The Diabetic Cognitive Impairment Score for Early Screening of Cognitive Impairment in Type 2 Diabetes Patients.

IF 3.4 3区 医学 Q2 ENDOCRINOLOGY & METABOLISM
Journal of Diabetes Research Pub Date : 2025-04-16 eCollection Date: 2025-01-01 DOI:10.1155/jdr/8029913
Shujun Zhang, Xiaoli Shi, Shaolin Zheng, Xiaoli Liang, Fen Wang, Weijie Xu, Xuefeng Yu, Yan Yang
{"title":"The Diabetic Cognitive Impairment Score for Early Screening of Cognitive Impairment in Type 2 Diabetes Patients.","authors":"Shujun Zhang, Xiaoli Shi, Shaolin Zheng, Xiaoli Liang, Fen Wang, Weijie Xu, Xuefeng Yu, Yan Yang","doi":"10.1155/jdr/8029913","DOIUrl":null,"url":null,"abstract":"<p><p><b>Purpose:</b> Diabetes has been associated with an excess risk of cognitive impairment. The hyperphosphorylation of tau protein leads to neurodegeneration and is closely related to Type 2 diabetes (T2D). This study aimed to characterize the association between P-tau181 and diabetic cognitive impairment and to develop a nomogram-based score to screen cognitive impairment in T2D patients. <b>Methods:</b> We used a cohort of 379 patients diagnosed with T2D as a training dataset to develop a predictive model. Risk factors associated with cognitive impairment were identified using stepwise multivariate logistic regressive analysis. A nomogram was established by incorporating these risk factors, and the diabetic cognitive impairment score (DCIS) was built and externally validated in another cohort. <b>Results:</b> In the training cohort, patients with cognitive impairment had higher levels of P-tau181 (13.3 [10.5-18.7] vs. 10.0 [8.0-13.0], <i>p</i> < 0.001). P-tau181 was negatively correlated with MOCA (<i>r</i> = -0.308, <i>p</i> < 0.001) and MMSE (<i>r</i> = -0.289, <i>p</i> < 0.001), and it was independently associated with cognitive impairment in T2D patients (OR, 1.137 [95% CI, 1.080-1.198]; <i>p</i> < 0.001). Other independent risk factors of diabetic cognitive impairment included age, education level, and diabetic retinopathy. The DCIS was built by nomogram based on the four risk factors, which had an area under the receiver operating characteristic curve (AUC) of 0.795 (95% CI, 0.751-0.840). The optimal cut-off of DCIS for the diagnosis of cognitive impairment in T2D patients was 139.5, with a sensitivity of 72.9% and a specificity of 75.3%. In the validation cohort, the AUC of DCIS for screening diabetic cognitive impairment was 0.770 (95% CI, 0.716-0.824). <b>Conclusions:</b> P-tau181 was independently associated with diabetic cognitive impairment. The DCIS, based on P-tau181, age, education level, and diabetic retinopathy, is effective to identify cognitive impairment in T2D patients.</p>","PeriodicalId":15576,"journal":{"name":"Journal of Diabetes Research","volume":"2025 ","pages":"8029913"},"PeriodicalIF":3.4000,"publicationDate":"2025-04-16","publicationTypes":"Journal Article","fieldsOfStudy":null,"isOpenAccess":false,"openAccessPdf":"https://www.ncbi.nlm.nih.gov/pmc/articles/PMC12017955/pdf/","citationCount":"0","resultStr":null,"platform":"Semanticscholar","paperid":null,"PeriodicalName":"Journal of Diabetes Research","FirstCategoryId":"3","ListUrlMain":"https://doi.org/10.1155/jdr/8029913","RegionNum":3,"RegionCategory":"医学","ArticlePicture":[],"TitleCN":null,"AbstractTextCN":null,"PMCID":null,"EPubDate":"2025/1/1 0:00:00","PubModel":"eCollection","JCR":"Q2","JCRName":"ENDOCRINOLOGY & METABOLISM","Score":null,"Total":0}
引用次数: 0

