Constructing a Predictive Model to Evaluate the Risk of CHD Based on New Metabolic Indicators.

IF 2.8 Q2 PERIPHERAL VASCULAR DISEASE
Vascular Health and Risk Management Pub Date : 2025-05-08 eCollection Date: 2025-01-01 DOI:10.2147/VHRM.S521822
Wenqiang Wang, Zonghan Du, Peng Xie
{"title":"Constructing a Predictive Model to Evaluate the Risk of CHD Based on New Metabolic Indicators.","authors":"Wenqiang Wang, Zonghan Du, Peng Xie","doi":"10.2147/VHRM.S521822","DOIUrl":null,"url":null,"abstract":"<p><strong>Objective: </strong>Constructing a predictive model to evaluate the risk of coronary heart disease (CHD) for early identification of patients with CHD risk based on new metabolic indicators.</p><p><strong>Methods: </strong>A retrospective analysis was conducted based on NHANES databases. Collect general information, cardiovascular comorbidities, new metabolic indicators (BMI, Triglycerides/Glucose, Waist Circumference-to-Height ratio, Cholesterol/HDL, Triglycerides/HDL, Cardiometabolic index, Neutrophil percentage-to-albumin ratio, etc). The least absolute shrinkage and selection operator (LASSO) regression model and multivariate logistic regression were performed to analyze the risk factors of CHD and develop a CHD risk predictive model using R software.</p><p><strong>Results: </strong>A total of 3741 individuals were included and 160 (4.3%) individuals had CHD. According to the results of the LASSO regression model and multivariate logistic regression, 9 factors were related to CHD such as Hypertension (Yes), Cardiometabolic index (≥0.672), Mean arterial pressure (<70 mmHg), Gender (male), COPD (Yes), Age (>69), Neutrophil percentage-to-albumin ratio (≥1.465), Thyroid problem (Yes) and Stroke (Yes), which were developed a CHD risk prediction nomogram. The nomogram presented good discrimination with a C-index value of 0.869 (95% confidence interval: 0.82196-0.91604), AUC (0.868) and good calibration. Based on the maximum point of the Youden index, the individuals with a score greater than 136.5 are at high risk for CHD.</p><p><strong>Conclusion: </strong>A risk prediction model for CHD has been developed based on new metabolic indicators in this study and boasts a relatively high accuracy in the early identification of patients with CHD risk. It may help clinicians develop strategies to prevent CHD and improve care quality.</p>","PeriodicalId":23597,"journal":{"name":"Vascular Health and Risk Management","volume":"21 ","pages":"371-382"},"PeriodicalIF":2.8000,"publicationDate":"2025-05-08","publicationTypes":"Journal Article","fieldsOfStudy":null,"isOpenAccess":false,"openAccessPdf":"https://www.ncbi.nlm.nih.gov/pmc/articles/PMC12068402/pdf/","citationCount":"0","resultStr":null,"platform":"Semanticscholar","paperid":null,"PeriodicalName":"Vascular Health and Risk Management","FirstCategoryId":"1085","ListUrlMain":"https://doi.org/10.2147/VHRM.S521822","RegionNum":0,"RegionCategory":null,"ArticlePicture":[],"TitleCN":null,"AbstractTextCN":null,"PMCID":null,"EPubDate":"2025/1/1 0:00:00","PubModel":"eCollection","JCR":"Q2","JCRName":"PERIPHERAL VASCULAR DISEASE","Score":null,"Total":0}
引用次数: 0

Abstract

Objective: Constructing a predictive model to evaluate the risk of coronary heart disease (CHD) for early identification of patients with CHD risk based on new metabolic indicators.

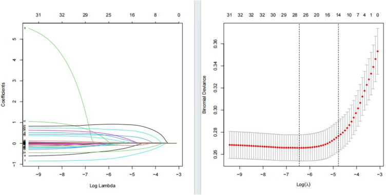
Methods: A retrospective analysis was conducted based on NHANES databases. Collect general information, cardiovascular comorbidities, new metabolic indicators (BMI, Triglycerides/Glucose, Waist Circumference-to-Height ratio, Cholesterol/HDL, Triglycerides/HDL, Cardiometabolic index, Neutrophil percentage-to-albumin ratio, etc). The least absolute shrinkage and selection operator (LASSO) regression model and multivariate logistic regression were performed to analyze the risk factors of CHD and develop a CHD risk predictive model using R software.

