Impact of Aerobic Exercise on Oxygenation, Pulmonary Function, and Nasal Nitric Oxide in Primary Ciliary Dyskinesia.

Q3 Medicine
Open Respiratory Medicine Journal Pub Date : 2025-02-18 eCollection Date: 2025-01-01 DOI:10.2174/0118743064365386250212050147
Gabriel Gonzalez-Diaz, Zachary J Demetriou, Jose Muñiz-Hernandez, Marcos J Ramos-Benitez, Ricardo A Mosquera, Wilfredo De Jesús-Rojas
{"title":"Impact of Aerobic Exercise on Oxygenation, Pulmonary Function, and Nasal Nitric Oxide in Primary Ciliary Dyskinesia.","authors":"Gabriel Gonzalez-Diaz, Zachary J Demetriou, Jose Muñiz-Hernandez, Marcos J Ramos-Benitez, Ricardo A Mosquera, Wilfredo De Jesús-Rojas","doi":"10.2174/0118743064365386250212050147","DOIUrl":null,"url":null,"abstract":"<p><strong>Background: </strong>Primary Ciliary Dyskinesia (PCD) is a rare genetic disorder characterized by impaired mucociliary clearance, resulting in chronic respiratory complications. While exercise benefits respiratory health, its impacts on PCD remain understudied.</p><p><strong>Objective: </strong>The objective of this study was to assess how moderate aerobic exercise influences FEV1, SpO2, and nNO levels in PCD patients, with a focus on short-term post-exercise changes.</p><p><strong>Methods: </strong>This is a matched case-control pilot study involving 12 PCD patients homozygous for the RSPH4A (c.921+3_921+6del) mutation and 12 healthy controls (HC). Baseline FEV1, SpO2, and nNO levels were measured before participants underwent a six-minute exercise challenge test (ECT) on a stationary bicycle. Post-exercise measurements included FEV1 at 5, 10, 15, and 20 minutes, nNO after final spirometry, and SpO2 at 5 minutes.</p><p><strong>Results: </strong>The PCD group experienced a significant increase in SpO2 from 95.5% ± 2.1 to 97.7% ± 1.5 post-exercise (p < 0.05), while the HC group had stable SpO2 levels with a minor increase from 97.9% ± 1.5 to 98.9% ± 1.4 (p = 0.14). No significant changes in FEV1 or nNO levels were observed post-exercise in either group. One HC participant exhibited exercise-induced bronchoconstriction.</p><p><strong>Conclusion: </strong>Aerobic exercise improves oxygenation in PCD patients without adverse effects on pulmonary function or nNO levels. Further research is necessary due to the small sample size and genetic homogeneity to confirm these findings and evaluate long-term outcomes. Moreover, this pilot study highlights the safety and potential respiratory benefits of aerobic exercise in PCD patients, supporting further investigation into its role in clinical management.</p>","PeriodicalId":39127,"journal":{"name":"Open Respiratory Medicine Journal","volume":"19 ","pages":"e18743064365386"},"PeriodicalIF":0.0000,"publicationDate":"2025-02-18","publicationTypes":"Journal Article","fieldsOfStudy":null,"isOpenAccess":false,"openAccessPdf":"https://www.ncbi.nlm.nih.gov/pmc/articles/PMC12046229/pdf/","citationCount":"0","resultStr":null,"platform":"Semanticscholar","paperid":null,"PeriodicalName":"Open Respiratory Medicine Journal","FirstCategoryId":"1085","ListUrlMain":"https://doi.org/10.2174/0118743064365386250212050147","RegionNum":0,"RegionCategory":null,"ArticlePicture":[],"TitleCN":null,"AbstractTextCN":null,"PMCID":null,"EPubDate":"2025/1/1 0:00:00","PubModel":"eCollection","JCR":"Q3","JCRName":"Medicine","Score":null,"Total":0}
引用次数: 0

Abstract

Background: Primary Ciliary Dyskinesia (PCD) is a rare genetic disorder characterized by impaired mucociliary clearance, resulting in chronic respiratory complications. While exercise benefits respiratory health, its impacts on PCD remain understudied.

Objective: The objective of this study was to assess how moderate aerobic exercise influences FEV1, SpO2, and nNO levels in PCD patients, with a focus on short-term post-exercise changes.

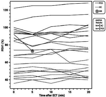
Methods: This is a matched case-control pilot study involving 12 PCD patients homozygous for the RSPH4A (c.921+3_921+6del) mutation and 12 healthy controls (HC). Baseline FEV1, SpO2, and nNO levels were measured before participants underwent a six-minute exercise challenge test (ECT) on a stationary bicycle. Post-exercise measurements included FEV1 at 5, 10, 15, and 20 minutes, nNO after final spirometry, and SpO2 at 5 minutes.