Abstract

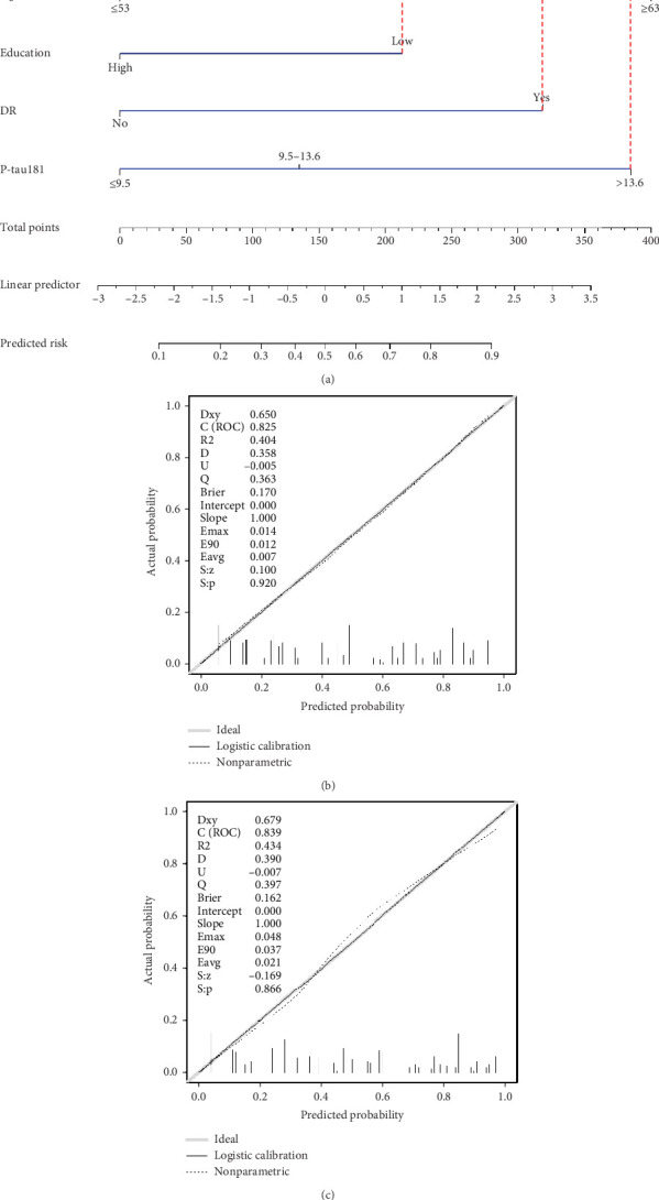
Purpose: Diabetes has been associated with an excess risk of cognitive impairment. The hyperphosphorylation of tau protein leads to neurodegeneration and is closely related to Type 2 diabetes (T2D). This study aimed to characterize the association between P-tau181 and diabetic cognitive impairment and to develop a nomogram-based score to screen cognitive impairment in T2D patients. Methods: We used a cohort of 379 patients diagnosed with T2D as a training dataset to develop a predictive model. Risk factors associated with cognitive impairment were identified using stepwise multivariate logistic regressive analysis. A nomogram was established by incorporating these risk factors, and the diabetic cognitive impairment score (DCIS) was built and externally validated in another cohort. Results: In the training cohort, patients with cognitive impairment had higher levels of P-tau181 (13.3 [10.5-18.7] vs. 10.0 [8.0-13.0], p < 0.001). P-tau181 was negatively correlated with MOCA (r = -0.308, p < 0.001) and MMSE (r = -0.289, p < 0.001), and it was independently associated with cognitive impairment in T2D patients (OR, 1.137 [95% CI, 1.080-1.198]; p < 0.001). Other independent risk factors of diabetic cognitive impairment included age, education level, and diabetic retinopathy. The DCIS was built by nomogram based on the four risk factors, which had an area under the receiver operating characteristic curve (AUC) of 0.795 (95% CI, 0.751-0.840). The optimal cut-off of DCIS for the diagnosis of cognitive impairment in T2D patients was 139.5, with a sensitivity of 72.9% and a specificity of 75.3%. In the validation cohort, the AUC of DCIS for screening diabetic cognitive impairment was 0.770 (95% CI, 0.716-0.824). Conclusions: P-tau181 was independently associated with diabetic cognitive impairment. The DCIS, based on P-tau181, age, education level, and diabetic retinopathy, is effective to identify cognitive impairment in T2D patients.

