The effect of Rumin8 Investigational Veterinary Product-a bromoform based feed additive-on enteric methane emissions, animal production parameters, and the rumen environment in feedlot cattle.

IF 1.8 Q3 AGRICULTURE, DAIRY & ANIMAL SCIENCE
Translational Animal Science Pub Date : 2025-03-01 eCollection Date: 2025-01-01 DOI:10.1093/tas/txaf028
Leanna Kelly, Eleanor May Pressman, John-Fredy Ramirez-Agudelo, Hannah Chernavsky, Pablo Alvarez- Hess, Silke Jacques, Matthias Hess, Ermias Kebreab
{"title":"The effect of Rumin8 Investigational Veterinary Product-a bromoform based feed additive-on enteric methane emissions, animal production parameters, and the rumen environment in feedlot cattle.","authors":"Leanna Kelly, Eleanor May Pressman, John-Fredy Ramirez-Agudelo, Hannah Chernavsky, Pablo Alvarez- Hess, Silke Jacques, Matthias Hess, Ermias Kebreab","doi":"10.1093/tas/txaf028","DOIUrl":null,"url":null,"abstract":"<p><p>The livestock sector plays a crucial role in mitigating global climate change by reducing greenhouse gas emissions, with enteric fermentation as the largest source. Although various approaches have been proposed to decrease enteric methane (CH<sub>4</sub>) emissions, feed additives containing bromoform (CHBr<sub>3</sub>) have shown promise with minimal impact on animal production parameters. This study aimed to evaluate the effects of two Rumin8 Investigational Veterinary Products (IVP) containing synthetic CHBr<sub>3</sub> on enteric gas emissions, animal production parameters, and the rumen environment. Twenty-four Angus beef steers were randomly assigned to one of three treatment groups: Control, Oil (8 mL Rumin8 oil IVP/kg DMI), and Powder (1.2 g Rumin8 powder IVP/kg DMI). The Rumin8 oil IVP treatment resulted in a CHBr<sub>3</sub> intake of 32.2 mg/kg DMI, while the Rumin8 powder IVP provided a CHBr<sub>3</sub> intake of 2.0 mg/kg DMI during weeks 1-8. In week 9, a new batch of Rumin8 powder IVP increased the CHBr<sub>3</sub> intake to 17.9 mg/kg DMI. The Oil group exhibited 95.0%, 95.0%, and 96.1% reductions in CH<sub>4</sub> production (g/day), yield (g/kg DMI), and intensity (g/kg average daily gain), respectively, accompanied by 925%, 934%, and 858% increases in H<sub>2</sub> production, yield, and intensity, respectively. Neither treatment significantly affected animal production parameters or rumen environment variables. These findings suggest that Rumin8 oil IVP containing synthetic CHBr<sub>3</sub> has the potential to reduce enteric CH<sub>4</sub> emissions. This warrants further investigation, as this is the first published in vivo study to assess compound efficacy.</p>","PeriodicalId":23272,"journal":{"name":"Translational Animal Science","volume":"9 ","pages":"txaf028"},"PeriodicalIF":1.8000,"publicationDate":"2025-03-01","publicationTypes":"Journal Article","fieldsOfStudy":null,"isOpenAccess":false,"openAccessPdf":"https://www.ncbi.nlm.nih.gov/pmc/articles/PMC12000719/pdf/","citationCount":"0","resultStr":null,"platform":"Semanticscholar","paperid":null,"PeriodicalName":"Translational Animal Science","FirstCategoryId":"1085","ListUrlMain":"https://doi.org/10.1093/tas/txaf028","RegionNum":0,"RegionCategory":null,"ArticlePicture":[],"TitleCN":null,"AbstractTextCN":null,"PMCID":null,"EPubDate":"2025/1/1 0:00:00","PubModel":"eCollection","JCR":"Q3","JCRName":"AGRICULTURE, DAIRY & ANIMAL SCIENCE","Score":null,"Total":0}
引用次数: 0

