MicroRNA-34a Mediates the Aldosterone-Induced Acceleration of Endothelial Senescence.

IF 1.7 4区 医学 Q3 PERIPHERAL VASCULAR DISEASE
International Journal of Hypertension Pub Date : 2025-02-26 eCollection Date: 2025-01-01 DOI:10.1155/ijhy/2339598
Minyue Jia, Liya Lin, Boyun Yang, Hanxiao Yu, Shan Zhong, Xiaohong Xu, Xiaoxiao Song
{"title":"MicroRNA-34a Mediates the Aldosterone-Induced Acceleration of Endothelial Senescence.","authors":"Minyue Jia, Liya Lin, Boyun Yang, Hanxiao Yu, Shan Zhong, Xiaohong Xu, Xiaoxiao Song","doi":"10.1155/ijhy/2339598","DOIUrl":null,"url":null,"abstract":"<p><p>Inappropriate aldosterone production relative to sodium status is known to induce arterial hypertension and cause detrimental effects on endothelium and vascular remodeling. This study investigated whether microRNAs (miRs) serve as key mediators of aldosterone's effects on endothelial dysfunction. Using human umbilical vein endothelial cells (HUVECs) as a model system, we demonstrated that aldosterone treatment suppressed cellular proliferation and migration while promoting senescence. Mechanistically, we observed that aldosterone exposure significantly upregulated miR-34a expression in HUVECs. The functional significance of miR-34a was confirmed when specific inhibitors reversed aldosterone's antiproliferative and prosenescence effects. To elucidate the underlying molecular pathway, we performed comprehensive biological analyses, which revealed that miR-34a target genes were predominantly associated with the Notch signaling pathway. Western blot analysis further validated that miR-34a promotes senescence in HUVECs through negative regulation of NOTCH1. Collectively, our findings identify miR-34a as a crucial mediator of aldosterone-induced endothelial cell senescence via the NOTCH1 signaling pathway, suggesting its potential as a therapeutic target for aldosterone-related vascular diseases.</p>","PeriodicalId":14132,"journal":{"name":"International Journal of Hypertension","volume":"2025 ","pages":"2339598"},"PeriodicalIF":1.7000,"publicationDate":"2025-02-26","publicationTypes":"Journal Article","fieldsOfStudy":null,"isOpenAccess":false,"openAccessPdf":"https://www.ncbi.nlm.nih.gov/pmc/articles/PMC11986190/pdf/","citationCount":"0","resultStr":null,"platform":"Semanticscholar","paperid":null,"PeriodicalName":"International Journal of Hypertension","FirstCategoryId":"3","ListUrlMain":"https://doi.org/10.1155/ijhy/2339598","RegionNum":4,"RegionCategory":"医学","ArticlePicture":[],"TitleCN":null,"AbstractTextCN":null,"PMCID":null,"EPubDate":"2025/1/1 0:00:00","PubModel":"eCollection","JCR":"Q3","JCRName":"PERIPHERAL VASCULAR DISEASE","Score":null,"Total":0}
引用次数: 0

