[Innate immune response to interferon gamma in severe Covid-19 positive patients].

Fabiola Del Rocío Villalobos-Gómez, Anastacio Palacios-Marmolejo, Rogelio Salinas-Gutiérrez, Hugo Enrique Lagunes-Servín
{"title":"[Innate immune response to interferon gamma in severe Covid-19 positive patients].","authors":"Fabiola Del Rocío Villalobos-Gómez, Anastacio Palacios-Marmolejo, Rogelio Salinas-Gutiérrez, Hugo Enrique Lagunes-Servín","doi":"10.5281/zenodo.14617070","DOIUrl":null,"url":null,"abstract":"<p><strong>Background: </strong>SARS-CoV-2 is associated with the activation of innate immunity, with an observed increase in neutrophils, mononuclear phagocytes, and natural killer cells, as well as a decrease in T cells. Interferon plays important roles in restricting viruses and is crucial because it participates in both innate and adaptive immunity. Gamma interferon (IFN-γ) is a cytokine that plays a fundamental role in maintaining homeostasis in the body, both in vitro and in vivo.</p><p><strong>Objective: </strong>An immunological study was conducted to measure the concentrations of IFN-γ in severe SARS-CoV-2-positive patients.</p><p><strong>Material and methods: </strong>Around 500 sera from patients with similar respiratory comorbidities at the onset of the disease were analyzed, using healthy patients as controls. The sera from SARS-CoV-2-positive individuals were processed using the ELISA technique, and the statistical treatment of the data involved creating a database with the absorbance readings, which were then converted into concentrations in pg/ml.</p><p><strong>Results: </strong>We can infer that the amount of IFN-γ expression depends on the patient's condition; the more severe the patient's condition, the higher the expression of this cytokine compared to their baseline levels, ranging from 0 to 0.5 μg/ml.</p><p><strong>Conclusion: </strong>It is suggested that the IFN-γ response plays an important role in controlling the disease, and effective therapies are recommended for the treatment of Covid-19, which will lead to the implementation of therapeutic approaches aimed at counteracting the immune system, especially in the more severe forms of the disease.</p>","PeriodicalId":94200,"journal":{"name":"Revista medica del Instituto Mexicano del Seguro Social","volume":"63 2","pages":"e6353"},"PeriodicalIF":0.0000,"publicationDate":"2025-03-03","publicationTypes":"Journal Article","fieldsOfStudy":null,"isOpenAccess":false,"openAccessPdf":"https://www.ncbi.nlm.nih.gov/pmc/articles/PMC12165371/pdf/","citationCount":"0","resultStr":null,"platform":"Semanticscholar","paperid":null,"PeriodicalName":"Revista medica del Instituto Mexicano del Seguro Social","FirstCategoryId":"1085","ListUrlMain":"https://doi.org/10.5281/zenodo.14617070","RegionNum":0,"RegionCategory":null,"ArticlePicture":[],"TitleCN":null,"AbstractTextCN":null,"PMCID":null,"EPubDate":"","PubModel":"","JCR":"","JCRName":"","Score":null,"Total":0}
引用次数: 0

Abstract

Background: SARS-CoV-2 is associated with the activation of innate immunity, with an observed increase in neutrophils, mononuclear phagocytes, and natural killer cells, as well as a decrease in T cells. Interferon plays important roles in restricting viruses and is crucial because it participates in both innate and adaptive immunity. Gamma interferon (IFN-γ) is a cytokine that plays a fundamental role in maintaining homeostasis in the body, both in vitro and in vivo.

Objective: An immunological study was conducted to measure the concentrations of IFN-γ in severe SARS-CoV-2-positive patients.

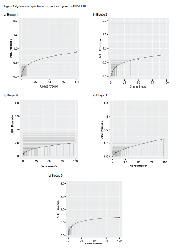
Material and methods: Around 500 sera from patients with similar respiratory comorbidities at the onset of the disease were analyzed, using healthy patients as controls. The sera from SARS-CoV-2-positive individuals were processed using the ELISA technique, and the statistical treatment of the data involved creating a database with the absorbance readings, which were then converted into concentrations in pg/ml.

Results: We can infer that the amount of IFN-γ expression depends on the patient's condition; the more severe the patient's condition, the higher the expression of this cytokine compared to their baseline levels, ranging from 0 to 0.5 μg/ml.

Conclusion: It is suggested that the IFN-γ response plays an important role in controlling the disease, and effective therapies are recommended for the treatment of Covid-19, which will lead to the implementation of therapeutic approaches aimed at counteracting the immune system, especially in the more severe forms of the disease.

Abstract Image

[Covid-19严重阳性患者对干扰素γ的先天免疫应答]。
背景:SARS-CoV-2与先天免疫的激活有关,观察到中性粒细胞、单核吞噬细胞和自然杀伤细胞增加,以及T细胞减少。干扰素在限制病毒方面发挥着重要作用,因为它参与先天免疫和适应性免疫。γ干扰素(IFN-γ)是一种细胞因子,在体外和体内维持体内稳态中起着重要作用。目的:通过免疫学研究检测sars - cov -2严重阳性患者体内IFN-γ的浓度。材料和方法:以健康患者为对照,分析了疾病发病时具有类似呼吸道合并症患者的约500份血清。使用ELISA技术处理来自sars - cov -2阳性个体的血清,数据的统计处理包括创建吸光度读数数据库,然后将其转换为以pg/ml为单位的浓度。结果:我们可以推断,IFN-γ的表达量与患者的病情有关;患者病情越严重,与基线水平相比,该细胞因子的表达越高,范围为0至0.5 μg/ml。结论:提示IFN-γ反应在控制疾病中发挥重要作用,建议有效的治疗方法用于治疗Covid-19,这将导致实施旨在对抗免疫系统的治疗方法,特别是在更严重的疾病形式中。
本文章由计算机程序翻译,如有差异,请以英文原文为准。
求助全文
约1分钟内获得全文 求助全文
来源期刊
自引率
0.00%
发文量
0
×
引用
GB/T 7714-2015
复制
MLA
复制
APA
复制
导出至
BibTeX EndNote RefMan NoteFirst NoteExpress
×
提示
您的信息不完整,为了账户安全,请先补充。
现在去补充
×
提示
您因"违规操作"
具体请查看互助需知
我知道了
×
提示
确定
请完成安全验证×
copy
已复制链接
快去分享给好友吧!
我知道了
右上角分享
点击右上角分享
0
联系我们:info@booksci.cn Book学术提供免费学术资源搜索服务,方便国内外学者检索中英文文献。致力于提供最便捷和优质的服务体验。 Copyright © 2023 布克学术 All rights reserved.
京ICP备2023020795号-1
ghs 京公网安备 11010802042870号
Book学术文献互助
Book学术文献互助群
群 号:604180095
Book学术官方微信