Incident Hearing Loss and Subsequent Risk of Dementia: The Health and Retirement Study 2010-2018.

IF 2.5 4区 医学 Q2 CLINICAL NEUROLOGY
Jingkai Wei, Youngran Kim, Yike Li, Donglan Zhang, Casey Crump
{"title":"Incident Hearing Loss and Subsequent Risk of Dementia: The Health and Retirement Study 2010-2018.","authors":"Jingkai Wei, Youngran Kim, Yike Li, Donglan Zhang, Casey Crump","doi":"10.1177/08919887251336461","DOIUrl":null,"url":null,"abstract":"<p><p>Background and ObjectivesWhile hearing loss is a known risk factor for dementia, the impact of incident hearing loss on subsequent dementia risk remains underexplored. This study examined the association between newly reported hearing loss and dementia risk in U.S. adults, focusing on critical intervention periods for dementia prevention.Research Design and MethodsParticipants from the Health and Retirement Study who reported no hearing loss or hearing aid use in 2010 or 2012 were included. Incident hearing loss and dementia were assessed via self-report and proxy report. Pooled logistic regression models with inverse probability weighting estimated the cumulative incidence of dementia at 2, 4, 6, and 8 years after baseline. Risk ratios (RR) with 95% confidence intervals were calculated from 200 bootstrap samples. Subgroup analyses were conducted by age, sex, and cardiovascular disease (CVD) status.ResultsAmong 13,599 participants, 1125 (8.3%) reported incident hearing loss. Dementia incidence was higher among those with hearing loss (6.6%) compared to those without (4.9%). Starting at 4 years, incident hearing loss was associated with a higher dementia risk, persisting at 8 years (RR = 1.34; 95% CI: 1.05, 1.59). This association was significant among individuals aged 50-64 years and those with CVD.Discussion and ImplicationsIncident hearing loss is associated with a heightened dementia risk, particularly in midlife and among individuals with CVD. Future research should investigate the effectiveness of timely interventions aimed at preventing dementia in individuals with hearing loss.</p>","PeriodicalId":16028,"journal":{"name":"Journal of Geriatric Psychiatry and Neurology","volume":" ","pages":"475-483"},"PeriodicalIF":2.5000,"publicationDate":"2025-11-01","publicationTypes":"Journal Article","fieldsOfStudy":null,"isOpenAccess":false,"openAccessPdf":"https://www.ncbi.nlm.nih.gov/pmc/articles/PMC12433528/pdf/","citationCount":"0","resultStr":null,"platform":"Semanticscholar","paperid":null,"PeriodicalName":"Journal of Geriatric Psychiatry and Neurology","FirstCategoryId":"3","ListUrlMain":"https://doi.org/10.1177/08919887251336461","RegionNum":4,"RegionCategory":"医学","ArticlePicture":[],"TitleCN":null,"AbstractTextCN":null,"PMCID":null,"EPubDate":"2025/4/18 0:00:00","PubModel":"Epub","JCR":"Q2","JCRName":"CLINICAL NEUROLOGY","Score":null,"Total":0}
引用次数: 0

