Real-Time Analysis of Changes in Internal and External Root Temperatures Using Different Systems for Activating the Irrigation Solution.

IF 2.2 Q2 DENTISTRY, ORAL SURGERY & MEDICINE
International Journal of Dentistry Pub Date : 2025-04-04 eCollection Date: 2025-01-01 DOI:10.1155/ijod/3385512
Maria Eduarda Paz Dotto, Julia Menezes Savaris, Luiz Carlos de Lima Dias-Junior, Tamer Ferreira Schmidt, Lucas da Fonseca Roberti Garcia, Cleonice da Silveira Teixeira, Eduardo Antunes Bortoluzzi
{"title":"Real-Time Analysis of Changes in Internal and External Root Temperatures Using Different Systems for Activating the Irrigation Solution.","authors":"Maria Eduarda Paz Dotto, Julia Menezes Savaris, Luiz Carlos de Lima Dias-Junior, Tamer Ferreira Schmidt, Lucas da Fonseca Roberti Garcia, Cleonice da Silveira Teixeira, Eduardo Antunes Bortoluzzi","doi":"10.1155/ijod/3385512","DOIUrl":null,"url":null,"abstract":"<p><p><b>Introduction:</b> There is a concern regarding the heating transfer to the periodontal tissues after irrigating solution activation. Therefore, this study analyzed the real-time changes in internal and external root temperatures using different systems for activating the irrigant. <b>Methods:</b> Two single-rooted mandibular premolars were chemomechanically prepared. Three orifices were drilled on the root surface at 3, 6, and 9 mm from the apical foramen with a spherical diamond bur. In one tooth, drilling was restricted to the cementum. In another tooth, drilling was performed close to canal dentin. Thermocouple sensors were coupled to the orifices and fixed with resin for temperature measurement. Irrigation was performed with 2.5% NaOCl at 25°C or 45°C. The irrigant was activated for 20-, 30- and 60 s using 3 different systems: passive ultrasonic irrigation (PUI), Ultra X (UX), and endoactivator (EA). For each initial irrigant temperature, time, and activation system, the tests were repeated 8 times, resulting in a total of 96 evaluations for the external and internal root temperatures (<i>n</i> = 48 for each). <b>Results:</b> Data was statistically analyzed with a multilevel linear regression model and intraclass correlation coefficients (ICCs) were calculated. Then, four-way ANOVA with Bonferroni's post hoc tests performed intergroup and intragroup comparisons. EA promoted lower temperature increase than PUI and UX (<i>p</i>  < 0.05). PUI and UX induced similar internal and external temperature changes when irrigated with NaOCl at 25°C.. <b>Conclusion:</b> The initial temperatures (25°C or 45°C) and the activation systems of the irrigant had influence on the internal and external radicular temperatures. The activation period had little influence on root temperature changes, which may be deemed clinically safe.</p>","PeriodicalId":13947,"journal":{"name":"International Journal of Dentistry","volume":"2025 ","pages":"3385512"},"PeriodicalIF":2.2000,"publicationDate":"2025-04-04","publicationTypes":"Journal Article","fieldsOfStudy":null,"isOpenAccess":false,"openAccessPdf":"https://www.ncbi.nlm.nih.gov/pmc/articles/PMC11991866/pdf/","citationCount":"0","resultStr":null,"platform":"Semanticscholar","paperid":null,"PeriodicalName":"International Journal of Dentistry","FirstCategoryId":"1085","ListUrlMain":"https://doi.org/10.1155/ijod/3385512","RegionNum":0,"RegionCategory":null,"ArticlePicture":[],"TitleCN":null,"AbstractTextCN":null,"PMCID":null,"EPubDate":"2025/1/1 0:00:00","PubModel":"eCollection","JCR":"Q2","JCRName":"DENTISTRY, ORAL SURGERY & MEDICINE","Score":null,"Total":0}
引用次数: 0

