Efficacy of immunotherapy remained in patients with recurrent/metastatic non-small-cell lung cancer after surgery with or without postoperative thoracic radiotherapy: a bi-center retrospective study.

IF 2.3 3区 医学 Q3 ONCOLOGY
Thoracic Cancer Pub Date : 2025-07-01 Epub Date: 2025-04-17 DOI:10.1111/1759-7714.15384
Yuqi Wu, Renda Li, Fengwei Tan, Jianzhong Cao, Nan Bi
{"title":"Efficacy of immunotherapy remained in patients with recurrent/metastatic non-small-cell lung cancer after surgery with or without postoperative thoracic radiotherapy: a bi-center retrospective study.","authors":"Yuqi Wu, Renda Li, Fengwei Tan, Jianzhong Cao, Nan Bi","doi":"10.1111/1759-7714.15384","DOIUrl":null,"url":null,"abstract":"<p><strong>Purpose: </strong>Since mediastinal lymph node dissection and radiotherapy (RT) have potential unclear impacts on pulmonary lymphatic system, this study aimed to assess the effectiveness of immune checkpoint inhibitors (ICIs) in recurrent/metastatic non-small-cell lung cancer (NSCLC) patients who previously received radical surgery with or without thoracic RT.</p><p><strong>Methods: </strong>Clinical data of patients who underwent pulmonary lobectomy with systematic lymphadenectomy (2000.1.1-2021.7.2) and received immunotherapy after progression were retrospectively analyzed. Efficacy was mainly evaluated based on progression-free survival (PFS) from the start of the ICIs. Toxicity was defined as treatment discontinuation due to immune-related adverse effects (irAEs).</p><p><strong>Results: </strong>Ninety-five patients were enrolled in the final cohort and 30 (31.6%) patients received thoracic RT before ICI treatment. ICIs were administered as a first-line systematic treatment in 52.6% of patients. The median follow-up time was 14.7 months (95% confidence interval [CI] 13.3-18.7 months). The median PFS was 12.3 months (95% CI 8.5-36.6 months). Six (6.3%) patients had treatment suspended due to irAEs. Patients who received RT had comparable median PFS with the non-RT group (17.0 months vs. 11.1 months, p = 0.16). Similar toxicity rates were observed. Similar mPFS were reported in the stage III subgroup (RT vs. non-RT, 8.10 vs. 8.45 months, p = 0.86) or the subgroup treated by ICIs as primary systematic therapy (RT vs. non-RT, 13.6 vs. 16.1 months, p = 0.45).</p><p><strong>Conclusions: </strong>ICIs remained effective in recurrent/metastatic NSCLC patients with radical surgery and RT did not significantly compromise therapeutic effects.</p>","PeriodicalId":23338,"journal":{"name":"Thoracic Cancer","volume":" ","pages":"e15384"},"PeriodicalIF":2.3000,"publicationDate":"2025-07-01","publicationTypes":"Journal Article","fieldsOfStudy":null,"isOpenAccess":false,"openAccessPdf":"https://www.ncbi.nlm.nih.gov/pmc/articles/PMC12245619/pdf/","citationCount":"0","resultStr":null,"platform":"Semanticscholar","paperid":null,"PeriodicalName":"Thoracic Cancer","FirstCategoryId":"3","ListUrlMain":"https://doi.org/10.1111/1759-7714.15384","RegionNum":3,"RegionCategory":"医学","ArticlePicture":[],"TitleCN":null,"AbstractTextCN":null,"PMCID":null,"EPubDate":"2025/4/17 0:00:00","PubModel":"Epub","JCR":"Q3","JCRName":"ONCOLOGY","Score":null,"Total":0}
引用次数: 0

Abstract

Purpose: Since mediastinal lymph node dissection and radiotherapy (RT) have potential unclear impacts on pulmonary lymphatic system, this study aimed to assess the effectiveness of immune checkpoint inhibitors (ICIs) in recurrent/metastatic non-small-cell lung cancer (NSCLC) patients who previously received radical surgery with or without thoracic RT.

Methods: Clinical data of patients who underwent pulmonary lobectomy with systematic lymphadenectomy (2000.1.1-2021.7.2) and received immunotherapy after progression were retrospectively analyzed. Efficacy was mainly evaluated based on progression-free survival (PFS) from the start of the ICIs. Toxicity was defined as treatment discontinuation due to immune-related adverse effects (irAEs).

