Compliance and Performance of Hand Hygiene in Dutch General Practice Offices Using Electronic Dispensers.

IF 2.5 Q1 PRIMARY HEALTH CARE
Nataliya Hilt, Matthijs S Berends, Mariëtte Lokate, Bert Tent, Andreas Voss
{"title":"Compliance and Performance of Hand Hygiene in Dutch General Practice Offices Using Electronic Dispensers.","authors":"Nataliya Hilt, Matthijs S Berends, Mariëtte Lokate, Bert Tent, Andreas Voss","doi":"10.1177/21501319251334218","DOIUrl":null,"url":null,"abstract":"<p><strong>Introduction: </strong>One of the most effective measures for the reduction and prevention of healthcare-associated infections (HAI) is hand hygiene (HH). Covert direct observation of HH is difficult to realize in general practice office (GPO). The World Health Organization recognizes electronic monitoring as a form of measuring product use and estimating compliance. This is the first study to monitor HH performance electronically in Dutch GPOs.</p><p><strong>Objectives: </strong>The main aim of this study was to evaluate HH compliance in general practice offices.</p><p><strong>Methods: </strong>An observational study was conducted at 4 Dutch GPOs between 2019 and 2021. We measured HH compliance using data on HH events (HHE) from alcohol-based hand rub (ABHR) dispensers with a built-in electronic counter. Daily HH opportunities were calculated according to the 'Five Moments for Hand Hygiene' based on the continuously documented activities using general practitioners (GPs) patient electronic dossier systems.</p><p><strong>Results: </strong>In total, hand hygiene was performed during 1786 of the estimated 4322 opportunities (41%). HH compliance for the general practitioners, practice assistants, and nurse practitioners was 38%, 51%, and 43%, respectively. The overall HH compliance within the same GPOs was 42% pre-pandemic and rose to 56% during the pandemic. The overall mean volume of ABHR was 2.44 ml, varying per HHE between 1.91 to 2.55 ml. The mean volume of ABHR measured before and during the pandemic rose from 2.55 ml to 2.81 ml. The overall self-reported compliance was 86% and was highest among nurse practitioners.</p><p><strong>Conclusions: </strong>Hand hygiene compliance among HCWs in Dutch GPOs was found to be 41%, with general practitioners having the lowest compliance and practice assistants the highest compliance. While the mean volume of ABHR used per HHE seems appropriate, directed observations would be needed to ensure that an adequate hand-rub technique was used to cover the whole hand. Multi-modal interventions are needed to improve HH-compliance and stimulate the switch to ABHR with in the Dutch general practice office.</p>","PeriodicalId":46723,"journal":{"name":"Journal of Primary Care and Community Health","volume":"16 ","pages":"21501319251334218"},"PeriodicalIF":2.5000,"publicationDate":"2025-01-01","publicationTypes":"Journal Article","fieldsOfStudy":null,"isOpenAccess":false,"openAccessPdf":"https://www.ncbi.nlm.nih.gov/pmc/articles/PMC12035069/pdf/","citationCount":"0","resultStr":null,"platform":"Semanticscholar","paperid":null,"PeriodicalName":"Journal of Primary Care and Community Health","FirstCategoryId":"1085","ListUrlMain":"https://doi.org/10.1177/21501319251334218","RegionNum":0,"RegionCategory":null,"ArticlePicture":[],"TitleCN":null,"AbstractTextCN":null,"PMCID":null,"EPubDate":"2025/4/21 0:00:00","PubModel":"Epub","JCR":"Q1","JCRName":"PRIMARY HEALTH CARE","Score":null,"Total":0}
引用次数: 0

Abstract

Introduction: One of the most effective measures for the reduction and prevention of healthcare-associated infections (HAI) is hand hygiene (HH). Covert direct observation of HH is difficult to realize in general practice office (GPO). The World Health Organization recognizes electronic monitoring as a form of measuring product use and estimating compliance. This is the first study to monitor HH performance electronically in Dutch GPOs.

Objectives: The main aim of this study was to evaluate HH compliance in general practice offices.

Methods: An observational study was conducted at 4 Dutch GPOs between 2019 and 2021. We measured HH compliance using data on HH events (HHE) from alcohol-based hand rub (ABHR) dispensers with a built-in electronic counter. Daily HH opportunities were calculated according to the 'Five Moments for Hand Hygiene' based on the continuously documented activities using general practitioners (GPs) patient electronic dossier systems.