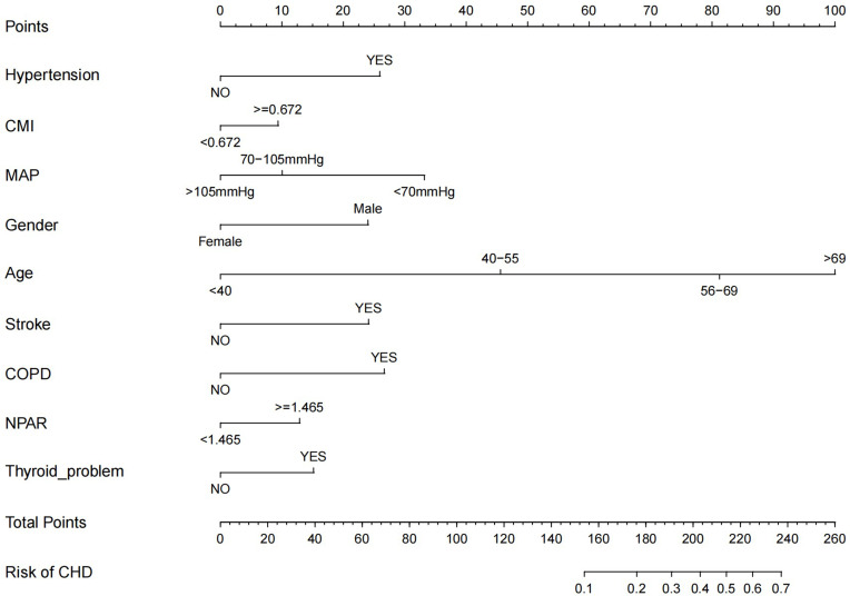
Results: A total of 3741 individuals were included and 160 (4.3%) individuals had CHD. According to the results of the LASSO regression model and multivariate logistic regression, 9 factors were related to CHD such as Hypertension (Yes), Cardiometabolic index (≥0.672), Mean arterial pressure (<70 mmHg), Gender (male), COPD (Yes), Age (>69), Neutrophil percentage-to-albumin ratio (≥1.465), Thyroid problem (Yes) and Stroke (Yes), which were developed a CHD risk prediction nomogram. The nomogram presented good discrimination with a C-index value of 0.869 (95% confidence interval: 0.82196-0.91604), AUC (0.868) and good calibration. Based on the maximum point of the Youden index, the individuals with a score greater than 136.5 are at high risk for CHD.

Conclusion: A risk prediction model for CHD has been developed based on new metabolic indicators in this study and boasts a relatively high accuracy in the early identification of patients with CHD risk. It may help clinicians develop strategies to prevent CHD and improve care quality.

Abstract Image

Abstract Image

Abstract Image

基于新代谢指标的冠心病风险预测模型构建
目的:建立基于代谢新指标的冠心病风险评估预测模型,以便早期识别冠心病风险患者。方法:基于NHANES数据库进行回顾性分析。收集一般信息、心血管合并症、新的代谢指标(BMI、甘油三酯/葡萄糖、腰围与身高比、胆固醇/HDL、甘油三酯/HDL、心脏代谢指数、中性粒细胞百分比与白蛋白比等)。采用最小绝对收缩和选择算子(LASSO)回归模型和多元logistic回归分析冠心病危险因素,并利用R软件建立冠心病风险预测模型。结果:共纳入3741例,冠心病患者160例(4.3%)。根据LASSO回归模型和多因素logistic回归结果,高血压(Yes)、心脏代谢指数(≥0.672)、平均动脉压(69)、中性粒细胞百分比-白蛋白比(≥1.465)、甲状腺问题(Yes)、脑卒中(Yes)等9个因素与冠心病相关,形成冠心病风险预测nomogram。c -指数值为0.869(95%置信区间为0.82196 ~ 0.91604),AUC为0.868,判别性好。以约登指数最大值计算,得分大于136.5的个体为冠心病高危人群。结论:本研究建立了基于新的代谢指标的冠心病风险预测模型,在早期识别冠心病风险患者方面具有较高的准确性。它可以帮助临床医生制定预防冠心病和提高护理质量的策略。
本文章由计算机程序翻译,如有差异,请以英文原文为准。
求助全文
约1分钟内获得全文 求助全文
来源期刊
Vascular Health and Risk Management
Vascular Health and Risk Management PERIPHERAL VASCULAR DISEASE-
CiteScore
4.20
自引率
3.40%
发文量
109
审稿时长
16 weeks
期刊介绍: An international, peer-reviewed journal of therapeutics and risk management, focusing on concise rapid reporting of clinical studies on the processes involved in the maintenance of vascular health; the monitoring, prevention, and treatment of vascular disease and its sequelae; and the involvement of metabolic disorders, particularly diabetes. In addition, the journal will also seek to define drug usage in terms of ultimate uptake and acceptance by the patient and healthcare professional.
×
引用
GB/T 7714-2015
复制
MLA
复制
APA
复制
导出至
BibTeX EndNote RefMan NoteFirst NoteExpress
×
提示
您的信息不完整,为了账户安全,请先补充。
现在去补充
×
提示
您因"违规操作"
具体请查看互助需知
我知道了
×
提示
确定
请完成安全验证×
copy
已复制链接
快去分享给好友吧!
我知道了
右上角分享
点击右上角分享
0
联系我们:info@booksci.cn Book学术提供免费学术资源搜索服务,方便国内外学者检索中英文文献。致力于提供最便捷和优质的服务体验。 Copyright © 2023 布克学术 All rights reserved.
京ICP备2023020795号-1
ghs 京公网安备 11010802042870号
Book学术文献互助
Book学术文献互助群
群 号:604180095
Book学术官方微信