Validation of a digital, partly automated three-dimensional cast analysis for evaluation of orthodontic treatment assessment.

IF 2.4 2区 医学 Q2 DENTISTRY, ORAL SURGERY & MEDICINE
Franziska A Lang, Norbert A Lang, Julia Vorloeper, Christian Niederau, Rogerio B Craveiro, Isabel Knaup, Michael Wolf
{"title":"Validation of a digital, partly automated three-dimensional cast analysis for evaluation of orthodontic treatment assessment.","authors":"Franziska A Lang, Norbert A Lang, Julia Vorloeper, Christian Niederau, Rogerio B Craveiro, Isabel Knaup, Michael Wolf","doi":"10.1186/s13005-025-00515-8","DOIUrl":null,"url":null,"abstract":"<p><strong>Background: </strong>Plaster models have been considered the gold standard in traditional orthodontic model analysis. Modern imaging techniques and ever-advancing technologies have expanded the scope of digital diagnostic tools. These innovations allow the use of devices specifically designed for the diagnosis of 3D structures. The aim of this method comparison study was to determine the accuracy and efficiency of digital measurements compared to conventional manual measurements on plaster models.</p><p><strong>Materials and methods: </strong>The present cohort constitutes the evaluation of pretherapeutic situation models of 247 orthodontically treated patients (129 females and 118 males, average age 16.76 +- 9.49 years) with mixed or permanent dentition who were treated at the University Hospital RWTH Aachen between January 2018 and December 2020. Plaster models were digitised using a model scanner, and an experienced examiner performed various measurements on blinded plaster models using a calliper and on digital models using the specially developed 'Tooth width analysis Aachen' patch in the OnyxCeph3TM-3D software. The intra-rater and inter-rater reliability were determined by a second, blinded assessor. Measurements included tooth width, crown height, arch width, arch length and arch circumference, as well as overjet and overbite. Differences between analogue and digital methods were calculated.</p><p><strong>Results: </strong>Differences of up to 0.3 mm were observed between manual and partially automated digital measurements for sagittal, transversal and vertical parameters. Teeth with close proximal contact to adjacent teeth and teeth in jaws with a negative space analysis result showed an increased difference between manual and partially automated digital measurements, although this was not clinically relevant. The time required to perform digital measurements was statistically significantly reduced.</p><p><strong>Conclusions: </strong>Partially automated digital impression analysis offers an accurate, highly efficient and time-saving alternative to traditional manual impression analysis.</p>","PeriodicalId":12994,"journal":{"name":"Head & Face Medicine","volume":"21 1","pages":"36"},"PeriodicalIF":2.4000,"publicationDate":"2025-05-08","publicationTypes":"Journal Article","fieldsOfStudy":null,"isOpenAccess":false,"openAccessPdf":"https://www.ncbi.nlm.nih.gov/pmc/articles/PMC12060358/pdf/","citationCount":"0","resultStr":null,"platform":"Semanticscholar","paperid":null,"PeriodicalName":"Head & Face Medicine","FirstCategoryId":"3","ListUrlMain":"https://doi.org/10.1186/s13005-025-00515-8","RegionNum":2,"RegionCategory":"医学","ArticlePicture":[],"TitleCN":null,"AbstractTextCN":null,"PMCID":null,"EPubDate":"","PubModel":"","JCR":"Q2","JCRName":"DENTISTRY, ORAL SURGERY & MEDICINE","Score":null,"Total":0}
引用次数: 0

Abstract

Background: Plaster models have been considered the gold standard in traditional orthodontic model analysis. Modern imaging techniques and ever-advancing technologies have expanded the scope of digital diagnostic tools. These innovations allow the use of devices specifically designed for the diagnosis of 3D structures. The aim of this method comparison study was to determine the accuracy and efficiency of digital measurements compared to conventional manual measurements on plaster models.

Materials and methods: The present cohort constitutes the evaluation of pretherapeutic situation models of 247 orthodontically treated patients (129 females and 118 males, average age 16.76 +- 9.49 years) with mixed or permanent dentition who were treated at the University Hospital RWTH Aachen between January 2018 and December 2020. Plaster models were digitised using a model scanner, and an experienced examiner performed various measurements on blinded plaster models using a calliper and on digital models using the specially developed 'Tooth width analysis Aachen' patch in the OnyxCeph3TM-3D software. The intra-rater and inter-rater reliability were determined by a second, blinded assessor. Measurements included tooth width, crown height, arch width, arch length and arch circumference, as well as overjet and overbite. Differences between analogue and digital methods were calculated.

