Predicting Mortality and Cirrhosis-Related Complications with MELD3.0: A Multicenter Cohort Analysis.

IF 3.2 3区 医学 Q2 GASTROENTEROLOGY & HEPATOLOGY
Gut and Liver Pub Date : 2025-05-15 Epub Date: 2025-04-11 DOI:10.5009/gnl240584
Jihye Lim, Ji Hoon Kim, Ahlim Lee, Ji Won Han, Soon Kyu Lee, Hyun Yang, Heechul Nam, Hae Lim Lee, Do Seon Song, Sung Won Lee, Hee Yeon Kim, Jung Hyun Kwon, Chang Wook Kim, U Im Chang, Soon Woo Nam, Seok-Hwan Kim, Pil Soo Sung, Jeong Won Jang, Si Hyun Bae, Jong Young Choi, Seung Kew Yoon, Myeong Jun Song
{"title":"Predicting Mortality and Cirrhosis-Related Complications with MELD3.0: A Multicenter Cohort Analysis.","authors":"Jihye Lim, Ji Hoon Kim, Ahlim Lee, Ji Won Han, Soon Kyu Lee, Hyun Yang, Heechul Nam, Hae Lim Lee, Do Seon Song, Sung Won Lee, Hee Yeon Kim, Jung Hyun Kwon, Chang Wook Kim, U Im Chang, Soon Woo Nam, Seok-Hwan Kim, Pil Soo Sung, Jeong Won Jang, Si Hyun Bae, Jong Young Choi, Seung Kew Yoon, Myeong Jun Song","doi":"10.5009/gnl240584","DOIUrl":null,"url":null,"abstract":"<p><strong>Background: </strong>/Aims: This study aimed to evaluate the performance of the Model for End-Stage Liver Disease (MELD) 3.0 for predicting mortality and liver-related complications compared with the Child-Pugh classification, albumin-bilirubin (ALBI) grade, the MELD, and the MELD sodium (MELDNa) score.</p><p><strong>Methods: </strong>We evaluated a multicenter retrospective cohort of incorporated patients with cirrhosis between 2013 and 2019. We conducted comparisons of the area under the receiver operating characteristic curve (AUROC) of the MELD3.0 and other models for predicting 3-month mortality. Additionally, we assessed the risk of cirrhosis-related complications according to the MELD3.0 score.</p><p><strong>Results: </strong>A total of 3,314 patients were included. The mean age was 55.9±11.3 years, and 70.2% of the patients were male. Within the initial 3 months, 220 patients (6.6%) died, and the MELD3.0 had the best predictive performance among the tested models, with an AUROC of 0.851, outperforming the Child-Pugh classification, ALBI grade, MELD, and MELDNa. A high MELD3.0 score was associated with an increased risk of mortality. Compared with that of the group with a MELD3.0 score <10 points, the adjusted hazard ratio of the group with a score of 10-20 points was 2.176, and that for the group with a score of ≥20 points was 4.892. Each 1-point increase in the MELD3.0 score increased the risk of cirrhosis-related complications by 1.033-fold. The risk of hepatorenal syndrome showed the highest increase, with an adjusted hazard ratio of 1.149, followed by hepatic encephalopathy and ascites.</p><p><strong>Conclusions: </strong>The MELD3.0 demonstrated robust prognostic performance in predicting mortality in patients with cirrhosis. Moreover, the MELD3.0 score was linked to cirrhosis-related complications, particularly those involving kidney function, such as hepatorenal syndrome and ascites.</p>","PeriodicalId":12885,"journal":{"name":"Gut and Liver","volume":"19 3","pages":"427-437"},"PeriodicalIF":3.2000,"publicationDate":"2025-05-15","publicationTypes":"Journal Article","fieldsOfStudy":null,"isOpenAccess":false,"openAccessPdf":"https://www.ncbi.nlm.nih.gov/pmc/articles/PMC12070204/pdf/","citationCount":"0","resultStr":null,"platform":"Semanticscholar","paperid":null,"PeriodicalName":"Gut and Liver","FirstCategoryId":"3","ListUrlMain":"https://doi.org/10.5009/gnl240584","RegionNum":3,"RegionCategory":"医学","ArticlePicture":[],"TitleCN":null,"AbstractTextCN":null,"PMCID":null,"EPubDate":"2025/4/11 0:00:00","PubModel":"Epub","JCR":"Q2","JCRName":"GASTROENTEROLOGY & HEPATOLOGY","Score":null,"Total":0}
引用次数: 0

Abstract

Background: /Aims: This study aimed to evaluate the performance of the Model for End-Stage Liver Disease (MELD) 3.0 for predicting mortality and liver-related complications compared with the Child-Pugh classification, albumin-bilirubin (ALBI) grade, the MELD, and the MELD sodium (MELDNa) score.

