Clinical Characteristics and Development of Complications Differ Between Adult-Onset and Child-Adolescent-Onset Type 1 Diabetes: A Report From a Tertiary Medical Center in Türkiye.

IF 3.4 3区 医学 Q2 ENDOCRINOLOGY & METABOLISM
Journal of Diabetes Research Pub Date : 2025-04-09 eCollection Date: 2025-01-01 DOI:10.1155/jdr/8860118
Ramazan Çakmak, Özge Telci Çaklılı, Ayşe Merve Ok, Ümmü Mutlu, Göktuğ Sarıbeyliler, Vefa Seferova Nasifova, Ersel Bilgin, Aylin Çoşkun, Damla Yenersu Guzey, Utku Erdem Soyaltin, Servet Yüce, Hülya Hacışahinoğulları, Gülşah Yenidünya Yalın, Özlem Soyluk Selçukbiricik, Nurdan Gül, Ayşe Kubat Üzüm, Kubilay Karşıdağ, Nevin Dinççağ, Mehmet Temel Yılmaz, Ilhan Satman
{"title":"Clinical Characteristics and Development of Complications Differ Between Adult-Onset and Child-Adolescent-Onset Type 1 Diabetes: A Report From a Tertiary Medical Center in Türkiye.","authors":"Ramazan Çakmak, Özge Telci Çaklılı, Ayşe Merve Ok, Ümmü Mutlu, Göktuğ Sarıbeyliler, Vefa Seferova Nasifova, Ersel Bilgin, Aylin Çoşkun, Damla Yenersu Guzey, Utku Erdem Soyaltin, Servet Yüce, Hülya Hacışahinoğulları, Gülşah Yenidünya Yalın, Özlem Soyluk Selçukbiricik, Nurdan Gül, Ayşe Kubat Üzüm, Kubilay Karşıdağ, Nevin Dinççağ, Mehmet Temel Yılmaz, Ilhan Satman","doi":"10.1155/jdr/8860118","DOIUrl":null,"url":null,"abstract":"<p><p><b>Background and Aims:</b> The age-at-onset is of great importance in the heterogeneity of Type 1 diabetes mellitus (T1DM). This study was designed to define clinical and laboratory differences between child-adolescent-onset and adult-onset T1DM at presentation and during follow-up and determine the predicting factors for developing microvascular and macrovascular complications. <b>Material and Methods:</b> This retrospective observational study evaluated T1DM patients who were followed in the diabetes outpatient clinic between January 1, 2000, and December 31, 2019. <b>Results:</b> The study cohort included 490 individuals with T1DM (54.3% female, 58.8% adult-onset, and median follow-up: 5 years). In the adult-onset group, baseline C-peptide and GADA prevalence were higher, whereas presentation with ketoacidosis was 2.3-fold lower compared to the child-adolescent-onset group (<i>p</i> < 0.001). During follow-up, the adult-onset group had a 2.4-fold higher overweight/obesity (<i>p</i> < 0.001) and 1.7-fold higher dyslipidemia/hyperlipidemia (<i>p</i> = 0.002) than the child-adolescent-onset group. In multivariate analysis, fasting glucose (<i>p</i> = 0.024) in adult-onset, dyslipidemia/hyperlipidemia (<i>p</i> = 0.037) in child-adolescent-onset, and diabetes duration (<i>p</i> = 0.008 and <i>p</i> = 0.007) and hypertension (<i>p</i> = 0.001 and <i>p</i> = 0.01) in both groups were associated with increased risk of microvascular complications, whereas age-at-onset (<i>p</i> = 0.024), dyslipidemia/hyperlipidemia (<i>p</i> = 0.03), nephropathy (<i>p</i> = 0.003), and neuropathy (<i>p</i> = 0.001) in adult-onset and age (<i>p</i> = 0.002) and triglycerides (<i>p</i> = 0.013) in child-adolescent-onset groups were associated with increased risk of macrovascular complications. The cutoff C-peptide levels at baseline predicted microvascular complications in the whole cohort and adult-onset group were defined as 0.383 ng/mL (<i>p</i> < 0.001) and 0.41 ng/mL (<i>p</i> = 0.001), respectively. In the Kaplan-Meier analysis, C-peptide (< 0.383 ng/mL) but not age-at-onset predicted future development of microvascular and macrovascular complications (<i>p</i> = 0.003 and <i>p</i> = 0.032). <b>Conclusion:</b> Clinical presentation and prognosis differ in adult-onset and child-adolescent-onset T1DM. Low initial C-peptide may predict the development of microvascular and macrovascular complications.</p>","PeriodicalId":15576,"journal":{"name":"Journal of Diabetes Research","volume":"2025 ","pages":"8860118"},"PeriodicalIF":3.4000,"publicationDate":"2025-04-09","publicationTypes":"Journal Article","fieldsOfStudy":null,"isOpenAccess":false,"openAccessPdf":"https://www.ncbi.nlm.nih.gov/pmc/articles/PMC12003040/pdf/","citationCount":"0","resultStr":null,"platform":"Semanticscholar","paperid":null,"PeriodicalName":"Journal of Diabetes Research","FirstCategoryId":"3","ListUrlMain":"https://doi.org/10.1155/jdr/8860118","RegionNum":3,"RegionCategory":"医学","ArticlePicture":[],"TitleCN":null,"AbstractTextCN":null,"PMCID":null,"EPubDate":"2025/1/1 0:00:00","PubModel":"eCollection","JCR":"Q2","JCRName":"ENDOCRINOLOGY & METABOLISM","Score":null,"Total":0}
引用次数: 0

