Healthcare environments in pulmonary rehabilitation units: Effective -infection control through integration of long-term antimicrobial materials.

IF 1.6 Q3 RESPIRATORY SYSTEM
Ke-Yun Chao, Chao-Yu Chen, Wei-Lun Liu, Jyun-Sain Wu, Yu-Tzu Huang
{"title":"Healthcare environments in pulmonary rehabilitation units: Effective -infection control through integration of long-term antimicrobial materials.","authors":"Ke-Yun Chao, Chao-Yu Chen, Wei-Lun Liu, Jyun-Sain Wu, Yu-Tzu Huang","doi":"10.5826/mrm.2025.1018","DOIUrl":null,"url":null,"abstract":"<p><strong>Background: </strong>Chronic obstructive pulmonary disease is a leading cause of morbidity and mortality worldwide. Effective infection control in pulmonary rehabilitation units is essential but remains insufficiently studied. This study investigated bacterial contamination, the distribution of species, and the effectiveness of antimicrobial strategies in a pulmonary rehabilitation center.</p><p><strong>Methods: </strong>Surface swab sampling and ZnO-based antimicrobial strategies were employed to assess bacterial contamination in a pulmonary rehabilitation center. The swab samples were cultured, and species were identified.</p><p><strong>Results: </strong>Bacterial contamination on six key sampling surfaces was initially high (over 500 CFUs/100 cm2) but was significantly reduced after the application of ZnO tape to these surfaces. The antibacterial rates exceeded 80% after one week of using ZnO tape and nanoparticle suspension; however, on some surfaces, the effectiveness declined even after three weeks. These findings suggest that antibacterial protection should be renewed weekly to maintain its efficacy.</p><p><strong>Conclusions: </strong>The application of ZnO tape and nanoparticle solution effectively reduced bacterial contamination in a pulmonary rehabilitation center, underscoring the need for regular disinfection and innovative infection control strategies.</p>","PeriodicalId":51135,"journal":{"name":"Multidisciplinary Respiratory Medicine","volume":"20 ","pages":""},"PeriodicalIF":1.6000,"publicationDate":"2025-04-15","publicationTypes":"Journal Article","fieldsOfStudy":null,"isOpenAccess":false,"openAccessPdf":"https://www.ncbi.nlm.nih.gov/pmc/articles/PMC12047847/pdf/","citationCount":"0","resultStr":null,"platform":"Semanticscholar","paperid":null,"PeriodicalName":"Multidisciplinary Respiratory Medicine","FirstCategoryId":"1085","ListUrlMain":"https://doi.org/10.5826/mrm.2025.1018","RegionNum":0,"RegionCategory":null,"ArticlePicture":[],"TitleCN":null,"AbstractTextCN":null,"PMCID":null,"EPubDate":"","PubModel":"","JCR":"Q3","JCRName":"RESPIRATORY SYSTEM","Score":null,"Total":0}
引用次数: 0

Abstract

Background: Chronic obstructive pulmonary disease is a leading cause of morbidity and mortality worldwide. Effective infection control in pulmonary rehabilitation units is essential but remains insufficiently studied. This study investigated bacterial contamination, the distribution of species, and the effectiveness of antimicrobial strategies in a pulmonary rehabilitation center.

Methods: Surface swab sampling and ZnO-based antimicrobial strategies were employed to assess bacterial contamination in a pulmonary rehabilitation center. The swab samples were cultured, and species were identified.

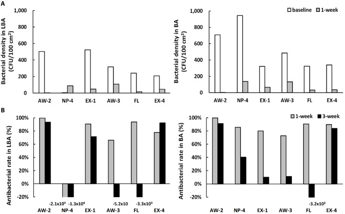
Results: Bacterial contamination on six key sampling surfaces was initially high (over 500 CFUs/100 cm2) but was significantly reduced after the application of ZnO tape to these surfaces. The antibacterial rates exceeded 80% after one week of using ZnO tape and nanoparticle suspension; however, on some surfaces, the effectiveness declined even after three weeks. These findings suggest that antibacterial protection should be renewed weekly to maintain its efficacy.

Conclusions: The application of ZnO tape and nanoparticle solution effectively reduced bacterial contamination in a pulmonary rehabilitation center, underscoring the need for regular disinfection and innovative infection control strategies.

Abstract Image

Abstract Image

Abstract Image

肺部康复病房的医疗环境:通过长期抗菌材料的整合有效控制感染。
背景:慢性阻塞性肺疾病是世界范围内发病率和死亡率的主要原因。肺康复单位有效的感染控制是必要的,但研究还不够充分。本研究调查了一家肺部康复中心的细菌污染、菌种分布和抗菌策略的有效性。方法:采用表面拭子取样和zno为基础的抗菌策略评估肺部康复中心的细菌污染。对拭子样本进行培养,鉴定菌种。结果:六个关键采样表面的细菌污染最初很高(超过500 cfu /100 cm2),但在将ZnO胶带应用于这些表面后显着减少。纳米颗粒悬浮液与ZnO胶带混合使用一周后,抗菌率超过80%;然而,在某些表面上,即使在三周后,效果也会下降。这些发现表明,抗菌保护应每周更新以保持其功效。结论:ZnO胶带和纳米颗粒溶液的应用有效减少了肺部康复中心的细菌污染,强调了定期消毒和创新感染控制策略的必要性。
本文章由计算机程序翻译,如有差异,请以英文原文为准。
求助全文
约1分钟内获得全文 求助全文
来源期刊
CiteScore
4.40
自引率
0.00%
发文量
23
审稿时长
>12 weeks
期刊介绍: Multidisciplinary Respiratory Medicine is the official journal of the Italian Respiratory Society - Società Italiana di Pneumologia (IRS/SIP). The journal publishes on all aspects of respiratory medicine and related fields, with a particular focus on interdisciplinary and translational research. The interdisciplinary nature of the journal provides a unique opportunity for researchers, clinicians and healthcare professionals across specialties to collaborate and exchange information. The journal provides a high visibility platform for the publication and dissemination of top quality original scientific articles, reviews and important position papers documenting clinical and experimental advances.
×
引用
GB/T 7714-2015
复制
MLA
复制
APA
复制
导出至
BibTeX EndNote RefMan NoteFirst NoteExpress
×
提示
您的信息不完整,为了账户安全,请先补充。
现在去补充
×
提示
您因"违规操作"
具体请查看互助需知
我知道了
×
提示
确定
请完成安全验证×
copy
已复制链接
快去分享给好友吧!
我知道了
右上角分享
点击右上角分享
0
联系我们:info@booksci.cn Book学术提供免费学术资源搜索服务,方便国内外学者检索中英文文献。致力于提供最便捷和优质的服务体验。 Copyright © 2023 布克学术 All rights reserved.
京ICP备2023020795号-1
ghs 京公网安备 11010802042870号
Book学术文献互助
Book学术文献互助群
群 号:604180095
Book学术官方微信