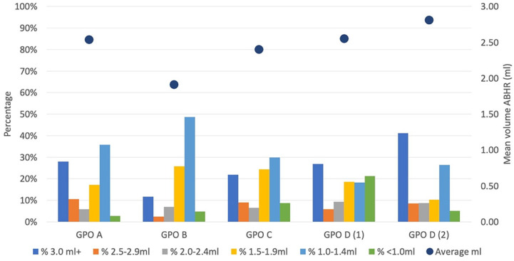
Results: In total, hand hygiene was performed during 1786 of the estimated 4322 opportunities (41%). HH compliance for the general practitioners, practice assistants, and nurse practitioners was 38%, 51%, and 43%, respectively. The overall HH compliance within the same GPOs was 42% pre-pandemic and rose to 56% during the pandemic. The overall mean volume of ABHR was 2.44 ml, varying per HHE between 1.91 to 2.55 ml. The mean volume of ABHR measured before and during the pandemic rose from 2.55 ml to 2.81 ml. The overall self-reported compliance was 86% and was highest among nurse practitioners.

Conclusions: Hand hygiene compliance among HCWs in Dutch GPOs was found to be 41%, with general practitioners having the lowest compliance and practice assistants the highest compliance. While the mean volume of ABHR used per HHE seems appropriate, directed observations would be needed to ensure that an adequate hand-rub technique was used to cover the whole hand. Multi-modal interventions are needed to improve HH-compliance and stimulate the switch to ABHR with in the Dutch general practice office.

Abstract Image

Abstract Image

Abstract Image

荷兰全科诊所使用电子分配器的手卫生依从性和性能。
导言:减少和预防卫生保健相关感染(HAI)的最有效措施之一是手卫生(HH)。在全科诊所(GPO)很难实现隐蔽的直接观察HH。世界卫生组织承认电子监测是衡量产品使用和估计遵守情况的一种形式。这是第一个以电子方式监测荷兰gpo的HH表现的研究。目的:本研究的主要目的是评估全科诊所的HH依从性。方法:在2019年至2021年期间,在4个荷兰gpo进行了一项观察性研究。我们使用带有内置电子计数器的酒精基洗手液(ABHR)分配器的HH事件(HHE)数据来测量HH依从性。根据使用全科医生(gp)患者电子档案系统的连续记录活动,根据“手部卫生五个时刻”计算每日卫生机会。结果:在估计的4322次机会中,总共有1786次(41%)进行了手卫生检查。全科医生、执业助理和执业护士的HH依从性分别为38%、51%和43%。同一gpo内的总体HH合规性在大流行前为42%,在大流行期间上升至56%。ABHR总体平均体积为2.44 ml,每HHE在1.91至2.55 ml之间变化。在大流行之前和期间测量的ABHR平均体积从2.55毫升上升到2.81毫升。总体自我报告的依从性为86%,在执业护士中最高。结论:荷兰全科医院医护人员的手部卫生依从性为41%,全科医生的依从性最低,执业助理的依从性最高。虽然每个HHE使用的ABHR的平均体积似乎是适当的,但需要有针对性的观察,以确保使用足够的搓手技术来覆盖整个手。荷兰全科医生办公室需要采取多种干预措施来提高卫生保健依从性,并促进向ABHR的转变。
本文章由计算机程序翻译,如有差异,请以英文原文为准。
求助全文
约1分钟内获得全文 求助全文
来源期刊
CiteScore
4.80
自引率
2.80%
发文量
183
审稿时长
15 weeks
×
引用
GB/T 7714-2015
复制
MLA
复制
APA
复制
导出至
BibTeX EndNote RefMan NoteFirst NoteExpress
×
提示
您的信息不完整,为了账户安全,请先补充。
现在去补充
×
提示
您因"违规操作"
具体请查看互助需知
我知道了
×
提示
确定
请完成安全验证×
copy
已复制链接
快去分享给好友吧!
我知道了
右上角分享
点击右上角分享
0
联系我们:info@booksci.cn Book学术提供免费学术资源搜索服务,方便国内外学者检索中英文文献。致力于提供最便捷和优质的服务体验。 Copyright © 2023 布克学术 All rights reserved.
京ICP备2023020795号-1
ghs 京公网安备 11010802042870号
Book学术文献互助
Book学术文献互助群
群 号:604180095
Book学术官方微信