Abstract

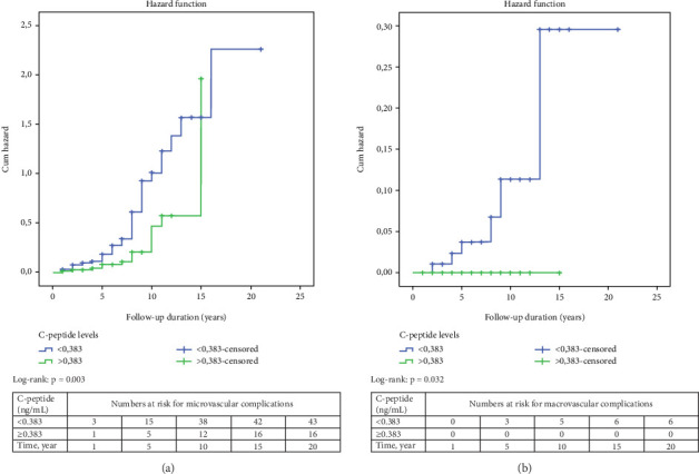
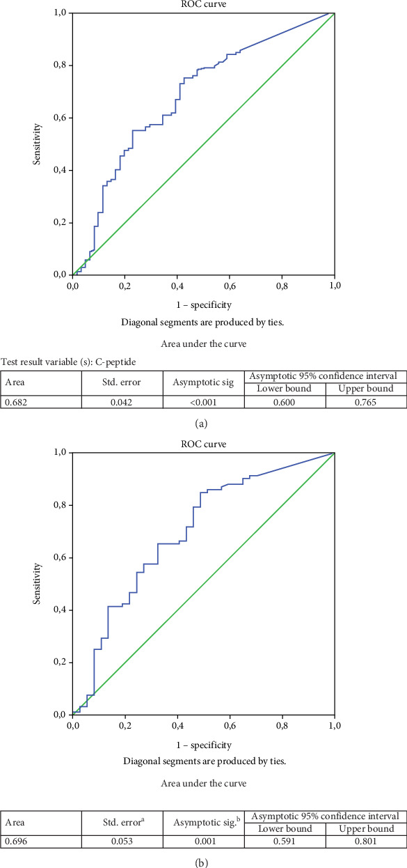
Background and Aims: The age-at-onset is of great importance in the heterogeneity of Type 1 diabetes mellitus (T1DM). This study was designed to define clinical and laboratory differences between child-adolescent-onset and adult-onset T1DM at presentation and during follow-up and determine the predicting factors for developing microvascular and macrovascular complications. Material and Methods: This retrospective observational study evaluated T1DM patients who were followed in the diabetes outpatient clinic between January 1, 2000, and December 31, 2019. Results: The study cohort included 490 individuals with T1DM (54.3% female, 58.8% adult-onset, and median follow-up: 5 years). In the adult-onset group, baseline C-peptide and GADA prevalence were higher, whereas presentation with ketoacidosis was 2.3-fold lower compared to the child-adolescent-onset group (p < 0.001). During follow-up, the adult-onset group had a 2.4-fold higher overweight/obesity (p < 0.001) and 1.7-fold higher dyslipidemia/hyperlipidemia (p = 0.002) than the child-adolescent-onset group. In multivariate analysis, fasting glucose (p = 0.024) in adult-onset, dyslipidemia/hyperlipidemia (p = 0.037) in child-adolescent-onset, and diabetes duration (p = 0.008 and p = 0.007) and hypertension (p = 0.001 and p = 0.01) in both groups were associated with increased risk of microvascular complications, whereas age-at-onset (p = 0.024), dyslipidemia/hyperlipidemia (p = 0.03), nephropathy (p = 0.003), and neuropathy (p = 0.001) in adult-onset and age (p = 0.002) and triglycerides (p = 0.013) in child-adolescent-onset groups were associated with increased risk of macrovascular complications. The cutoff C-peptide levels at baseline predicted microvascular complications in the whole cohort and adult-onset group were defined as 0.383 ng/mL (p < 0.001) and 0.41 ng/mL (p = 0.001), respectively. In the Kaplan-Meier analysis, C-peptide (< 0.383 ng/mL) but not age-at-onset predicted future development of microvascular and macrovascular complications (p = 0.003 and p = 0.032). Conclusion: Clinical presentation and prognosis differ in adult-onset and child-adolescent-onset T1DM. Low initial C-peptide may predict the development of microvascular and macrovascular complications.

