Based on Soluble Immune Checkpoints Constructing a Random Survival Forest Model to Predict the Prognosis of Hepatitis B Virus-Associated Hepatocellular Carcinoma.

IF 2.8 4区 医学 Q3 BIOTECHNOLOGY & APPLIED MICROBIOLOGY
OncoTargets and therapy Pub Date : 2025-04-19 eCollection Date: 2025-01-01 DOI:10.2147/OTT.S512838
Xue Cai, Lihua Yu, Xiaoli Liu, Huiwen Yan, Yuqing Xie, Qing Pu, Zimeng Shang, Yuan Wu, Tingting Jiang, Zhiyun Yang
{"title":"Based on Soluble Immune Checkpoints Constructing a Random Survival Forest Model to Predict the Prognosis of Hepatitis B Virus-Associated Hepatocellular Carcinoma.","authors":"Xue Cai, Lihua Yu, Xiaoli Liu, Huiwen Yan, Yuqing Xie, Qing Pu, Zimeng Shang, Yuan Wu, Tingting Jiang, Zhiyun Yang","doi":"10.2147/OTT.S512838","DOIUrl":null,"url":null,"abstract":"<p><strong>Background: </strong>Nowadays, immune checkpoint blockade (ICB) therapy has become a milestone in immunotherapy for hepatocellular carcinoma (HCC). However, its clinical effectiveness remains low. Soluble (s) immune checkpoints (ICs), functional components of membrane ICs, are novel physiological immunomodulators. We investigated the prognostic value of sICs in patients of hepatitis B virus-associated hepatocellular carcinoma (HBV-HCC) and provided clinical clues for potential new targets for future immunotherapy.</p><p><strong>Methods: </strong>A total of 256 participants were included in this study. We compared the plasma levels of 14 sICs in healthy controls (HC), chronic hepatitis B (CHB), hepatitis B-related liver cirrhosis (HBV-LC), and HBV-HCC groups. COX and random survival forest (RSF) were used to select variables and construct a model to predict overall survival of patients with HBV-HCC. We evaluated the predictive efficacy and analyzed the correlations between sICs, clinical parameters, and membrane ICs.</p><p><strong>Results: </strong>The levels of 14 sICs in HBV-HCC were elevated compared to that in HC. The areas under the receiver operating characteristic values of 1-, 2-, and 3-year survival predicted by the RSF model were 0.96, 0.85, and 0.81 in the training set, and 0.91, 0.80, and 0.71 in the validation set. The model could adapt to different event distributions and clinical staging systems. Soluble glucocorticoid-induced tumor necrosis factor receptor (sGITR), soluble programmed cell death-ligand 1 (sPD-L1) and soluble T cell immunoglobulin and mucin domain-containing protein 3 (sTIM-3) were closely associated with the prognosis of patients. Soluble PD-L1 was negatively correlated with HGB and positively correlated with AST and NLR (<i>P</i> < 0.05). Soluble TIM-3 was negatively correlated with ALB and CD8+ T cells and positively correlated with HBV-DNA, AST, LDH and mTIM-3 expression in CD8+ T cells (<i>P</i><0.05).</p><p><strong>Conclusion: </strong>We constructed a predictive model based on sICs to predict different survival times in HBV-HCC patients. The risk stratification effectively identified potentially critical patients. Soluble GITR, sPD-L1 and sTIM-3 were important immunological indicators which could dynamically monitor patients' immune status.</p>","PeriodicalId":19534,"journal":{"name":"OncoTargets and therapy","volume":"18 ","pages":"559-573"},"PeriodicalIF":2.8000,"publicationDate":"2025-04-19","publicationTypes":"Journal Article","fieldsOfStudy":null,"isOpenAccess":false,"openAccessPdf":"https://www.ncbi.nlm.nih.gov/pmc/articles/PMC12020021/pdf/","citationCount":"0","resultStr":null,"platform":"Semanticscholar","paperid":null,"PeriodicalName":"OncoTargets and therapy","FirstCategoryId":"3","ListUrlMain":"https://doi.org/10.2147/OTT.S512838","RegionNum":4,"RegionCategory":"医学","ArticlePicture":[],"TitleCN":null,"AbstractTextCN":null,"PMCID":null,"EPubDate":"2025/1/1 0:00:00","PubModel":"eCollection","JCR":"Q3","JCRName":"BIOTECHNOLOGY & APPLIED MICROBIOLOGY","Score":null,"Total":0}
引用次数: 0

