The relationship between 1,25(OH)2D3 levels and interleukin-32 and vascular endothelial growth factor levels in endometriosis cyst tissue: An original article.

IF 2.1 Q2 MEDICINE, GENERAL & INTERNAL
SAGE Open Medicine Pub Date : 2025-04-12 eCollection Date: 2025-01-01 DOI:10.1177/20503121251332405
Mirza Ismail, Hanom Husni Syam, Mulyanusa Amarullah Ritonga, Anita Rachmawati, Wiryawan Permadi, Ruswana Anwar, Shofwal Widad
{"title":"The relationship between 1,25(OH)<sub>2</sub>D<sub>3</sub> levels and interleukin-32 and vascular endothelial growth factor levels in endometriosis cyst tissue: An original article.","authors":"Mirza Ismail, Hanom Husni Syam, Mulyanusa Amarullah Ritonga, Anita Rachmawati, Wiryawan Permadi, Ruswana Anwar, Shofwal Widad","doi":"10.1177/20503121251332405","DOIUrl":null,"url":null,"abstract":"<p><strong>Background: </strong>Endometriosis involves the presence of endometrial-like tissue outside the uterus, driven by inflammatory pathways including elevated interleukin-32 and vascular endothelial growth factor. One potential anti-inflammatory agent is active vitamin D (1,25(OH)<sub>2</sub>D<sub>3</sub>).</p><p><strong>Objectives: </strong>This research investigates the correlation among 1,25(OH)<sub>2</sub>D<sub>3</sub> levels, interleukin-32, and vascular endothelial growth factor in confirmed endometriosis cases.</p><p><strong>Methods: </strong>This observational analytic correlational study aimed to explore the relationship between these inflammatory factors and vitamin D levels in endometriosis. The study involved 46 participants, with histopathologically confirmed endometriosis cyst tissue collected from patients undergoing laparotomy or laparoscopy at three hospitals: Dr. Hasan Sadikin Hospital Bandung, Cibabat General Hospital Cimahi, and Limijati Maternity and Children's Hospital. The levels of interleukin-32, vascular endothelial growth factor, and 1,25(OH)<sub>2</sub>D<sub>3</sub> were measured using the enzyme-linked immunosorbent assay method at the Clinical Pathology Laboratory of Dr. Hasan Sadikin Hospital Bandung.</p><p><strong>Results: </strong>The study revealed significant negative correlations between 1,25(OH)<sub>2</sub>D<sub>3</sub> and both interleukin-32 (<i>r</i> = -0.346; <i>p</i> = 0.019) and vascular endothelial growth factor levels (<i>r</i> = -0.316; <i>p</i> = 0.032). Conversely, there was a significant positive correlation between vascular endothelial growth factor and interleukin-32 (<i>r</i> = 0.490; <i>p</i> = 0.001).</p><p><strong>Conclusions: </strong>These findings underscore the role of active vitamin D in mitigating inflammation associated with endometriosis by reducing interleukin-32 and vascular endothelial growth factor, critical factors in inflammatory responses and blood vessel formation. Moreover, the positive association between vascular endothelial growth factor and interleukin-32 highlights their collaborative role in the inflammatory processes underlying endometriosis. This study contributes to understanding how vitamin D may modulate key inflammatory pathways implicated in the pathogenesis of this condition.</p>","PeriodicalId":21398,"journal":{"name":"SAGE Open Medicine","volume":"13 ","pages":"20503121251332405"},"PeriodicalIF":2.1000,"publicationDate":"2025-04-12","publicationTypes":"Journal Article","fieldsOfStudy":null,"isOpenAccess":false,"openAccessPdf":"https://www.ncbi.nlm.nih.gov/pmc/articles/PMC12033403/pdf/","citationCount":"0","resultStr":null,"platform":"Semanticscholar","paperid":null,"PeriodicalName":"SAGE Open Medicine","FirstCategoryId":"1085","ListUrlMain":"https://doi.org/10.1177/20503121251332405","RegionNum":0,"RegionCategory":null,"ArticlePicture":[],"TitleCN":null,"AbstractTextCN":null,"PMCID":null,"EPubDate":"2025/1/1 0:00:00","PubModel":"eCollection","JCR":"Q2","JCRName":"MEDICINE, GENERAL & INTERNAL","Score":null,"Total":0}
引用次数: 0

Abstract

Background: Endometriosis involves the presence of endometrial-like tissue outside the uterus, driven by inflammatory pathways including elevated interleukin-32 and vascular endothelial growth factor. One potential anti-inflammatory agent is active vitamin D (1,25(OH)2D3).

Objectives: This research investigates the correlation among 1,25(OH)2D3 levels, interleukin-32, and vascular endothelial growth factor in confirmed endometriosis cases.