Abstract Image

Abstract Image

成人发病和儿童-青少年发病的1型糖尿病的临床特征和并发症的发展:来自泰国一家三级医疗中心的报告
背景与目的:发病年龄在1型糖尿病(T1DM)的异质性中具有重要意义。本研究旨在确定儿童-青少年发病和成人发病T1DM在首发和随访期间的临床和实验室差异,并确定发展微血管和大血管并发症的预测因素。材料和方法:本回顾性观察性研究评估了2000年1月1日至2019年12月31日期间在糖尿病门诊随访的T1DM患者。结果:研究队列包括490例T1DM患者(54.3%为女性,58.8%为成人发病,中位随访时间为5年)。在成人发病组,基线c肽和GADA患病率较高,而与儿童青少年发病组相比,酮症酸中毒的发生率低2.3倍(p < 0.001)。在随访期间,成人发病组的超重/肥胖(p < 0.001)和血脂异常/高脂血症(p = 0.002)分别比儿童青少年发病组高2.4倍和1.7倍。在多因素分析中,两组患者的空腹血糖(p = 0.024)、儿童-青少年发病的血脂异常/高脂血症(p = 0.037)、糖尿病病程(p = 0.008和p = 0.007)和高血压(p = 0.001和p = 0.01)均与微血管并发症的风险增加有关,而发病年龄(p = 0.024)、血脂异常/高脂血症(p = 0.03)、肾病(p = 0.003)、糖尿病(p = 0.08和p = 0.07)和糖尿病(p = 0.001和p = 0.01)均与微血管并发症的风险增加有关。成人发病组的神经病变(p = 0.001)和年龄组(p = 0.002)以及儿童-青少年发病组的甘油三酯(p = 0.013)与大血管并发症的风险增加相关。基线c肽水平的临界值预测整个队列和成人发病组的微血管并发症分别定义为0.383 ng/mL (p < 0.001)和0.41 ng/mL (p = 0.001)。在Kaplan-Meier分析中,c肽(p = 0.003和p = 0.032)。结论:成人起病T1DM与儿童-青少年起病T1DM的临床表现及预后存在差异。低初始c肽可以预测微血管和大血管并发症的发生。
本文章由计算机程序翻译,如有差异,请以英文原文为准。
求助全文
约1分钟内获得全文 求助全文
来源期刊
Journal of Diabetes Research
Journal of Diabetes Research ENDOCRINOLOGY & METABOLISM-MEDICINE, RESEARCH & EXPERIMENTAL
CiteScore
8.40
自引率
2.30%
发文量
152
审稿时长
14 weeks
期刊介绍: Journal of Diabetes Research is a peer-reviewed, Open Access journal that publishes research articles, review articles, and clinical studies related to type 1 and type 2 diabetes. The journal welcomes submissions focusing on the epidemiology, etiology, pathogenesis, management, and prevention of diabetes, as well as associated complications, such as diabetic retinopathy, neuropathy and nephropathy.
×
引用
GB/T 7714-2015
复制
MLA
复制
APA
复制
导出至
BibTeX EndNote RefMan NoteFirst NoteExpress
×
提示
您的信息不完整,为了账户安全,请先补充。
现在去补充
×
提示
您因"违规操作"
具体请查看互助需知
我知道了
×
提示
确定
请完成安全验证×
copy
已复制链接
快去分享给好友吧!
我知道了
右上角分享
点击右上角分享
0
联系我们:info@booksci.cn Book学术提供免费学术资源搜索服务,方便国内外学者检索中英文文献。致力于提供最便捷和优质的服务体验。 Copyright © 2023 布克学术 All rights reserved.
京ICP备2023020795号-1
ghs 京公网安备 11010802042870号
Book学术文献互助
Book学术文献互助群
群 号:604180095
Book学术官方微信