Abstract

Background: Nowadays, immune checkpoint blockade (ICB) therapy has become a milestone in immunotherapy for hepatocellular carcinoma (HCC). However, its clinical effectiveness remains low. Soluble (s) immune checkpoints (ICs), functional components of membrane ICs, are novel physiological immunomodulators. We investigated the prognostic value of sICs in patients of hepatitis B virus-associated hepatocellular carcinoma (HBV-HCC) and provided clinical clues for potential new targets for future immunotherapy.

Methods: A total of 256 participants were included in this study. We compared the plasma levels of 14 sICs in healthy controls (HC), chronic hepatitis B (CHB), hepatitis B-related liver cirrhosis (HBV-LC), and HBV-HCC groups. COX and random survival forest (RSF) were used to select variables and construct a model to predict overall survival of patients with HBV-HCC. We evaluated the predictive efficacy and analyzed the correlations between sICs, clinical parameters, and membrane ICs.

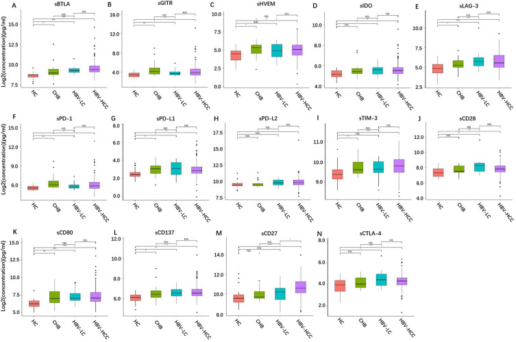
Results: The levels of 14 sICs in HBV-HCC were elevated compared to that in HC. The areas under the receiver operating characteristic values of 1-, 2-, and 3-year survival predicted by the RSF model were 0.96, 0.85, and 0.81 in the training set, and 0.91, 0.80, and 0.71 in the validation set. The model could adapt to different event distributions and clinical staging systems. Soluble glucocorticoid-induced tumor necrosis factor receptor (sGITR), soluble programmed cell death-ligand 1 (sPD-L1) and soluble T cell immunoglobulin and mucin domain-containing protein 3 (sTIM-3) were closely associated with the prognosis of patients. Soluble PD-L1 was negatively correlated with HGB and positively correlated with AST and NLR (P < 0.05). Soluble TIM-3 was negatively correlated with ALB and CD8+ T cells and positively correlated with HBV-DNA, AST, LDH and mTIM-3 expression in CD8+ T cells (P<0.05).

Conclusion: We constructed a predictive model based on sICs to predict different survival times in HBV-HCC patients. The risk stratification effectively identified potentially critical patients. Soluble GITR, sPD-L1 and sTIM-3 were important immunological indicators which could dynamically monitor patients' immune status.

