Evaluation of pulse modulation settings for optimal pop-dusting efficiency using the Quanta Litho 150 laser: An in vitro study.

IF 0.8 Q4 UROLOGY & NEPHROLOGY
Urology Annals Pub Date : 2025-04-01 Epub Date: 2025-04-17 DOI:10.4103/ua.ua_6_25
Victor Sandoval, Stephen Hassig, Mitchell Hoestermann, Connor Bittlingmaier, Regan Merkin, George K Siodis, Thomas Osinski, Nitin Sharma, Rajat Kumar Jain, Scott Quarrier
{"title":"Evaluation of pulse modulation settings for optimal pop-dusting efficiency using the Quanta Litho 150 laser: An <i>in vitro</i> study.","authors":"Victor Sandoval, Stephen Hassig, Mitchell Hoestermann, Connor Bittlingmaier, Regan Merkin, George K Siodis, Thomas Osinski, Nitin Sharma, Rajat Kumar Jain, Scott Quarrier","doi":"10.4103/ua.ua_6_25","DOIUrl":null,"url":null,"abstract":"<p><strong>Purpose: </strong>The novel Quanta Litho 150 W (Samarate, Italy) was recently introduced and incorporates new pulsed modulation settings. We sought to analyze ablation rate and efficiency in short pulse (SP), virtual basket (VB), and vapor tunnel (VT) pulsed modulations, in an <i>in vitro</i> pop-dusting simulation across different settings at a fixed power of 30 Watts (W) and fixed periods of time.</p><p><strong>Materials and methods: </strong>Seven millimeter BegoStone phantoms were subjected to lithotripsy in a simulated calyx using Holmium: yttrium:aluminum garnet Quanta System 150 W. 30 W was applied at different settings across three pulse modulation modes: SP, VB, and VT. Ablation rate and efficiency were and compared between the three groups.</p><p><strong>Results: </strong>Maximum ablation efficiency for the VB and VT groups was achieved at VB 2J x 15 Hz and VT at 2.5 J x 12 Hz. Ablation efficiency decreased with higher Joules. VB at 1.5 J x 20 Hz and SP at 2.5 J x 12 Hz were the only settings to obtain 85% ablation at 5 min.</p><p><strong>Conclusions: </strong><i>In vitro</i> laser lithotripsy using a BegoStone phantom, VB at 2J x15 Hz and VT at 2.5 J x 12 Hz were the most efficient setting for pop-dusting with the Quanta Litho 150. The highest efficiency (mg/min) was achieved with VB at 2 J x 15 Hz and VT at 2.5 J x 12 Hz at 1:15 min.</p>","PeriodicalId":23633,"journal":{"name":"Urology Annals","volume":"17 2","pages":"120-126"},"PeriodicalIF":0.8000,"publicationDate":"2025-04-01","publicationTypes":"Journal Article","fieldsOfStudy":null,"isOpenAccess":false,"openAccessPdf":"https://www.ncbi.nlm.nih.gov/pmc/articles/PMC12063913/pdf/","citationCount":"0","resultStr":null,"platform":"Semanticscholar","paperid":null,"PeriodicalName":"Urology Annals","FirstCategoryId":"1085","ListUrlMain":"https://doi.org/10.4103/ua.ua_6_25","RegionNum":0,"RegionCategory":null,"ArticlePicture":[],"TitleCN":null,"AbstractTextCN":null,"PMCID":null,"EPubDate":"2025/4/17 0:00:00","PubModel":"Epub","JCR":"Q4","JCRName":"UROLOGY & NEPHROLOGY","Score":null,"Total":0}
引用次数: 0

Abstract

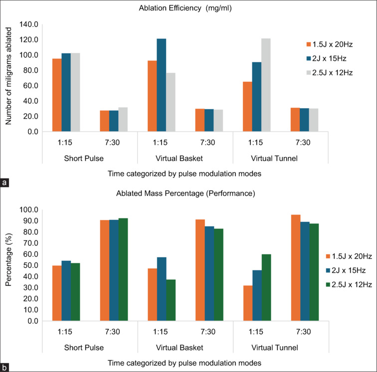
Purpose: The novel Quanta Litho 150 W (Samarate, Italy) was recently introduced and incorporates new pulsed modulation settings. We sought to analyze ablation rate and efficiency in short pulse (SP), virtual basket (VB), and vapor tunnel (VT) pulsed modulations, in an in vitro pop-dusting simulation across different settings at a fixed power of 30 Watts (W) and fixed periods of time.

