Polymyxin B-hemoperfusion in patients with acute exacerbation of idiopathic pulmonary fibrosis: a single-center prospective pilot study.

IF 2.4 4区 医学 Q2 MEDICINE, GENERAL & INTERNAL
Korean Journal of Internal Medicine Pub Date : 2025-05-01 Epub Date: 2025-04-30 DOI:10.3904/kjim.2024.244
Min Jee Kim, Jiyoul Yang, Jin Woo Song
{"title":"Polymyxin B-hemoperfusion in patients with acute exacerbation of idiopathic pulmonary fibrosis: a single-center prospective pilot study.","authors":"Min Jee Kim, Jiyoul Yang, Jin Woo Song","doi":"10.3904/kjim.2024.244","DOIUrl":null,"url":null,"abstract":"<p><strong>Background/aims: </strong>Patients with acute exacerbation of idiopathic pulmonary fibrosis (AE-IPF) typically have a poor prognosis; however, no effective treatment is available. In recent years, several retrospective studies have suggested the clinical benefits of direct hemoperfusion with a polymyxin B-immobilized fiber column (PMX-DHP) in patients with AE-IPF. Herein, we aimed to investigate the efficacy and safety of PMX-DHP treatment in patients with AE-IPF.</p><p><strong>Methods: </strong>Patients diagnosed with AE-IPF (n = 10) with a partial pressure of oxygen to fraction of inspiratory oxygen ratio (P/F ratio) > 100 were prospectively enrolled at a single center. PMX-DHP was performed twice for 6 hours (at 24-h intervals) at a flow rate of 80-100 mL/min, and steroid pulse therapy was concurrently administered (500 mg of methylprednisolone for 3 d).</p><p><strong>Results: </strong>The mean patient age was 67 years, and 80.0% were male. During the follow-up (median, 42.5 d; interquartile range, 16.0-174.0 d), seven (70.0%) patients died (including two who underwent transplantation); the in-hospital mortality rate was 70%, while the 30- and 90-day mortality rates were 50.0% and 70.0%, respectively. After 48 hours of PMX-DHP treatment, the P/F ratio improved (mean, 160.0 vs. 229.0; p = 0.054) and C-reactive protein level decreased (mean, 8.3 mg/dL vs. 3.5 mg/dL; p = 0.012). During hospitalization, no PMX-DHP-associated adverse events were observed.</p><p><strong>Conclusion: </strong>Our results suggest that PMX-DHP treatment may be useful at improving oxygenation and reducing inflammation in patients with AE-IPF with acceptable safety profiles, however without affecting their prognosis.</p>","PeriodicalId":48785,"journal":{"name":"Korean Journal of Internal Medicine","volume":"40 3","pages":"458-467"},"PeriodicalIF":2.4000,"publicationDate":"2025-05-01","publicationTypes":"Journal Article","fieldsOfStudy":null,"isOpenAccess":false,"openAccessPdf":"https://www.ncbi.nlm.nih.gov/pmc/articles/PMC12081109/pdf/","citationCount":"0","resultStr":null,"platform":"Semanticscholar","paperid":null,"PeriodicalName":"Korean Journal of Internal Medicine","FirstCategoryId":"3","ListUrlMain":"https://doi.org/10.3904/kjim.2024.244","RegionNum":4,"RegionCategory":"医学","ArticlePicture":[],"TitleCN":null,"AbstractTextCN":null,"PMCID":null,"EPubDate":"2025/4/30 0:00:00","PubModel":"Epub","JCR":"Q2","JCRName":"MEDICINE, GENERAL & INTERNAL","Score":null,"Total":0}
引用次数: 0

Abstract

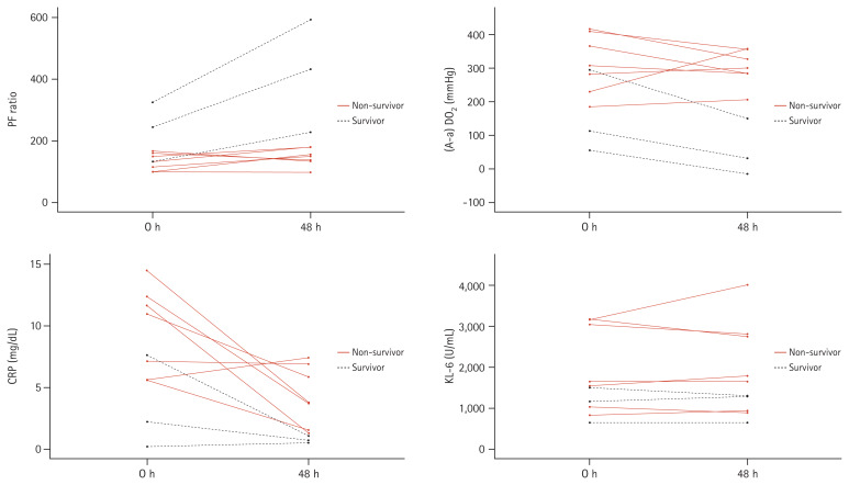
Background/aims: Patients with acute exacerbation of idiopathic pulmonary fibrosis (AE-IPF) typically have a poor prognosis; however, no effective treatment is available. In recent years, several retrospective studies have suggested the clinical benefits of direct hemoperfusion with a polymyxin B-immobilized fiber column (PMX-DHP) in patients with AE-IPF. Herein, we aimed to investigate the efficacy and safety of PMX-DHP treatment in patients with AE-IPF.