Abstract

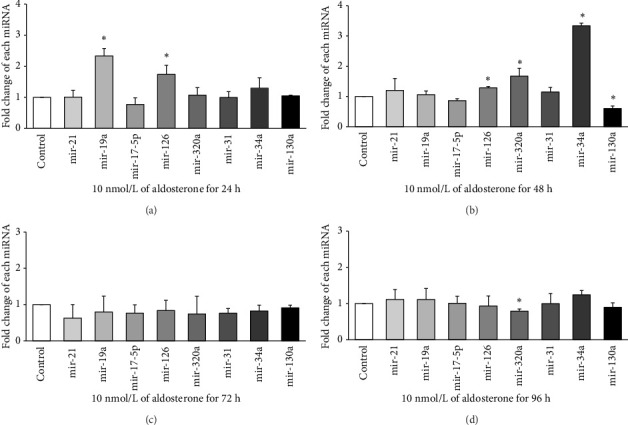
Inappropriate aldosterone production relative to sodium status is known to induce arterial hypertension and cause detrimental effects on endothelium and vascular remodeling. This study investigated whether microRNAs (miRs) serve as key mediators of aldosterone's effects on endothelial dysfunction. Using human umbilical vein endothelial cells (HUVECs) as a model system, we demonstrated that aldosterone treatment suppressed cellular proliferation and migration while promoting senescence. Mechanistically, we observed that aldosterone exposure significantly upregulated miR-34a expression in HUVECs. The functional significance of miR-34a was confirmed when specific inhibitors reversed aldosterone's antiproliferative and prosenescence effects. To elucidate the underlying molecular pathway, we performed comprehensive biological analyses, which revealed that miR-34a target genes were predominantly associated with the Notch signaling pathway. Western blot analysis further validated that miR-34a promotes senescence in HUVECs through negative regulation of NOTCH1. Collectively, our findings identify miR-34a as a crucial mediator of aldosterone-induced endothelial cell senescence via the NOTCH1 signaling pathway, suggesting its potential as a therapeutic target for aldosterone-related vascular diseases.

Abstract Image

Abstract Image

Abstract Image

MicroRNA-34a介导醛固酮诱导的内皮细胞加速衰老。
醛固酮产生与钠状态相关的不适当可诱发动脉高血压,并对内皮细胞和血管重构造成有害影响。本研究探讨了microRNAs (miRs)是否作为醛固酮对内皮功能障碍影响的关键介质。以人脐静脉内皮细胞(HUVECs)为模型系统,我们证明醛固酮治疗抑制细胞增殖和迁移,同时促进衰老。在机制上,我们观察到醛固酮暴露显著上调了huvec中miR-34a的表达。当特异性抑制剂逆转醛固酮的抗增殖和衰老作用时,miR-34a的功能意义得到证实。为了阐明潜在的分子途径,我们进行了全面的生物学分析,发现miR-34a靶基因主要与Notch信号通路相关。Western blot分析进一步验证了miR-34a通过负调控NOTCH1促进HUVECs衰老。总之,我们的研究结果确定miR-34a是醛固酮诱导的内皮细胞衰老的关键介质,通过NOTCH1信号通路,提示其作为醛固酮相关血管疾病的治疗靶点的潜力。
本文章由计算机程序翻译,如有差异,请以英文原文为准。
求助全文
约1分钟内获得全文 求助全文
来源期刊
International Journal of Hypertension
International Journal of Hypertension Medicine-Internal Medicine
CiteScore
4.00
自引率
5.30%
发文量
45
期刊介绍: International Journal of Hypertension is a peer-reviewed, Open Access journal that provides a forum for clinicians and basic scientists interested in blood pressure regulation and pathophysiology, as well as treatment and prevention of hypertension. The journal publishes original research articles, review articles, and clinical studies on the etiology and risk factors of hypertension, with a special focus on vascular biology, epidemiology, pediatric hypertension, and hypertensive nephropathy.
×
引用
GB/T 7714-2015
复制
MLA
复制
APA
复制
导出至
BibTeX EndNote RefMan NoteFirst NoteExpress
×
提示
您的信息不完整,为了账户安全,请先补充。
现在去补充
×
提示
您因"违规操作"
具体请查看互助需知
我知道了
×
提示
确定
请完成安全验证×
copy
已复制链接
快去分享给好友吧!
我知道了
右上角分享
点击右上角分享
0
联系我们:info@booksci.cn Book学术提供免费学术资源搜索服务,方便国内外学者检索中英文文献。致力于提供最便捷和优质的服务体验。 Copyright © 2023 布克学术 All rights reserved.
京ICP备2023020795号-1
ghs 京公网安备 11010802042870号
Book学术文献互助
Book学术文献互助群
群 号:604180095
Book学术官方微信