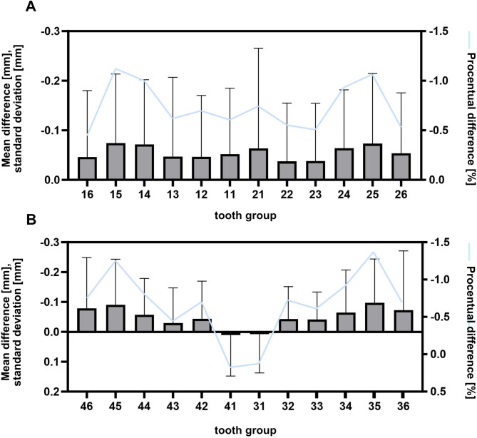
Results: Differences of up to 0.3 mm were observed between manual and partially automated digital measurements for sagittal, transversal and vertical parameters. Teeth with close proximal contact to adjacent teeth and teeth in jaws with a negative space analysis result showed an increased difference between manual and partially automated digital measurements, although this was not clinically relevant. The time required to perform digital measurements was statistically significantly reduced.

Conclusions: Partially automated digital impression analysis offers an accurate, highly efficient and time-saving alternative to traditional manual impression analysis.

Abstract Image

Abstract Image

Abstract Image

验证数字,部分自动化三维铸型分析评估正畸治疗评估。
背景:石膏模型被认为是传统正畸模型分析的金标准。现代成像技术和不断进步的技术扩大了数字诊断工具的范围。这些创新允许使用专门为3D结构诊断设计的设备。该方法比较研究的目的是确定数字测量与传统手工测量石膏模型的准确性和效率。材料与方法:本队列对2018年1月至2020年12月在亚琛工业大学医院接受正畸治疗的247例混合或恒牙列患者(女性129例,男性118例,平均年龄16.76 +- 9.49岁)的治疗前情况模型进行评估。石膏模型使用模型扫描仪进行数字化,经验丰富的检查员使用卡尺对盲石膏模型进行各种测量,并使用OnyxCeph3TM-3D软件中专门开发的“牙齿宽度分析亚琛”贴片对数字模型进行各种测量。评估者内部和评估者之间的信度由第二个盲法评估者确定。测量包括牙宽、冠高、牙弓宽度、牙弓长度和牙弓周长,以及牙盖和牙合。计算了模拟方法与数字方法的差异。结果:在手动和部分自动化的数字测量矢状、横向和垂直参数之间,差异可达0.3 mm。与相邻牙齿近端接触的牙齿和下颌中具有负空间分析结果的牙齿显示人工和部分自动化数字测量之间的差异增加,尽管这与临床无关。执行数字测量所需的时间在统计上显着减少。结论:部分自动化的数字印痕分析为传统的手工印痕分析提供了准确、高效和节省时间的替代方法。
本文章由计算机程序翻译,如有差异,请以英文原文为准。
求助全文
约1分钟内获得全文 求助全文
来源期刊
Head & Face Medicine
Head & Face Medicine DENTISTRY, ORAL SURGERY & MEDICINE-
CiteScore
4.70
自引率
3.30%
发文量
32
审稿时长
>12 weeks
期刊介绍: Head & Face Medicine is a multidisciplinary open access journal that publishes basic and clinical research concerning all aspects of cranial, facial and oral conditions. The journal covers all aspects of cranial, facial and oral diseases and their management. It has been designed as a multidisciplinary journal for clinicians and researchers involved in the diagnostic and therapeutic aspects of diseases which affect the human head and face. The journal is wide-ranging, covering the development, aetiology, epidemiology and therapy of head and face diseases to the basic science that underlies these diseases. Management of head and face diseases includes all aspects of surgical and non-surgical treatments including psychopharmacological therapies.
×
引用
GB/T 7714-2015
复制
MLA
复制
APA
复制
导出至
BibTeX EndNote RefMan NoteFirst NoteExpress
×
提示
您的信息不完整,为了账户安全,请先补充。
现在去补充
×
提示
您因"违规操作"
具体请查看互助需知
我知道了
×
提示
确定
请完成安全验证×
copy
已复制链接
快去分享给好友吧!
我知道了
右上角分享
点击右上角分享
0
联系我们:info@booksci.cn Book学术提供免费学术资源搜索服务,方便国内外学者检索中英文文献。致力于提供最便捷和优质的服务体验。 Copyright © 2023 布克学术 All rights reserved.
京ICP备2023020795号-1
ghs 京公网安备 11010802042870号
Book学术文献互助
Book学术文献互助群
群 号:604180095
Book学术官方微信