Abstract

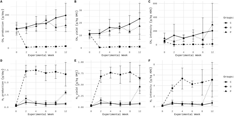
The livestock sector plays a crucial role in mitigating global climate change by reducing greenhouse gas emissions, with enteric fermentation as the largest source. Although various approaches have been proposed to decrease enteric methane (CH4) emissions, feed additives containing bromoform (CHBr3) have shown promise with minimal impact on animal production parameters. This study aimed to evaluate the effects of two Rumin8 Investigational Veterinary Products (IVP) containing synthetic CHBr3 on enteric gas emissions, animal production parameters, and the rumen environment. Twenty-four Angus beef steers were randomly assigned to one of three treatment groups: Control, Oil (8 mL Rumin8 oil IVP/kg DMI), and Powder (1.2 g Rumin8 powder IVP/kg DMI). The Rumin8 oil IVP treatment resulted in a CHBr3 intake of 32.2 mg/kg DMI, while the Rumin8 powder IVP provided a CHBr3 intake of 2.0 mg/kg DMI during weeks 1-8. In week 9, a new batch of Rumin8 powder IVP increased the CHBr3 intake to 17.9 mg/kg DMI. The Oil group exhibited 95.0%, 95.0%, and 96.1% reductions in CH4 production (g/day), yield (g/kg DMI), and intensity (g/kg average daily gain), respectively, accompanied by 925%, 934%, and 858% increases in H2 production, yield, and intensity, respectively. Neither treatment significantly affected animal production parameters or rumen environment variables. These findings suggest that Rumin8 oil IVP containing synthetic CHBr3 has the potential to reduce enteric CH4 emissions. This warrants further investigation, as this is the first published in vivo study to assess compound efficacy.

Abstract Image

Abstract Image

Abstract Image

基于溴仿的饲料添加剂Rumin8对饲养场牛肠道甲烷排放、动物生产参数和瘤胃环境的影响
畜牧业通过减少温室气体排放,在减缓全球气候变化方面发挥着至关重要的作用,其中肠道发酵是最大的排放源。尽管已经提出了各种减少肠道甲烷(CH4)排放的方法,但含有溴仿(CHBr3)的饲料添加剂显示出对动物生产参数影响最小的前景。本研究旨在评价两种含合成CHBr3的Rumin8研究兽药(IVP)对肠道气体排放、动物生产参数和瘤胃环境的影响。选取24头安格斯肉牛,随机分为3个处理组:对照组、油组(8 mL Rumin8油IVP/kg DMI)和粉组(1.2 g Rumin8粉IVP/kg DMI)。在第1-8周,Rumin8油IVP处理导致CHBr3摄入量为32.2 mg/kg DMI,而Rumin8粉IVP提供的CHBr3摄入量为2.0 mg/kg DMI。第9周,新一批Rumin8粉IVP将CHBr3采食量提高至17.9 mg/kg DMI。油组CH4产量(g/d)、产量(g/kg DMI)和强度(g/kg平均日增重)分别降低95.0%、95.0%和96.1%,H2产量、产量和强度分别提高925%、934%和858%。两种处理均未显著影响动物生产参数或瘤胃环境变量。这些结果表明,含有合成CHBr3的Rumin8油IVP具有减少肠道CH4排放的潜力。这值得进一步调查,因为这是首次发表的评估化合物疗效的体内研究。
本文章由计算机程序翻译,如有差异,请以英文原文为准。
求助全文
约1分钟内获得全文 求助全文
来源期刊
Translational Animal Science
Translational Animal Science Veterinary-Veterinary (all)
CiteScore
2.80
自引率
15.40%
发文量
149
审稿时长
8 weeks
期刊介绍: Translational Animal Science (TAS) is the first open access-open review animal science journal, encompassing a broad scope of research topics in animal science. TAS focuses on translating basic science to innovation, and validation of these innovations by various segments of the allied animal industry. Readers of TAS will typically represent education, industry, and government, including research, teaching, administration, extension, management, quality assurance, product development, and technical services. Those interested in TAS typically include animal breeders, economists, embryologists, engineers, food scientists, geneticists, microbiologists, nutritionists, veterinarians, physiologists, processors, public health professionals, and others with an interest in animal production and applied aspects of animal sciences.
×
引用
GB/T 7714-2015
复制
MLA
复制
APA
复制
导出至
BibTeX EndNote RefMan NoteFirst NoteExpress
×
提示
您的信息不完整,为了账户安全,请先补充。
现在去补充
×
提示
您因"违规操作"
具体请查看互助需知
我知道了
×
提示
确定
请完成安全验证×
copy
已复制链接
快去分享给好友吧!
我知道了
右上角分享
点击右上角分享
0
联系我们:info@booksci.cn Book学术提供免费学术资源搜索服务,方便国内外学者检索中英文文献。致力于提供最便捷和优质的服务体验。 Copyright © 2023 布克学术 All rights reserved.
京ICP备2023020795号-1
ghs 京公网安备 11010802042870号
Book学术文献互助
Book学术文献互助群
群 号:604180095
Book学术官方微信