Materials and methods: Seven millimeter BegoStone phantoms were subjected to lithotripsy in a simulated calyx using Holmium: yttrium:aluminum garnet Quanta System 150 W. 30 W was applied at different settings across three pulse modulation modes: SP, VB, and VT. Ablation rate and efficiency were and compared between the three groups.

Results: Maximum ablation efficiency for the VB and VT groups was achieved at VB 2J x 15 Hz and VT at 2.5 J x 12 Hz. Ablation efficiency decreased with higher Joules. VB at 1.5 J x 20 Hz and SP at 2.5 J x 12 Hz were the only settings to obtain 85% ablation at 5 min.

Conclusions: In vitro laser lithotripsy using a BegoStone phantom, VB at 2J x15 Hz and VT at 2.5 J x 12 Hz were the most efficient setting for pop-dusting with the Quanta Litho 150. The highest efficiency (mg/min) was achieved with VB at 2 J x 15 Hz and VT at 2.5 J x 12 Hz at 1:15 min.

Abstract Image

Abstract Image

Abstract Image

利用Quanta Litho 150激光器评估脉冲调制设置的最佳喷射效率:一项体外研究。
目的:新型Quanta Litho 150w (Samarate, Italy)最近推出,并采用了新的脉冲调制设置。我们试图分析短脉冲(SP)、虚拟篮子(VB)和蒸汽隧道(VT)脉冲调制下的消融速率和效率,在不同设置下的体外爆破除尘模拟中,在固定功率为30瓦(W)和固定时间下。材料和方法:采用Holmium:钇:铝石榴石Quanta System 150 W.在三种脉冲调制模式(SP、VB和VT)下的不同设置下应用30w,对7毫米BegoStone模型在模拟花萼中进行碎石。比较三组之间的烧蚀率和效率。结果:VB组和VT组的消融效率在VB 2J × 15hz和VT 2.5 J × 12hz时达到最大。焦耳越高,烧蚀效率越低。1.5 J × 20 Hz的VB和2.5 J × 12 Hz的SP是在5分钟内获得85%消融的唯一设置。结论:使用BegoStone幻影进行体外激光碎石,2J × 15 Hz的VB和2.5 J × 12 Hz的VT是使用Quanta Litho 150进行爆破除尘的最有效设置。以2 J × 15 Hz的VB和2.5 J × 12 Hz的VT在1:15 min时达到最高效率(mg/min)。
本文章由计算机程序翻译,如有差异,请以英文原文为准。
求助全文
约1分钟内获得全文 求助全文
来源期刊
Urology Annals
Urology Annals UROLOGY & NEPHROLOGY-
CiteScore
1.20
自引率
0.00%
发文量
59
审稿时长
31 weeks
×
引用
GB/T 7714-2015
复制
MLA
复制
APA
复制
导出至
BibTeX EndNote RefMan NoteFirst NoteExpress
×
提示
您的信息不完整,为了账户安全,请先补充。
现在去补充
×
提示
您因"违规操作"
具体请查看互助需知
我知道了
×
提示
确定
请完成安全验证×
copy
已复制链接
快去分享给好友吧!
我知道了
右上角分享
点击右上角分享
0
联系我们:info@booksci.cn Book学术提供免费学术资源搜索服务,方便国内外学者检索中英文文献。致力于提供最便捷和优质的服务体验。 Copyright © 2023 布克学术 All rights reserved.
京ICP备2023020795号-1
ghs 京公网安备 11010802042870号
Book学术文献互助
Book学术文献互助群
群 号:604180095
Book学术官方微信