Dialectical behavior therapy in autistic adults: effects on ecological subjective and physiological measures of emotion dysregulation.

IF 2.7 2区 医学 Q1 PSYCHIATRY
Mădălina Elena Costache, Federica Gioia, Nicola Vanello, Alberto Greco, Antonio Capobianco, Sébastien Weibel, Luisa Weiner
{"title":"Dialectical behavior therapy in autistic adults: effects on ecological subjective and physiological measures of emotion dysregulation.","authors":"Mădălina Elena Costache, Federica Gioia, Nicola Vanello, Alberto Greco, Antonio Capobianco, Sébastien Weibel, Luisa Weiner","doi":"10.1186/s40479-025-00288-1","DOIUrl":null,"url":null,"abstract":"<p><strong>Background: </strong>Although Ecological Momentary Assessment (EMA) and physiological measurements provide a valuable opportunity to evaluate therapeutic interventions in real time, no study has used this approach to assess Dialectical Behavior Therapy (DBT) in autistic adults with high levels of emotion dysregulation (ED).</p><p><strong>Methods: </strong>In this study, 26 autistic adults were evaluated before and after participating in a standard 5-month DBT program, using Ecological Momentary Assessment (EMA). The EMA included: (1) twelve evaluations per day over a 7-day period, measuring alexithymia, emotional states, subjective arousal and emotion control; (2) continuous physiological monitoring with a wristband to record heart-rate (HR), heart-rate variability (HRV) and skin conductance levels (SCL).</p><p><strong>Results: </strong>Following DBT, no significant differences were found with respect to negative emotions and higher conflicting emotions, but increased rates of identified emotions, positive emotions and emotion control were found. Baseline autonomic responses remained unchanged, whereas subjective arousal was found to correlate positively with HRV. Overall, these results suggest that participants showed enhanced emotion awareness and emotion regulation capabilities following DBT.</p><p><strong>Conclusion: </strong>Our study adds to previous research showing that DBT is efficient in treating ED in autistic adults, using real-time measurements of subjective and physiological markers collected through EMA. Specifically, alexithymia measures decreased post-DBT while positive emotions and emotion control increased. Randomized controlled trials should consider using these methods to improve the assessment of the impact of DBT in the daily life of autistic individuals with ED and/or suicidal behavior.</p>","PeriodicalId":48586,"journal":{"name":"Borderline Personality Disorder and Emotion Dysregulation","volume":"12 1","pages":"14"},"PeriodicalIF":2.7000,"publicationDate":"2025-04-23","publicationTypes":"Journal Article","fieldsOfStudy":null,"isOpenAccess":false,"openAccessPdf":"https://www.ncbi.nlm.nih.gov/pmc/articles/PMC12016385/pdf/","citationCount":"0","resultStr":null,"platform":"Semanticscholar","paperid":null,"PeriodicalName":"Borderline Personality Disorder and Emotion Dysregulation","FirstCategoryId":"3","ListUrlMain":"https://doi.org/10.1186/s40479-025-00288-1","RegionNum":2,"RegionCategory":"医学","ArticlePicture":[],"TitleCN":null,"AbstractTextCN":null,"PMCID":null,"EPubDate":"","PubModel":"","JCR":"Q1","JCRName":"PSYCHIATRY","Score":null,"Total":0}
引用次数: 0

Abstract

Background: Although Ecological Momentary Assessment (EMA) and physiological measurements provide a valuable opportunity to evaluate therapeutic interventions in real time, no study has used this approach to assess Dialectical Behavior Therapy (DBT) in autistic adults with high levels of emotion dysregulation (ED).

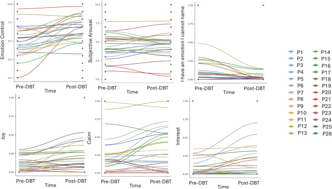
Methods: In this study, 26 autistic adults were evaluated before and after participating in a standard 5-month DBT program, using Ecological Momentary Assessment (EMA). The EMA included: (1) twelve evaluations per day over a 7-day period, measuring alexithymia, emotional states, subjective arousal and emotion control; (2) continuous physiological monitoring with a wristband to record heart-rate (HR), heart-rate variability (HRV) and skin conductance levels (SCL).