Results: The PCD group experienced a significant increase in SpO2 from 95.5% ± 2.1 to 97.7% ± 1.5 post-exercise (p < 0.05), while the HC group had stable SpO2 levels with a minor increase from 97.9% ± 1.5 to 98.9% ± 1.4 (p = 0.14). No significant changes in FEV1 or nNO levels were observed post-exercise in either group. One HC participant exhibited exercise-induced bronchoconstriction.

Conclusion: Aerobic exercise improves oxygenation in PCD patients without adverse effects on pulmonary function or nNO levels. Further research is necessary due to the small sample size and genetic homogeneity to confirm these findings and evaluate long-term outcomes. Moreover, this pilot study highlights the safety and potential respiratory benefits of aerobic exercise in PCD patients, supporting further investigation into its role in clinical management.

Abstract Image

Abstract Image

Abstract Image

有氧运动对原发性纤毛运动障碍患者氧合、肺功能和鼻一氧化氮的影响。
背景:原发性纤毛运动障碍(PCD)是一种罕见的遗传性疾病,其特征是纤毛黏液清除受损,导致慢性呼吸道并发症。虽然运动有益于呼吸系统健康,但其对PCD的影响仍未得到充分研究。目的:本研究的目的是评估适度有氧运动如何影响PCD患者的FEV1、SpO2和nNO水平,重点关注运动后的短期变化。方法:这是一项匹配病例对照先导研究,涉及12例RSPH4A (c.921+3_921+6del)突变纯合子的PCD患者和12名健康对照(HC)。在参与者在固定自行车上进行6分钟运动挑战测试(ECT)之前,测量了基线FEV1、SpO2和nNO水平。运动后测量包括5、10、15和20分钟的FEV1,末次肺活量测定后的nNO和5分钟时的SpO2。结果:PCD组运动后SpO2由95.5%±2.1上升至97.7%±1.5,差异有统计学意义(p < 0.05); HC组运动后SpO2由97.9%±1.5上升至98.9%±1.4,差异有统计学意义(p = 0.14)。两组运动后FEV1和nNO水平均无明显变化。一名HC参与者表现出运动引起的支气管收缩。结论:有氧运动可改善PCD患者的氧合,对肺功能和一氧化氮水平无不良影响。由于样本量小和基因同质性,需要进一步的研究来证实这些发现并评估长期结果。此外,这项初步研究强调了有氧运动对PCD患者的安全性和潜在的呼吸益处,支持进一步研究其在临床管理中的作用。
本文章由计算机程序翻译,如有差异,请以英文原文为准。
求助全文
约1分钟内获得全文 求助全文
来源期刊
Open Respiratory Medicine Journal
Open Respiratory Medicine Journal Medicine-Pulmonary and Respiratory Medicine
CiteScore
1.70
自引率
0.00%
发文量
17
期刊介绍: The Open Respiratory Medicine Journal is an Open Access online journal, which publishes research articles, reviews/mini-reviews, letters and guest edited single topic issues in all important areas of experimental and clinical research in respiratory medicine. Topics covered include: -COPD- Occupational disorders, and the role of allergens and pollutants- Asthma- Allergy- Non-invasive ventilation- Therapeutic intervention- Lung cancer- Lung infections respiratory diseases- Therapeutic interventions- Adult and paediatric medicine- Cell biology. The Open Respiratory Medicine Journal, a peer reviewed journal, is an important and reliable source of current information on important recent developments in the field. The emphasis will be on publishing quality articles rapidly and making them freely available worldwide.
×
引用
GB/T 7714-2015
复制
MLA
复制
APA
复制
导出至
BibTeX EndNote RefMan NoteFirst NoteExpress
×
提示
您的信息不完整,为了账户安全,请先补充。
现在去补充
×
提示
您因"违规操作"
具体请查看互助需知
我知道了
×
提示
确定
请完成安全验证×
copy
已复制链接
快去分享给好友吧!
我知道了
右上角分享
点击右上角分享
0
联系我们:info@booksci.cn Book学术提供免费学术资源搜索服务,方便国内外学者检索中英文文献。致力于提供最便捷和优质的服务体验。 Copyright © 2023 布克学术 All rights reserved.
京ICP备2023020795号-1
ghs 京公网安备 11010802042870号
Book学术文献互助
Book学术文献互助群
群 号:604180095
Book学术官方微信