Abstract Image

Abstract Image

Abstract Image

基于可溶性免疫检查点构建随机生存森林模型预测乙型肝炎病毒相关肝细胞癌预后
背景:目前,免疫检查点阻断(ICB)治疗已成为肝细胞癌(HCC)免疫治疗的一个里程碑。然而,其临床疗效仍然很低。可溶性免疫检查点(ic)是膜ic的功能组分,是一种新型的生理免疫调节剂。我们研究了sICs在乙型肝炎病毒相关肝细胞癌(HBV-HCC)患者中的预后价值,并为未来免疫治疗的潜在新靶点提供临床线索。方法:共纳入256名受试者。我们比较了健康对照组(HC)、慢性乙型肝炎(CHB)、乙型肝炎相关肝硬化(HBV-LC)和HBV-HCC组血浆中14种sic的水平。采用COX和随机生存森林(RSF)选择变量,构建预测HBV-HCC患者总生存期的模型。我们评估了预测效果,并分析了sic、临床参数和膜ic之间的相关性。结果:HBV-HCC中14种sic水平明显高于HC。RSF模型预测的1年、2年和3年生存的受试者工作特征值下面积在训练集中分别为0.96、0.85和0.81,在验证集中分别为0.91、0.80和0.71。该模型能适应不同的事件分布和临床分期系统。可溶性糖皮质激素诱导的肿瘤坏死因子受体(sgir)、可溶性程序性细胞死亡配体1 (sPD-L1)和可溶性T细胞免疫球蛋白和粘蛋白结构域蛋白3 (sTIM-3)与患者预后密切相关。可溶性PD-L1与HGB呈负相关,与AST、NLR呈正相关(P < 0.05)。可溶性TIM-3与ALB和CD8+ T细胞呈负相关,与CD8+ T细胞中HBV-DNA、AST、LDH和mTIM-3的表达呈正相关(结论:我们构建了基于sICs的预测HBV-HCC患者不同生存期的预测模型。风险分层有效识别潜在危重患者。可溶性GITR、sPD-L1和sTIM-3是动态监测患者免疫状态的重要免疫学指标。
本文章由计算机程序翻译,如有差异,请以英文原文为准。
求助全文
约1分钟内获得全文 求助全文
来源期刊
OncoTargets and therapy
OncoTargets and therapy BIOTECHNOLOGY & APPLIED MICROBIOLOGY-ONCOLOGY
CiteScore
9.70
自引率
0.00%
发文量
221
审稿时长
1 months
期刊介绍: OncoTargets and Therapy is an international, peer-reviewed journal focusing on molecular aspects of cancer research, that is, the molecular diagnosis of and targeted molecular or precision therapy for all types of cancer. The journal is characterized by the rapid reporting of high-quality original research, basic science, reviews and evaluations, expert opinion and commentary that shed novel insight on a cancer or cancer subtype. Specific topics covered by the journal include: -Novel therapeutic targets and innovative agents -Novel therapeutic regimens for improved benefit and/or decreased side effects -Early stage clinical trials Further considerations when submitting to OncoTargets and Therapy: -Studies containing in vivo animal model data will be considered favorably. -Tissue microarray analyses will not be considered except in cases where they are supported by comprehensive biological studies involving multiple cell lines. -Biomarker association studies will be considered only when validated by comprehensive in vitro data and analysis of human tissue samples. -Studies utilizing publicly available data (e.g. GWAS/TCGA/GEO etc.) should add to the body of knowledge about a specific disease or relevant phenotype and must be validated using the authors’ own data through replication in an independent sample set and functional follow-up. -Bioinformatics studies must be validated using the authors’ own data through replication in an independent sample set and functional follow-up. -Single nucleotide polymorphism (SNP) studies will not be considered.
×
引用
GB/T 7714-2015
复制
MLA
复制
APA
复制
导出至
BibTeX EndNote RefMan NoteFirst NoteExpress
×
提示
您的信息不完整,为了账户安全,请先补充。
现在去补充
×
提示
您因"违规操作"
具体请查看互助需知
我知道了
×
提示
确定
请完成安全验证×
copy
已复制链接
快去分享给好友吧!
我知道了
右上角分享
点击右上角分享
0
联系我们:info@booksci.cn Book学术提供免费学术资源搜索服务,方便国内外学者检索中英文文献。致力于提供最便捷和优质的服务体验。 Copyright © 2023 布克学术 All rights reserved.
京ICP备2023020795号-1
ghs 京公网安备 11010802042870号
Book学术文献互助
Book学术文献互助群
群 号:604180095
Book学术官方微信