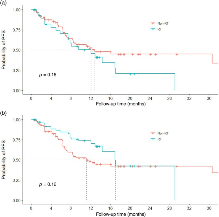
Results: Ninety-five patients were enrolled in the final cohort and 30 (31.6%) patients received thoracic RT before ICI treatment. ICIs were administered as a first-line systematic treatment in 52.6% of patients. The median follow-up time was 14.7 months (95% confidence interval [CI] 13.3-18.7 months). The median PFS was 12.3 months (95% CI 8.5-36.6 months). Six (6.3%) patients had treatment suspended due to irAEs. Patients who received RT had comparable median PFS with the non-RT group (17.0 months vs. 11.1 months, p = 0.16). Similar toxicity rates were observed. Similar mPFS were reported in the stage III subgroup (RT vs. non-RT, 8.10 vs. 8.45 months, p = 0.86) or the subgroup treated by ICIs as primary systematic therapy (RT vs. non-RT, 13.6 vs. 16.1 months, p = 0.45).

Conclusions: ICIs remained effective in recurrent/metastatic NSCLC patients with radical surgery and RT did not significantly compromise therapeutic effects.

Abstract Image

Abstract Image

Abstract Image

一项双中心回顾性研究显示,复发/转移性非小细胞肺癌患者在术后接受或不接受胸部放疗后,免疫治疗的疗效仍然存在。
目的:由于纵隔淋巴结清扫和放疗(RT)对肺淋巴系统有潜在的不明确的影响,本研究旨在评估免疫检查点抑制剂(ICIs)在复发/转移性非小细胞肺癌(NSCLC)患者中既往接受根治性手术伴或不伴胸部RT的有效性。回顾性分析2000.1.1-2021.7.2行肺肺叶切除术合并系统性淋巴结切除术并进展后接受免疫治疗的患者的临床资料。疗效主要基于ici开始时的无进展生存期(PFS)进行评估。毒性被定义为由于免疫相关不良反应(irAEs)而停止治疗。结果:95例患者被纳入最终队列,30例(31.6%)患者在ICI治疗前接受了胸部RT。52.6%的患者将ICIs作为一线系统治疗。中位随访时间为14.7个月(95%可信区间[CI] 13.3 ~ 18.7个月)。中位PFS为12.3个月(95% CI 8.5-36.6个月)。6例(6.3%)患者因irae而暂停治疗。接受放疗的患者的中位PFS与非放疗组相当(17.0个月vs 11.1个月,p = 0.16)。观察到相似的毒性率。在III期亚组(放疗vs非放疗,8.10个月vs 8.45个月,p = 0.86)或将ICIs作为主要系统治疗的亚组(放疗vs非放疗,13.6个月vs 16.1个月,p = 0.45)中报告了类似的mPFS。结论:ICIs在接受根治性手术的复发/转移性NSCLC患者中仍然有效,而RT并没有显著影响治疗效果。
本文章由计算机程序翻译,如有差异,请以英文原文为准。
求助全文
约1分钟内获得全文 求助全文
来源期刊
Thoracic Cancer
Thoracic Cancer ONCOLOGY-RESPIRATORY SYSTEM
CiteScore
5.20
自引率
3.40%
发文量
439
审稿时长
2 months
期刊介绍: Thoracic Cancer aims to facilitate international collaboration and exchange of comprehensive and cutting-edge information on basic, translational, and applied clinical research in lung cancer, esophageal cancer, mediastinal cancer, breast cancer and other thoracic malignancies. Prevention, treatment and research relevant to Asia-Pacific is a focus area, but submissions from all regions are welcomed. The editors encourage contributions relevant to prevention, general thoracic surgery, medical oncology, radiology, radiation medicine, pathology, basic cancer research, as well as epidemiological and translational studies in thoracic cancer. Thoracic Cancer is the official publication of the Chinese Society of Lung Cancer, International Chinese Society of Thoracic Surgery and is endorsed by the Korean Association for the Study of Lung Cancer and the Hong Kong Cancer Therapy Society. The Journal publishes a range of article types including: Editorials, Invited Reviews, Mini Reviews, Original Articles, Clinical Guidelines, Technological Notes, Imaging in thoracic cancer, Meeting Reports, Case Reports, Letters to the Editor, Commentaries, and Brief Reports.
×
引用
GB/T 7714-2015
复制
MLA
复制
APA
复制
导出至
BibTeX EndNote RefMan NoteFirst NoteExpress
×
提示
您的信息不完整,为了账户安全,请先补充。
现在去补充
×
提示
您因"违规操作"
具体请查看互助需知
我知道了
×
提示
确定
请完成安全验证×
copy
已复制链接
快去分享给好友吧!
我知道了
右上角分享
点击右上角分享
0
联系我们:info@booksci.cn Book学术提供免费学术资源搜索服务,方便国内外学者检索中英文文献。致力于提供最便捷和优质的服务体验。 Copyright © 2023 布克学术 All rights reserved.
京ICP备2023020795号-1
ghs 京公网安备 11010802042870号
Book学术文献互助
Book学术文献互助群
群 号:604180095
Book学术官方微信