Biologically active withanolides from Physalis peruviana.

IF 4.8 3区 医学 Q1 MEDICAL LABORATORY TECHNOLOGY
Pharmaceutical Biology Pub Date : 2025-12-01 Epub Date: 2025-04-26 DOI:10.1080/13880209.2025.2488136
Mayuramas Sang-Ngern, Ashley Fukuchi, Tamara P Kondratyuk, Eun-Jung Park, Charles J Simmons, Marisa M Wall, Sam E Lorch, John M Pezzuto, Leng Chee Chang
{"title":"Biologically active withanolides from <i>Physalis peruviana</i>.","authors":"Mayuramas Sang-Ngern, Ashley Fukuchi, Tamara P Kondratyuk, Eun-Jung Park, Charles J Simmons, Marisa M Wall, Sam E Lorch, John M Pezzuto, Leng Chee Chang","doi":"10.1080/13880209.2025.2488136","DOIUrl":null,"url":null,"abstract":"<p><strong>Context: </strong><i>Physalis peruviana</i> L. (Solanaceae), also known as Poha, has been used in traditional medicine since pre-Columbian times, particularly in treating cancer.</p><p><strong>Objective: </strong>To study the chemical composition and potential medicinal properties of Poha.</p><p><strong>Materials and methods: </strong>The fresh fruits and aerial parts of Poha were extracted. The isolation of extract yields a novel withanolide (physaperuvin K; <b>1</b>) from the edible fruit, and seven withanolides (<b>2</b>-<b>8</b>), including a rare chlorinated withanolide (physalolactone; <b>2</b>) from the aerial parts. Structure elucidation/determination was performed, some acetate derivatives were prepared (<b>2a</b>-<b>6a</b>), and the compounds were evaluated with <i>in vitro</i> assays indicative of anti-inflammatory activity.</p><p><strong>Results: </strong>The structure of <b>1</b> was elucidated through NMR spectroscopic analyses. The absolute configuration of compound <b>2</b> was determined using single-crystal X-ray diffraction. Compounds <b>1</b>, <b>2</b>, and <b>3</b> exhibited inhibition of tumor necrosis factor-α-induced nuclear factor-kappa B (NF-κB) activity with IC<sub>50</sub> values of 10, 60, and 40 nM, respectively, without causing cytotoxicity at a concentration of 50 μM. Furthermore, compounds <b>1</b>-<b>3</b> reduced nitric oxide (NO) production in lipopolysaccharide-activated RAW 264.7 mouse macrophage cells with IC<sub>50</sub> values ranging from 0.32 to 13.3 μM without overt cytotoxicity. Overall, acetylation did not significantly impact activity, except for compound <b>4</b>, wherein the IC<sub>50</sub> values in the NF-κB and NO assays were reduced from 11.0 to 0.33 μM, and 1.8 to 0.24 μM, respectively.</p><p><strong>Conclusions: </strong>These findings enhance our understanding of Poha's constituents and potential medicinal properties. One of the most bioactive compounds identified in this study, physaperuvin K, is found in edible fruit.</p>","PeriodicalId":19942,"journal":{"name":"Pharmaceutical Biology","volume":"63 1","pages":"334-343"},"PeriodicalIF":4.8000,"publicationDate":"2025-12-01","publicationTypes":"Journal Article","fieldsOfStudy":null,"isOpenAccess":false,"openAccessPdf":"https://www.ncbi.nlm.nih.gov/pmc/articles/PMC12035931/pdf/","citationCount":"0","resultStr":null,"platform":"Semanticscholar","paperid":null,"PeriodicalName":"Pharmaceutical Biology","FirstCategoryId":"3","ListUrlMain":"https://doi.org/10.1080/13880209.2025.2488136","RegionNum":3,"RegionCategory":"医学","ArticlePicture":[],"TitleCN":null,"AbstractTextCN":null,"PMCID":null,"EPubDate":"2025/4/26 0:00:00","PubModel":"Epub","JCR":"Q1","JCRName":"MEDICAL LABORATORY TECHNOLOGY","Score":null,"Total":0}
引用次数: 0

Abstract

Context: Physalis peruviana L. (Solanaceae), also known as Poha, has been used in traditional medicine since pre-Columbian times, particularly in treating cancer.

Objective: To study the chemical composition and potential medicinal properties of Poha.

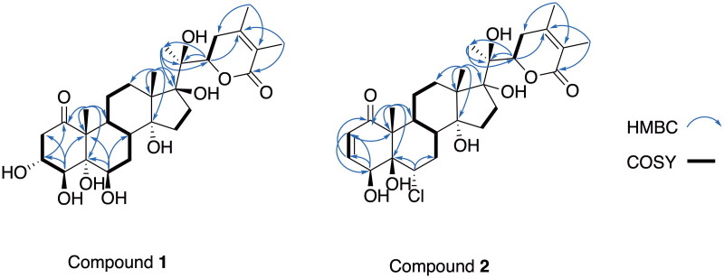
Materials and methods: The fresh fruits and aerial parts of Poha were extracted. The isolation of extract yields a novel withanolide (physaperuvin K; 1) from the edible fruit, and seven withanolides (2-8), including a rare chlorinated withanolide (physalolactone; 2) from the aerial parts. Structure elucidation/determination was performed, some acetate derivatives were prepared (2a-6a), and the compounds were evaluated with in vitro assays indicative of anti-inflammatory activity.