Results: Following DBT, no significant differences were found with respect to negative emotions and higher conflicting emotions, but increased rates of identified emotions, positive emotions and emotion control were found. Baseline autonomic responses remained unchanged, whereas subjective arousal was found to correlate positively with HRV. Overall, these results suggest that participants showed enhanced emotion awareness and emotion regulation capabilities following DBT.

Conclusion: Our study adds to previous research showing that DBT is efficient in treating ED in autistic adults, using real-time measurements of subjective and physiological markers collected through EMA. Specifically, alexithymia measures decreased post-DBT while positive emotions and emotion control increased. Randomized controlled trials should consider using these methods to improve the assessment of the impact of DBT in the daily life of autistic individuals with ED and/or suicidal behavior.

Abstract Image

自闭症成人的辩证行为治疗:对情绪失调生态、主观和生理测量的影响。
背景:虽然生态瞬间评估(EMA)和生理测量为实时评估治疗干预提供了宝贵的机会,但没有研究使用这种方法来评估患有高水平情绪失调(ED)的自闭症成人的辩证行为治疗(DBT)。方法:在本研究中,26名自闭症成人在参加标准的5个月DBT计划之前和之后,使用生态瞬间评估(EMA)进行评估。EMA包括:(1)在7天的时间内,每天进行12次评估,测量述情障碍、情绪状态、主观唤醒和情绪控制;(2)使用腕带进行连续生理监测,记录心率(HR)、心率变异性(HRV)和皮肤电导水平(SCL)。结果:经DBT治疗后,消极情绪和高冲突情绪无显著性差异,但识别情绪、积极情绪和情绪控制的比例有所增加。基线自主神经反应保持不变,而主观觉醒被发现与HRV呈正相关。总体而言,这些结果表明,DBT后参与者的情绪意识和情绪调节能力有所增强。结论:我们的研究增加了先前的研究,表明DBT在治疗自闭症成人ED方面是有效的,通过实时测量通过EMA收集的主观和生理标记。具体来说,dbt后述情障碍测量值下降,而积极情绪和情绪控制增加。随机对照试验应考虑使用这些方法来改进DBT对患有ED和/或有自杀行为的自闭症个体日常生活影响的评估。
本文章由计算机程序翻译,如有差异,请以英文原文为准。
求助全文
约1分钟内获得全文 求助全文
来源期刊
CiteScore
6.00
自引率
9.80%
发文量
30
审稿时长
28 weeks
期刊介绍: Borderline Personality Disorder and Emotion Dysregulation provides a platform for researchers and clinicians interested in borderline personality disorder (BPD) as a currently highly challenging psychiatric disorder. Emotion dysregulation is at the core of BPD but also stands on its own as a major pathological component of the underlying neurobiology of various other psychiatric disorders. The journal focuses on the psychological, social and neurobiological aspects of emotion dysregulation as well as epidemiology, phenomenology, pathophysiology, treatment, neurobiology, genetics, and animal models of BPD.
×
引用
GB/T 7714-2015
复制
MLA
复制
APA
复制
导出至
BibTeX EndNote RefMan NoteFirst NoteExpress
×
提示
您的信息不完整,为了账户安全,请先补充。
现在去补充
×
提示
您因"违规操作"
具体请查看互助需知
我知道了
×
提示
确定
请完成安全验证×
copy
已复制链接
快去分享给好友吧!
我知道了
右上角分享
点击右上角分享
0
联系我们:info@booksci.cn Book学术提供免费学术资源搜索服务,方便国内外学者检索中英文文献。致力于提供最便捷和优质的服务体验。 Copyright © 2023 布克学术 All rights reserved.
京ICP备2023020795号-1
ghs 京公网安备 11010802042870号
Book学术文献互助
Book学术文献互助群
群 号:604180095
Book学术官方微信