Methods: This observational analytic correlational study aimed to explore the relationship between these inflammatory factors and vitamin D levels in endometriosis. The study involved 46 participants, with histopathologically confirmed endometriosis cyst tissue collected from patients undergoing laparotomy or laparoscopy at three hospitals: Dr. Hasan Sadikin Hospital Bandung, Cibabat General Hospital Cimahi, and Limijati Maternity and Children's Hospital. The levels of interleukin-32, vascular endothelial growth factor, and 1,25(OH)2D3 were measured using the enzyme-linked immunosorbent assay method at the Clinical Pathology Laboratory of Dr. Hasan Sadikin Hospital Bandung.

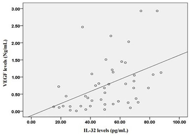
Results: The study revealed significant negative correlations between 1,25(OH)2D3 and both interleukin-32 (r = -0.346; p = 0.019) and vascular endothelial growth factor levels (r = -0.316; p = 0.032). Conversely, there was a significant positive correlation between vascular endothelial growth factor and interleukin-32 (r = 0.490; p = 0.001).

Conclusions: These findings underscore the role of active vitamin D in mitigating inflammation associated with endometriosis by reducing interleukin-32 and vascular endothelial growth factor, critical factors in inflammatory responses and blood vessel formation. Moreover, the positive association between vascular endothelial growth factor and interleukin-32 highlights their collaborative role in the inflammatory processes underlying endometriosis. This study contributes to understanding how vitamin D may modulate key inflammatory pathways implicated in the pathogenesis of this condition.

Abstract Image

Abstract Image

Abstract Image

子宫内膜异位症囊肿组织中1,25(OH)2D3水平与白细胞介素-32和血管内皮生长因子水平的关系:原创文章。
背景:子宫内膜异位症涉及子宫外子宫内膜样组织的存在,由炎症途径驱动,包括白细胞介素-32和血管内皮生长因子升高。一种潜在的抗炎剂是活性维生素D (1,25(OH)2D3)。目的:探讨子宫内膜异位症患者血清1,25(OH)2D3水平与白细胞介素-32、血管内皮生长因子的相关性。方法:本观察性分析相关性研究旨在探讨这些炎症因子与子宫内膜异位症患者维生素D水平的关系。该研究涉及46名参与者,组织病理学证实子宫内膜异位症囊肿组织收集自三家医院:Dr. Hasan Sadikin医院万隆、Cibabat综合医院Cimahi和Limijati妇幼医院进行剖腹手术或腹腔镜检查的患者。白细胞介素-32、血管内皮生长因子和1,25(OH)2D3的水平在万隆哈桑·萨迪金医生医院临床病理实验室采用酶联免疫吸附法测定。结果:1,25(OH)2D3与白细胞介素-32呈显著负相关(r = -0.346;P = 0.019)和血管内皮生长因子水平(r = -0.316;p = 0.032)。相反,血管内皮生长因子与白细胞介素-32呈显著正相关(r = 0.490;p = 0.001)。结论:这些发现强调了活性维生素D通过降低炎症反应和血管形成的关键因子白介素-32和血管内皮生长因子,在减轻与子宫内膜异位症相关的炎症中的作用。此外,血管内皮生长因子和白细胞介素-32之间的正相关强调了它们在子宫内膜异位症的炎症过程中的协同作用。这项研究有助于了解维生素D如何调节与这种疾病发病机制有关的关键炎症途径。
本文章由计算机程序翻译,如有差异,请以英文原文为准。
求助全文
约1分钟内获得全文 求助全文
来源期刊
SAGE Open Medicine
SAGE Open Medicine MEDICINE, GENERAL & INTERNAL-
CiteScore
3.50
自引率
4.30%
发文量
289
审稿时长
12 weeks
×
引用
GB/T 7714-2015
复制
MLA
复制
APA
复制
导出至
BibTeX EndNote RefMan NoteFirst NoteExpress
×
提示
您的信息不完整,为了账户安全,请先补充。
现在去补充
×
提示
您因"违规操作"
具体请查看互助需知
我知道了
×
提示
确定
请完成安全验证×
copy
已复制链接
快去分享给好友吧!
我知道了
右上角分享
点击右上角分享
0
联系我们:info@booksci.cn Book学术提供免费学术资源搜索服务,方便国内外学者检索中英文文献。致力于提供最便捷和优质的服务体验。 Copyright © 2023 布克学术 All rights reserved.
京ICP备2023020795号-1
ghs 京公网安备 11010802042870号
Book学术文献互助
Book学术文献互助群
群 号:604180095
Book学术官方微信