Is there an optimal time to administer postoperative stereotactic radiosurgery in patients with brain metastases? A systematic review of the literature and meta-analysis.

IF 2.1 Q4 Medicine
Precision Radiation Oncology Pub Date : 2023-12-03 eCollection Date: 2023-12-01 DOI:10.1002/pro6.1214
Anthony Nwankwo, Danielle D Dang, Kevin Choe, Samir Kanani, Adam L Cohen, Mateo Ziu
{"title":"Is there an optimal time to administer postoperative stereotactic radiosurgery in patients with brain metastases? A systematic review of the literature and meta-analysis.","authors":"Anthony Nwankwo, Danielle D Dang, Kevin Choe, Samir Kanani, Adam L Cohen, Mateo Ziu","doi":"10.1002/pro6.1214","DOIUrl":null,"url":null,"abstract":"<p><p>Postoperative stereotactic radiosurgery improves local tumor control in patients with metastatic brain cancer. However, the influence of timing on its therapeutic efficacy is unclear. In this study, we performed a meta-analysis and systematic literature review examining publications that reported the timing of postoperative stereotactic radiosurgery (SRS) for patients with intracranial metastases. Our primary outcomes included median overall survival and rates of local and regional failure, while secondary outcomes examined the incidence of treatment-related adverse events. Correlations between median SRS timing and these variables were assessed using linear regression and publication bias was appraised via Egger's test. Our study resulted in 22 articles comprising 1338 patients. The median timing of adjuvant SRS spanned 14.5 to 41 days. There was a significant negative study-level correlation of median time to SRS with regional failure (<i>p</i> = 0.043, R<sup>2</sup> = 0.32) but not with overall survival (<i>p</i> = 0.54, R<sup>2</sup> = 0.03) or local failure (<i>p</i> = 0.16, R<sup>2</sup> = 0.14). Additionally, there was significant heterogeneity within the reports (<i>p</i><0.0001). In conclusion, our analysis demonstrated that postoperative SRS timing did not influence local failure rates which may in part be due to significant variability between individual study designs and patient demographics. Further research is warranted to elucidate the role of timing for postoperative SRS on oncologic outcomes.</p>","PeriodicalId":32406,"journal":{"name":"Precision Radiation Oncology","volume":"7 4","pages":"278-285"},"PeriodicalIF":2.1000,"publicationDate":"2023-12-03","publicationTypes":"Journal Article","fieldsOfStudy":null,"isOpenAccess":false,"openAccessPdf":"https://www.ncbi.nlm.nih.gov/pmc/articles/PMC11935157/pdf/","citationCount":"0","resultStr":null,"platform":"Semanticscholar","paperid":null,"PeriodicalName":"Precision Radiation Oncology","FirstCategoryId":"1085","ListUrlMain":"https://doi.org/10.1002/pro6.1214","RegionNum":0,"RegionCategory":null,"ArticlePicture":[],"TitleCN":null,"AbstractTextCN":null,"PMCID":null,"EPubDate":"2023/12/1 0:00:00","PubModel":"eCollection","JCR":"Q4","JCRName":"Medicine","Score":null,"Total":0}
引用次数: 0

Abstract

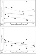
Postoperative stereotactic radiosurgery improves local tumor control in patients with metastatic brain cancer. However, the influence of timing on its therapeutic efficacy is unclear. In this study, we performed a meta-analysis and systematic literature review examining publications that reported the timing of postoperative stereotactic radiosurgery (SRS) for patients with intracranial metastases. Our primary outcomes included median overall survival and rates of local and regional failure, while secondary outcomes examined the incidence of treatment-related adverse events. Correlations between median SRS timing and these variables were assessed using linear regression and publication bias was appraised via Egger's test. Our study resulted in 22 articles comprising 1338 patients. The median timing of adjuvant SRS spanned 14.5 to 41 days. There was a significant negative study-level correlation of median time to SRS with regional failure (p = 0.043, R2 = 0.32) but not with overall survival (p = 0.54, R2 = 0.03) or local failure (p = 0.16, R2 = 0.14). Additionally, there was significant heterogeneity within the reports (p<0.0001). In conclusion, our analysis demonstrated that postoperative SRS timing did not influence local failure rates which may in part be due to significant variability between individual study designs and patient demographics. Further research is warranted to elucidate the role of timing for postoperative SRS on oncologic outcomes.

Abstract Image

Abstract Image

Abstract Image

脑转移患者术后立体定向放射治疗是否有最佳时机?对文献和荟萃分析进行系统回顾。
术后立体定向放射手术改善转移性脑癌患者局部肿瘤控制。然而,时间对其治疗效果的影响尚不清楚。在这项研究中,我们进行了荟萃分析和系统的文献综述,研究了报道颅内转移患者术后立体定向放射手术(SRS)时机的出版物。我们的主要结局包括中位总生存率和局部和区域失败率,而次要结局检查治疗相关不良事件的发生率。使用线性回归评估中位SRS时间与这些变量之间的相关性,并通过Egger检验评估发表偏倚。我们的研究纳入了22篇文章,包括1338名患者。SRS辅助治疗的中位时间为14.5 ~ 41天。中位SRS时间与局部失败(p = 0.043, R2 = 0.32)呈显著负相关,但与总生存(p = 0.54, R2 = 0.03)或局部失败(p = 0.16, R2 = 0.14)无显著负相关。此外,报告中存在显著的异质性(p
本文章由计算机程序翻译,如有差异,请以英文原文为准。
求助全文
约1分钟内获得全文 求助全文
来源期刊
Precision Radiation Oncology
Precision Radiation Oncology Medicine-Oncology
CiteScore
1.20
自引率
0.00%
发文量
32
审稿时长
13 weeks
×
引用
GB/T 7714-2015
复制
MLA
复制
APA
复制
导出至
BibTeX EndNote RefMan NoteFirst NoteExpress
×
提示
您的信息不完整,为了账户安全,请先补充。
现在去补充
×
提示
您因"违规操作"
具体请查看互助需知
我知道了
×
提示
确定
请完成安全验证×
copy
已复制链接
快去分享给好友吧!
我知道了
右上角分享
点击右上角分享
0
联系我们:info@booksci.cn Book学术提供免费学术资源搜索服务,方便国内外学者检索中英文文献。致力于提供最便捷和优质的服务体验。 Copyright © 2023 布克学术 All rights reserved.
京ICP备2023020795号-1
ghs 京公网安备 11010802042870号
Book学术文献互助
Book学术文献互助群
群 号:604180095
Book学术官方微信