Abstract

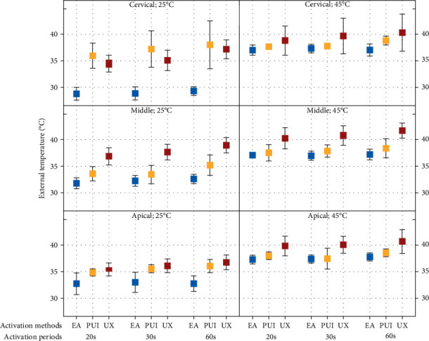
Introduction: There is a concern regarding the heating transfer to the periodontal tissues after irrigating solution activation. Therefore, this study analyzed the real-time changes in internal and external root temperatures using different systems for activating the irrigant. Methods: Two single-rooted mandibular premolars were chemomechanically prepared. Three orifices were drilled on the root surface at 3, 6, and 9 mm from the apical foramen with a spherical diamond bur. In one tooth, drilling was restricted to the cementum. In another tooth, drilling was performed close to canal dentin. Thermocouple sensors were coupled to the orifices and fixed with resin for temperature measurement. Irrigation was performed with 2.5% NaOCl at 25°C or 45°C. The irrigant was activated for 20-, 30- and 60 s using 3 different systems: passive ultrasonic irrigation (PUI), Ultra X (UX), and endoactivator (EA). For each initial irrigant temperature, time, and activation system, the tests were repeated 8 times, resulting in a total of 96 evaluations for the external and internal root temperatures (n = 48 for each). Results: Data was statistically analyzed with a multilevel linear regression model and intraclass correlation coefficients (ICCs) were calculated. Then, four-way ANOVA with Bonferroni's post hoc tests performed intergroup and intragroup comparisons. EA promoted lower temperature increase than PUI and UX (p  < 0.05). PUI and UX induced similar internal and external temperature changes when irrigated with NaOCl at 25°C.. Conclusion: The initial temperatures (25°C or 45°C) and the activation systems of the irrigant had influence on the internal and external radicular temperatures. The activation period had little influence on root temperature changes, which may be deemed clinically safe.

Abstract Image

Abstract Image

Abstract Image

利用不同系统激活灌溉液对内外根温变化的实时分析。
导言:有一个问题,关于加热转移到牙周组织后,冲洗液激活。因此,本研究使用不同的激活系统分析了内部和外部根温的实时变化。方法:采用化学力学方法制备2颗单根下颌前磨牙。在离根尖孔3、6、9 mm处用球形金刚石钻在根表面钻3个孔。在一颗牙齿中,钻孔仅限于牙骨质。在另一颗牙齿中,钻孔靠近根管牙本质。热电偶传感器被耦合到孔上并用树脂固定以测量温度。用2.5% NaOCl在25°C或45°C下冲洗。使用3种不同的系统:被动超声灌洗(PUI)、Ultra X (UX)和内激活剂(EA),激活灌洗剂20、30和60秒。对于每个初始灌溉温度、时间和激活系统,重复测试8次,总共对外部和内部根温度进行了96次评估(n = 48)。结果:采用多水平线性回归模型对数据进行统计学分析,并计算类内相关系数(ICCs)。然后,采用Bonferroni事后检验的四向方差分析进行组间和组内比较。EA对温度升高的促进作用低于PUI和UX (p < 0.05)。NaOCl在25℃下灌洗PUI和UX时,引起的内外温度变化相似。结论:灌洗液的初始温度(25℃或45℃)和激活系统对内、外根温度有影响。激活时间对根温变化影响不大,可认为临床安全。
本文章由计算机程序翻译,如有差异,请以英文原文为准。
求助全文
约1分钟内获得全文 求助全文
来源期刊
International Journal of Dentistry
International Journal of Dentistry DENTISTRY, ORAL SURGERY & MEDICINE-
CiteScore
3.30
自引率
4.80%
发文量
219
审稿时长
20 weeks
×
引用
GB/T 7714-2015
复制
MLA
复制
APA
复制
导出至
BibTeX EndNote RefMan NoteFirst NoteExpress
×
提示
您的信息不完整,为了账户安全,请先补充。
现在去补充
×
提示
您因"违规操作"
具体请查看互助需知
我知道了
×
提示
确定
请完成安全验证×
copy
已复制链接
快去分享给好友吧!
我知道了
右上角分享
点击右上角分享
0
联系我们:info@booksci.cn Book学术提供免费学术资源搜索服务,方便国内外学者检索中英文文献。致力于提供最便捷和优质的服务体验。 Copyright © 2023 布克学术 All rights reserved.
京ICP备2023020795号-1
ghs 京公网安备 11010802042870号
Book学术文献互助
Book学术文献互助群
群 号:604180095
Book学术官方微信