Methods: Patients diagnosed with AE-IPF (n = 10) with a partial pressure of oxygen to fraction of inspiratory oxygen ratio (P/F ratio) > 100 were prospectively enrolled at a single center. PMX-DHP was performed twice for 6 hours (at 24-h intervals) at a flow rate of 80-100 mL/min, and steroid pulse therapy was concurrently administered (500 mg of methylprednisolone for 3 d).

Results: The mean patient age was 67 years, and 80.0% were male. During the follow-up (median, 42.5 d; interquartile range, 16.0-174.0 d), seven (70.0%) patients died (including two who underwent transplantation); the in-hospital mortality rate was 70%, while the 30- and 90-day mortality rates were 50.0% and 70.0%, respectively. After 48 hours of PMX-DHP treatment, the P/F ratio improved (mean, 160.0 vs. 229.0; p = 0.054) and C-reactive protein level decreased (mean, 8.3 mg/dL vs. 3.5 mg/dL; p = 0.012). During hospitalization, no PMX-DHP-associated adverse events were observed.

Conclusion: Our results suggest that PMX-DHP treatment may be useful at improving oxygenation and reducing inflammation in patients with AE-IPF with acceptable safety profiles, however without affecting their prognosis.

Abstract Image

Abstract Image

Abstract Image

特发性肺纤维化急性加重患者的多粘菌素b血灌流:一项单中心前瞻性先导研究
背景/目的:特发性肺纤维化急性加重(AE-IPF)患者通常预后较差;然而,目前尚无有效的治疗方法。近年来,一些回顾性研究表明,多粘菌素b固定化纤维柱(PMX-DHP)直接血液灌流治疗AE-IPF患者的临床益处。本研究旨在探讨PMX-DHP治疗AE-IPF患者的有效性和安全性。方法:10例诊断为AE-IPF,分氧压与吸气氧比(P/F比)为bb100的患者,在单中心前瞻性入选。PMX-DHP两次,每次6小时(间隔24小时),流速为80-100 mL/min,同时给予类固醇脉冲治疗(500 mg甲基强的松龙3 d)。结果:患者平均年龄67岁,男性占80.0%。随访期间(中位数,42.5 d;四分位数范围(16.0-174.0 d), 7例(70.0%)患者死亡(包括2例接受移植);住院死亡率为70%,30天和90天死亡率分别为50.0%和70.0%。PMX-DHP处理48小时后,P/F比提高(平均160.0比229.0;p = 0.054), c反应蛋白水平降低(平均8.3 mg/dL vs. 3.5 mg/dL;P = 0.012)。住院期间,未观察到与pmx - dhp相关的不良事件。结论:我们的研究结果表明,PMX-DHP治疗可能有助于改善AE-IPF患者的氧合和减少炎症,并且具有可接受的安全性,但不会影响其预后。
本文章由计算机程序翻译,如有差异,请以英文原文为准。
求助全文
约1分钟内获得全文 求助全文
来源期刊
Korean Journal of Internal Medicine
Korean Journal of Internal Medicine MEDICINE, GENERAL & INTERNAL-
CiteScore
5.10
自引率
4.20%
发文量
129
审稿时长
20 weeks
期刊介绍: The Korean Journal of Internal Medicine is an international medical journal published in English by the Korean Association of Internal Medicine. The Journal publishes peer-reviewed original articles, reviews, and editorials on all aspects of medicine, including clinical investigations and basic research. Both human and experimental animal studies are welcome, as are new findings on the epidemiology, pathogenesis, diagnosis, and treatment of diseases. Case reports will be published only in exceptional circumstances, when they illustrate a rare occurrence of clinical importance. Letters to the editor are encouraged for specific comments on published articles and general viewpoints.
×
引用
GB/T 7714-2015
复制
MLA
复制
APA
复制
导出至
BibTeX EndNote RefMan NoteFirst NoteExpress
×
提示
您的信息不完整,为了账户安全,请先补充。
现在去补充
×
提示
您因"违规操作"
具体请查看互助需知
我知道了
×
提示
确定
请完成安全验证×
copy
已复制链接
快去分享给好友吧!
我知道了
右上角分享
点击右上角分享
0
联系我们:info@booksci.cn Book学术提供免费学术资源搜索服务,方便国内外学者检索中英文文献。致力于提供最便捷和优质的服务体验。 Copyright © 2023 布克学术 All rights reserved.
京ICP备2023020795号-1
ghs 京公网安备 11010802042870号
Book学术文献互助
Book学术文献互助群
群 号:604180095
Book学术官方微信