Results: The structure of 1 was elucidated through NMR spectroscopic analyses. The absolute configuration of compound 2 was determined using single-crystal X-ray diffraction. Compounds 1, 2, and 3 exhibited inhibition of tumor necrosis factor-α-induced nuclear factor-kappa B (NF-κB) activity with IC50 values of 10, 60, and 40 nM, respectively, without causing cytotoxicity at a concentration of 50 μM. Furthermore, compounds 1-3 reduced nitric oxide (NO) production in lipopolysaccharide-activated RAW 264.7 mouse macrophage cells with IC50 values ranging from 0.32 to 13.3 μM without overt cytotoxicity. Overall, acetylation did not significantly impact activity, except for compound 4, wherein the IC50 values in the NF-κB and NO assays were reduced from 11.0 to 0.33 μM, and 1.8 to 0.24 μM, respectively.

Conclusions: These findings enhance our understanding of Poha's constituents and potential medicinal properties. One of the most bioactive compounds identified in this study, physaperuvin K, is found in edible fruit.

Abstract Image

Abstract Image

Abstract Image

从紫Physalis peruviana中提取具有生物活性的withanolides。
背景:Physalis peruviana L. (Solanaceae),也被称为Poha,自前哥伦布时代以来一直用于传统医学,特别是治疗癌症。目的:研究茯苓的化学成分及潜在药用价值。材料与方法:提取茯苓鲜果和地上部分。提取物的分离得到一种新型的金菊内酯(physaperuvin K;1)从可食用的果实中提取,和7种withanolides(2-8),包括一种罕见的氯化withanolide (physalolactone;2)从架空部分。进行了结构解析/测定,制备了一些乙酸衍生物(2a-6a),并通过体外抗炎活性测定对化合物进行了评价。结果:通过核磁共振光谱分析,对1的结构进行了鉴定。用单晶x射线衍射测定了化合物2的绝对构型。化合物1、2、3对肿瘤坏死因子-α-诱导的核因子κB (NF-κB)活性有抑制作用,IC50值分别为10、60、40 nM,浓度为50 μM时不产生细胞毒性。此外,化合物1-3在脂多糖激活的RAW 264.7小鼠巨噬细胞中减少一氧化氮(NO)的产生,IC50值在0.32至13.3 μM之间,没有明显的细胞毒性。总的来说,乙酰化对活性没有显著影响,除了化合物4,其在NF-κB和NO实验中的IC50值分别从11.0降低到0.33 μM和1.8降低到0.24 μM。结论:这些发现增强了我们对茯苓成分和潜在药用价值的认识。在这项研究中发现的最具生物活性的化合物之一,physaperuvin K,是在可食用水果中发现的。
本文章由计算机程序翻译,如有差异,请以英文原文为准。
求助全文
约1分钟内获得全文 求助全文
来源期刊
Pharmaceutical Biology
Pharmaceutical Biology 医学-药学
CiteScore
6.70
自引率
2.60%
发文量
191
审稿时长
1 months
期刊介绍: Pharmaceutical Biology will publish manuscripts describing the discovery, methods for discovery, description, analysis characterization, and production/isolation (including sources and surveys) of biologically-active chemicals or other substances, drugs, pharmaceutical products, or preparations utilized in systems of traditional medicine. Topics may generally encompass any facet of natural product research related to pharmaceutical biology. Papers dealing with agents or topics related to natural product drugs are also appropriate (e.g., semi-synthetic derivatives). Manuscripts will be published as reviews, perspectives, regular research articles, and short communications. The primary criteria for acceptance and publication are scientific rigor and potential to advance the field.
×
引用
GB/T 7714-2015
复制
MLA
复制
APA
复制
导出至
BibTeX EndNote RefMan NoteFirst NoteExpress
×
提示
您的信息不完整,为了账户安全,请先补充。
现在去补充
×
提示
您因"违规操作"
具体请查看互助需知
我知道了
×
提示
确定
请完成安全验证×
copy
已复制链接
快去分享给好友吧!
我知道了
右上角分享
点击右上角分享
0
联系我们:info@booksci.cn Book学术提供免费学术资源搜索服务,方便国内外学者检索中英文文献。致力于提供最便捷和优质的服务体验。 Copyright © 2023 布克学术 All rights reserved.
京ICP备2023020795号-1
ghs 京公网安备 11010802042870号
Book学术文献互助
Book学术文献互助群
群 号:604180095
Book学术官方微信