Abstract Image

Abstract Image

Abstract Image

糖尿病认知功能障碍评分在2型糖尿病患者认知功能障碍早期筛查中的应用。
目的:糖尿病与认知障碍的过度风险相关。tau蛋白的过度磷酸化导致神经退行性变,并与2型糖尿病(T2D)密切相关。本研究旨在描述P-tau181与糖尿病认知障碍之间的关系,并开发一种基于nomogram评分方法来筛查T2D患者的认知障碍。方法:我们使用379例诊断为T2D的患者作为训练数据集来建立预测模型。采用逐步多变量logistic回归分析确定与认知障碍相关的危险因素。将这些危险因素纳入nomogram,建立糖尿病认知障碍评分(DCIS),并在另一个队列中进行外部验证。结果:在训练队列中,认知障碍患者的p -tau181水平较高(13.3 [10.5-18.7]vs. 10.0 [8.0-13.0], p < 0.001)。p -tau181与MOCA (r = -0.308, p < 0.001)和MMSE (r = -0.289, p < 0.001)呈负相关,与T2D患者认知功能障碍独立相关(OR, 1.137 [95% CI, 1.080-1.198];P < 0.001)。糖尿病认知障碍的其他独立危险因素包括年龄、受教育程度和糖尿病视网膜病变。以4个危险因素为基础,采用nomogram建立DCIS,其受者工作特征曲线下面积(AUC)为0.795 (95% CI, 0.751 ~ 0.840)。DCIS诊断T2D患者认知功能障碍的最佳临界值为139.5,敏感性为72.9%,特异性为75.3%。在验证队列中,DCIS筛查糖尿病认知功能障碍的AUC为0.770 (95% CI, 0.716-0.824)。结论:P-tau181与糖尿病认知功能障碍独立相关。基于P-tau181、年龄、教育程度和糖尿病视网膜病变的DCIS可有效识别T2D患者的认知功能障碍。
本文章由计算机程序翻译,如有差异,请以英文原文为准。
求助全文
约1分钟内获得全文 求助全文
来源期刊
Journal of Diabetes Research
Journal of Diabetes Research ENDOCRINOLOGY & METABOLISM-MEDICINE, RESEARCH & EXPERIMENTAL
CiteScore
8.40
自引率
2.30%
发文量
152
审稿时长
14 weeks
期刊介绍: Journal of Diabetes Research is a peer-reviewed, Open Access journal that publishes research articles, review articles, and clinical studies related to type 1 and type 2 diabetes. The journal welcomes submissions focusing on the epidemiology, etiology, pathogenesis, management, and prevention of diabetes, as well as associated complications, such as diabetic retinopathy, neuropathy and nephropathy.
×
引用
GB/T 7714-2015
复制
MLA
复制
APA
复制
导出至
BibTeX EndNote RefMan NoteFirst NoteExpress
×
提示
您的信息不完整,为了账户安全,请先补充。
现在去补充
×
提示
您因"违规操作"
具体请查看互助需知
我知道了
×
提示
确定
请完成安全验证×
copy
已复制链接
快去分享给好友吧!
我知道了
右上角分享
点击右上角分享
0
联系我们:info@booksci.cn Book学术提供免费学术资源搜索服务,方便国内外学者检索中英文文献。致力于提供最便捷和优质的服务体验。 Copyright © 2023 布克学术 All rights reserved.
京ICP备2023020795号-1
ghs 京公网安备 11010802042870号
Book学术文献互助
Book学术文献互助群
群 号:604180095
Book学术官方微信