Can homeopathy cure all diseases? Subgroups of homeopathy users based on beliefs about whether and how homeopathy should be used to treat serious conditions.

IF 3.3 2区 文学 Q1 COMMUNICATION
Public Understanding of Science Pub Date : 2025-10-01 Epub Date: 2025-05-08 DOI:10.1177/09636625251332524
Luisa Liekefett, Julia C Becker
{"title":"Can homeopathy cure all diseases? Subgroups of homeopathy users based on beliefs about whether and how homeopathy should be used to treat serious conditions.","authors":"Luisa Liekefett, Julia C Becker","doi":"10.1177/09636625251332524","DOIUrl":null,"url":null,"abstract":"<p><p>Can homeopathy cure all diseases? Depending on whom you ask, answers to this question might be very different. This research investigates what homeopathy users believe about (a) whether and how homeopathy should be used to treat serious conditions like cancer, and (b) science and the relevance of scientific evidence regarding homeopathy. Using latent profile analysis (N = 225), we identify subgroups of homeopathy users that differ in their normative beliefs about the use of homeopathy in serious conditions: supporters of standalone use of homeopathy in serious conditions (~9%), those who are open toward standalone use (~43%), supporters of supplementary use (~35%), and supporters of both supplementary use and nonuse in serious conditions (~13%). Subgroups that supported or were open toward the standalone use of homeopathy in serious conditions held the most negative attitudes toward science. These findings are relevant for interventions aiming to prevent the risks associated with homeopathy use.</p>","PeriodicalId":48094,"journal":{"name":"Public Understanding of Science","volume":" ","pages":"949-960"},"PeriodicalIF":3.3000,"publicationDate":"2025-10-01","publicationTypes":"Journal Article","fieldsOfStudy":null,"isOpenAccess":false,"openAccessPdf":"https://www.ncbi.nlm.nih.gov/pmc/articles/PMC12449590/pdf/","citationCount":"0","resultStr":null,"platform":"Semanticscholar","paperid":null,"PeriodicalName":"Public Understanding of Science","FirstCategoryId":"98","ListUrlMain":"https://doi.org/10.1177/09636625251332524","RegionNum":2,"RegionCategory":"文学","ArticlePicture":[],"TitleCN":null,"AbstractTextCN":null,"PMCID":null,"EPubDate":"2025/5/8 0:00:00","PubModel":"Epub","JCR":"Q1","JCRName":"COMMUNICATION","Score":null,"Total":0}
引用次数: 0

Abstract

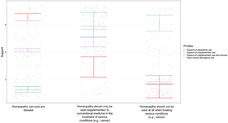
Can homeopathy cure all diseases? Depending on whom you ask, answers to this question might be very different. This research investigates what homeopathy users believe about (a) whether and how homeopathy should be used to treat serious conditions like cancer, and (b) science and the relevance of scientific evidence regarding homeopathy. Using latent profile analysis (N = 225), we identify subgroups of homeopathy users that differ in their normative beliefs about the use of homeopathy in serious conditions: supporters of standalone use of homeopathy in serious conditions (~9%), those who are open toward standalone use (~43%), supporters of supplementary use (~35%), and supporters of both supplementary use and nonuse in serious conditions (~13%). Subgroups that supported or were open toward the standalone use of homeopathy in serious conditions held the most negative attitudes toward science. These findings are relevant for interventions aiming to prevent the risks associated with homeopathy use.

Abstract Image

Abstract Image

Abstract Image

顺势疗法能治百病吗?基于是否以及如何使用顺势疗法治疗严重疾病的信念的顺势疗法使用者亚组。
顺势疗法能治百病吗?这取决于你问谁,这个问题的答案可能会非常不同。本研究调查了顺势疗法使用者对以下问题的看法:(a)是否以及如何使用顺势疗法来治疗癌症等严重疾病,以及(b)关于顺势疗法的科学和科学证据的相关性。使用潜在特征分析(N = 225),我们确定了在严重情况下使用顺势疗法的规范信念不同的顺势疗法使用者亚组:在严重情况下单独使用顺势疗法的支持者(~9%),对单独使用顺势疗法持开放态度的人(~43%),辅助使用的支持者(~35%),以及在严重情况下辅助使用和不使用的支持者(~13%)。支持或对顺势疗法在严重情况下的独立使用持开放态度的小组对科学持最消极的态度。这些发现与旨在预防使用顺势疗法相关风险的干预措施有关。
本文章由计算机程序翻译,如有差异,请以英文原文为准。
求助全文
约1分钟内获得全文 求助全文
来源期刊
CiteScore
7.30
自引率
9.80%
发文量
80
期刊介绍: Public Understanding of Science is a fully peer reviewed international journal covering all aspects of the inter-relationships between science (including technology and medicine) and the public. Public Understanding of Science is the only journal to cover all aspects of the inter-relationships between science (including technology and medicine) and the public. Topics Covered Include... ·surveys of public understanding and attitudes towards science and technology ·perceptions of science ·popular representations of science ·scientific and para-scientific belief systems ·science in schools
×
引用
GB/T 7714-2015
复制
MLA
复制
APA
复制
导出至
BibTeX EndNote RefMan NoteFirst NoteExpress
×
提示
您的信息不完整,为了账户安全,请先补充。
现在去补充
×
提示
您因"违规操作"
具体请查看互助需知
我知道了
×
提示
确定
请完成安全验证×
copy
已复制链接
快去分享给好友吧!
我知道了
右上角分享
点击右上角分享
0
联系我们:info@booksci.cn Book学术提供免费学术资源搜索服务,方便国内外学者检索中英文文献。致力于提供最便捷和优质的服务体验。 Copyright © 2023 布克学术 All rights reserved.
京ICP备2023020795号-1
ghs 京公网安备 11010802042870号
Book学术文献互助
Book学术文献互助群
群 号:604180095
Book学术官方微信