Methods: We evaluated a multicenter retrospective cohort of incorporated patients with cirrhosis between 2013 and 2019. We conducted comparisons of the area under the receiver operating characteristic curve (AUROC) of the MELD3.0 and other models for predicting 3-month mortality. Additionally, we assessed the risk of cirrhosis-related complications according to the MELD3.0 score.

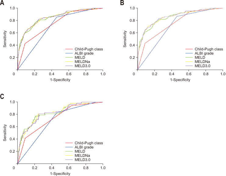
Results: A total of 3,314 patients were included. The mean age was 55.9±11.3 years, and 70.2% of the patients were male. Within the initial 3 months, 220 patients (6.6%) died, and the MELD3.0 had the best predictive performance among the tested models, with an AUROC of 0.851, outperforming the Child-Pugh classification, ALBI grade, MELD, and MELDNa. A high MELD3.0 score was associated with an increased risk of mortality. Compared with that of the group with a MELD3.0 score <10 points, the adjusted hazard ratio of the group with a score of 10-20 points was 2.176, and that for the group with a score of ≥20 points was 4.892. Each 1-point increase in the MELD3.0 score increased the risk of cirrhosis-related complications by 1.033-fold. The risk of hepatorenal syndrome showed the highest increase, with an adjusted hazard ratio of 1.149, followed by hepatic encephalopathy and ascites.

Conclusions: The MELD3.0 demonstrated robust prognostic performance in predicting mortality in patients with cirrhosis. Moreover, the MELD3.0 score was linked to cirrhosis-related complications, particularly those involving kidney function, such as hepatorenal syndrome and ascites.

Abstract Image

Abstract Image

Abstract Image

MELD3.0预测死亡率和肝硬化相关并发症:一项多中心队列分析。
背景/目的:本研究旨在评价终末期肝病(MELD) 3.0模型与Child-Pugh分级、白蛋白-胆红素(ALBI)分级、MELD和MELD钠(MELDNa)评分在预测死亡率和肝脏相关并发症方面的性能。方法:我们评估了2013年至2019年合并肝硬化患者的多中心回顾性队列。我们比较了MELD3.0与其他预测3个月死亡率模型的受试者工作特征曲线下面积(AUROC)。此外,我们根据MELD3.0评分评估肝硬化相关并发症的风险。结果:共纳入3314例患者。平均年龄55.9±11.3岁,男性占70.2%。在最初的3个月内,220例患者(6.6%)死亡,MELD3.0在测试模型中具有最好的预测性能,AUROC为0.851,优于Child-Pugh分类、ALBI分级、MELD和MELDNa。MELD3.0评分高与死亡风险增加相关。结论:MELD3.0在预测肝硬化患者死亡率方面表现出良好的预后效果。此外,MELD3.0评分与肝硬化相关并发症有关,特别是涉及肾功能的并发症,如肝肾综合征和腹水。
本文章由计算机程序翻译,如有差异,请以英文原文为准。
求助全文
约1分钟内获得全文 求助全文
来源期刊
Gut and Liver
Gut and Liver 医学-胃肠肝病学
CiteScore
7.50
自引率
8.80%
发文量
119
审稿时长
6-12 weeks
期刊介绍: Gut and Liver is an international journal of gastroenterology, focusing on the gastrointestinal tract, liver, biliary tree, pancreas, motility, and neurogastroenterology. Gut and Liver delivers up-to-date, authoritative papers on both clinical and research-based topics in gastroenterology. The Journal publishes original articles, case reports, brief communications, letters to the editor and invited review articles in the field of gastroenterology. The Journal is operated by internationally renowned editorial boards and designed to provide a global opportunity to promote academic developments in the field of gastroenterology and hepatology. Gut and Liver is jointly owned and operated by 8 affiliated societies in the field of gastroenterology, namely: the Korean Society of Gastroenterology, the Korean Society of Gastrointestinal Endoscopy, the Korean Society of Neurogastroenterology and Motility, the Korean College of Helicobacter and Upper Gastrointestinal Research, the Korean Association for the Study of Intestinal Diseases, the Korean Association for the Study of the Liver, the Korean Pancreatobiliary Association, and the Korean Society of Gastrointestinal Cancer.
×
引用
GB/T 7714-2015
复制
MLA
复制
APA
复制
导出至
BibTeX EndNote RefMan NoteFirst NoteExpress
×
提示
您的信息不完整,为了账户安全,请先补充。
现在去补充
×
提示
您因"违规操作"
具体请查看互助需知
我知道了
×
提示
确定
请完成安全验证×
copy
已复制链接
快去分享给好友吧!
我知道了
右上角分享
点击右上角分享
0
联系我们:info@booksci.cn Book学术提供免费学术资源搜索服务,方便国内外学者检索中英文文献。致力于提供最便捷和优质的服务体验。 Copyright © 2023 布克学术 All rights reserved.
京ICP备2023020795号-1
ghs 京公网安备 11010802042870号
Book学术文献互助
Book学术文献互助群
群 号:604180095
Book学术官方微信
小红书