptom perspective;.</p><p><strong>Methods: </strong>A total of 3869 study participants were included in this study using convenience sampling from five different universities in five different provinces in China. Perceived Social Support Scale was been used to measure the perceived social support level of college students, the extent of problematic smartphone use was evaluated using the Smartphone Addiction Scale-Short Version, and the Patient Health Questionnaire-9 scale to assess the depressive symptoms. A network analysis model was used to explore the intrinsic associations between their specific symptoms of perceived social support, depressive symptoms and problematic phone use;.</p><p><strong>Results: </strong>The results revealed that social support from family and from friends played a potentially critical role in alleviating depressive symptoms and reducing problematic phone use among college students;.</p><p><strong>Conclusion: </strong>The support given by family and peers is of great practical importance in reducing problematic cell phone use and controlling the development of depressive symptoms in the college population.</p>","PeriodicalId":20954,"journal":{"name":"Psychology Research and Behavior Management","volume":"18 ","pages":"965-977"},"PeriodicalIF":3.2000,"publicationDate":"2025-04-16","publicationTypes":"Journal Article","fieldsOfStudy":null,"isOpenAccess":false,"openAccessPdf":"https://www.ncbi.nlm.nih.gov/pmc/articles/PMC12009574/pdf/","citationCount":"0","resultStr":null,"platform":"Semanticscholar","paperid":null,"PeriodicalName":"Psychology Research and Behavior Management","FirstCategoryId":"102","ListUrlMain":"https://doi.org/10.2147/PRBM.S517951","RegionNum":3,"RegionCategory":"心理学","ArticlePicture":[],"TitleCN":null,"AbstractTextCN":null,"PMCID":null,"EPubDate":"2025/1/1 0:00:00","PubModel":"eCollection","JCR":"Q2","JCRName":"PSYCHOLOGY, CLINICAL","Score":null,"Total":0}
引用次数: 0

Abstract

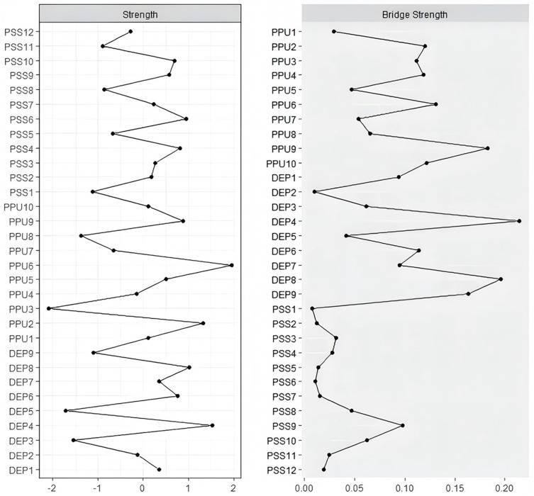
Purpose: A network analysis model was used to explore the complex associations between college students' perceived social support and depressive symptoms and problematic phone use from a specific symptom perspective;.

Methods: A total of 3869 study participants were included in this study using convenience sampling from five different universities in five different provinces in China. Perceived Social Support Scale was been used to measure the perceived social support level of college students, the extent of problematic smartphone use was evaluated using the Smartphone Addiction Scale-Short Version, and the Patient Health Questionnaire-9 scale to assess the depressive symptoms. A network analysis model was used to explore the intrinsic associations between their specific symptoms of perceived social support, depressive symptoms and problematic phone use;.

Results: The results revealed that social support from family and from friends played a potentially critical role in alleviating depressive symptoms and reducing problematic phone use among college students;.

Conclusion: The support given by family and peers is of great practical importance in reducing problematic cell phone use and controlling the development of depressive symptoms in the college population.

Abstract Image

Abstract Image

Abstract Image

基于网络分析的大学生感知社会支持与抑郁症状、手机问题使用的内在联系
目的:采用网络分析模型,从特定症状角度探讨大学生感知社会支持与抑郁症状、问题手机使用之间的复杂关联。方法:采用方便抽样方法,从中国五省五所高校抽取3869名研究对象。采用《感知社会支持量表》测量大学生感知社会支持水平,采用《智能手机成瘾简易量表》评估大学生智能手机使用问题程度,采用《患者健康问卷-9》评估大学生抑郁症状。采用网络分析模型,探讨其特定症状感知社会支持、抑郁症状和问题电话使用之间的内在联系;结果:来自家庭和朋友的社会支持在缓解大学生抑郁症状和减少不良手机使用方面发挥了潜在的关键作用;结论:家庭和同伴的支持对减少大学生不良手机使用和控制抑郁症状的发展具有重要的现实意义。
本文章由计算机程序翻译,如有差异,请以英文原文为准。
求助全文
约1分钟内获得全文 求助全文
来源期刊
CiteScore
4.50
自引率
4.70%
发文量
341
审稿时长
16 weeks
期刊介绍: Psychology Research and Behavior Management is an international, peer-reviewed, open access journal focusing on the science of psychology and its application in behavior management to develop improved outcomes in the clinical, educational, sports and business arenas. Specific topics covered in the journal include: -Neuroscience, memory and decision making -Behavior modification and management -Clinical applications -Business and sports performance management -Social and developmental studies -Animal studies The journal welcomes submitted papers covering original research, clinical studies, surveys, reviews and evaluations, guidelines, expert opinion and commentary, case reports and extended reports.
×
引用
GB/T 7714-2015
复制
MLA
复制
APA
复制
导出至
BibTeX EndNote RefMan NoteFirst NoteExpress
×
提示
您的信息不完整,为了账户安全,请先补充。
现在去补充
×
提示
您因"违规操作"
具体请查看互助需知
我知道了
×
提示
确定
请完成安全验证×
copy
已复制链接
快去分享给好友吧!
我知道了
右上角分享
点击右上角分享
0
联系我们:info@booksci.cn Book学术提供免费学术资源搜索服务,方便国内外学者检索中英文文献。致力于提供最便捷和优质的服务体验。 Copyright © 2023 布克学术 All rights reserved.
京ICP备2023020795号-1
ghs 京公网安备 11010802042870号
Book学术文献互助
Book学术文献互助群
群 号:604180095
Book学术官方微信