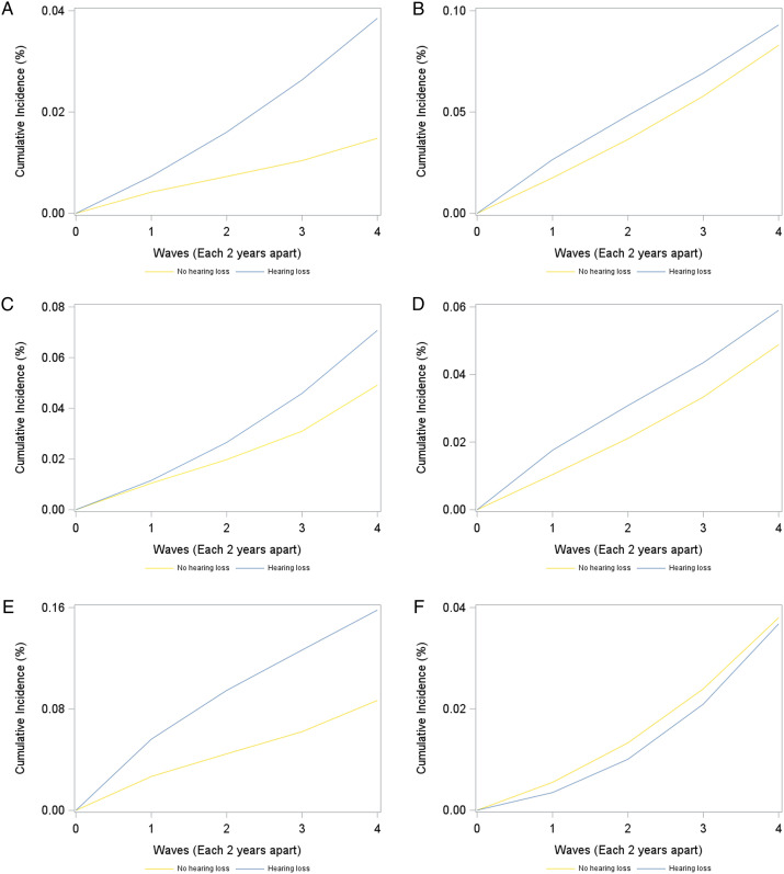
Abstract

Background and ObjectivesWhile hearing loss is a known risk factor for dementia, the impact of incident hearing loss on subsequent dementia risk remains underexplored. This study examined the association between newly reported hearing loss and dementia risk in U.S. adults, focusing on critical intervention periods for dementia prevention.Research Design and MethodsParticipants from the Health and Retirement Study who reported no hearing loss or hearing aid use in 2010 or 2012 were included. Incident hearing loss and dementia were assessed via self-report and proxy report. Pooled logistic regression models with inverse probability weighting estimated the cumulative incidence of dementia at 2, 4, 6, and 8 years after baseline. Risk ratios (RR) with 95% confidence intervals were calculated from 200 bootstrap samples. Subgroup analyses were conducted by age, sex, and cardiovascular disease (CVD) status.ResultsAmong 13,599 participants, 1125 (8.3%) reported incident hearing loss. Dementia incidence was higher among those with hearing loss (6.6%) compared to those without (4.9%). Starting at 4 years, incident hearing loss was associated with a higher dementia risk, persisting at 8 years (RR = 1.34; 95% CI: 1.05, 1.59). This association was significant among individuals aged 50-64 years and those with CVD.Discussion and ImplicationsIncident hearing loss is associated with a heightened dementia risk, particularly in midlife and among individuals with CVD. Future research should investigate the effectiveness of timely interventions aimed at preventing dementia in individuals with hearing loss.

Abstract Image

Abstract Image

Abstract Image

意外听力损失和随后的痴呆风险:2010-2018年健康和退休研究
背景与目的虽然听力损失是痴呆的已知危险因素,但偶发性听力损失对随后痴呆风险的影响仍未得到充分研究。这项研究调查了美国成年人新近报道的听力损失与痴呆症风险之间的关系,重点关注痴呆症预防的关键干预期。研究设计与方法纳入2010年或2012年健康与退休研究中未报告听力损失或未使用助听器的参与者。通过自我报告和代理报告对偶发性听力损失和痴呆进行评估。采用逆概率加权的混合逻辑回归模型估计基线后2、4、6和8年的痴呆累积发病率。从200个bootstrap样本中计算95%置信区间的风险比(RR)。按年龄、性别和心血管疾病(CVD)状况进行亚组分析。结果在13599名参与者中,1125人(8.3%)报告了偶发性听力损失。失聪者的痴呆发病率(6.6%)高于无失聪者(4.9%)。从4岁开始,偶发性听力损失与较高的痴呆风险相关,持续到8岁(RR = 1.34;95% ci: 1.05, 1.59)。这种关联在50-64岁和心血管疾病患者中尤为显著。讨论和意义偶发性听力损失与痴呆风险增加有关,特别是在中年和心血管疾病患者中。未来的研究应该调查及时干预的有效性,旨在预防听力损失个体的痴呆。
本文章由计算机程序翻译,如有差异,请以英文原文为准。
求助全文
约1分钟内获得全文 求助全文
来源期刊
CiteScore
6.20
自引率
0.00%
发文量
40
审稿时长
>12 weeks
期刊介绍: Journal of Geriatric Psychiatry and Neurology (JGP) brings together original research, clinical reviews, and timely case reports on neuropsychiatric care of aging patients, including age-related biologic, neurologic, and psychiatric illnesses; psychosocial problems; forensic issues; and family care. The journal offers the latest peer-reviewed information on cognitive, mood, anxiety, addictive, and sleep disorders in older patients, as well as tested diagnostic tools and therapies.
×
引用
GB/T 7714-2015
复制
MLA
复制
APA
复制
导出至
BibTeX EndNote RefMan NoteFirst NoteExpress
×
提示
您的信息不完整,为了账户安全,请先补充。
现在去补充
×
提示
您因"违规操作"
具体请查看互助需知
我知道了
×
提示
确定
请完成安全验证×
copy
已复制链接
快去分享给好友吧!
我知道了
右上角分享
点击右上角分享
0
联系我们:info@booksci.cn Book学术提供免费学术资源搜索服务,方便国内外学者检索中英文文献。致力于提供最便捷和优质的服务体验。 Copyright © 2023 布克学术 All rights reserved.
京ICP备2023020795号-1
ghs 京公网安备 11010802042870号
Book学术文献互助
Book学术文献互助群
群 号:604180095
Book学术官方微信