The impact of frailty on functional recovery after cardiac surgery-a case control study.

IF 2.1 3区 医学 Q2 ANESTHESIOLOGY
M Abdelmonem, M Elsayed, D Awadallah, O Don, R H Bennett, O G Mackay, S Pookayil, C Archer, M Mahgoub, M J Bennett
{"title":"The impact of frailty on functional recovery after cardiac surgery-a case control study.","authors":"M Abdelmonem, M Elsayed, D Awadallah, O Don, R H Bennett, O G Mackay, S Pookayil, C Archer, M Mahgoub, M J Bennett","doi":"10.1186/s13741-025-00526-8","DOIUrl":null,"url":null,"abstract":"<p><strong>Background: </strong>Good functional recovery after cardiac surgery can be reported as 'days alive and out of hospital' in the first 30 days after a procedure (DAOH<sub>30</sub>) and 'days at home' in the first year (DAH<sub>365</sub>), which integrate several clinically important outcomes, including death, hospital length of stay, quality of recovery and hospital readmission. They depend on the preservation or early recovery of physiological and functional capacity, both of which may be lost in patients living with frailty.</p><p><strong>Case presentation: </strong>We measured frailty with a multidimensional approach, incorporating 30 variables spanning comorbidity, sensory, cognitive, psychosocial, disability and pharmaceutical domains, which together make up the Patient Frailty Index (pFI). We further explored the impact of socioeconomic factors on functional recovery using the Welsh Index of Multiple Deprivation (WIMD). The outcome measures included duration of level 3 and level 2 care, duration of hospital stay, readmission and both short- and longer-term mortality. A total of 669 patients were included in the final analysis. A total of 224 (33.5%) of the patients were 'frail'. They were more likely to have chronic obstructive pulmonary disease, heart failure and diabetes and to be in the lowest decile for deprivation. Frailty was not associated with either sex or advanced age. Patients deemed to be 'frail' had a longer stay in intensive care, required level 3 cardiovascular and respiratory support for longer and stayed longer in the hospital. They spent fewer days at home in the first 30 days, largely due to days requiring advanced cardiovascular support, and fewer days at home in the first year, with most days lost to patients who died in the first year following their surgery. A moderation analysis examined whether the WIMD modified the effect of frailty on recovery after cardiac surgery. The interaction term, after confirming there were no collinearity concerns, was not significant, either for DAOH<sub>30</sub> or DAH<sub>365</sub>, indicating no evidence of moderation.</p><p><strong>Conclusions: </strong>Short- and medium-term measures of good functional recovery were lower in 'frail' patients, and longer-term survival was also significantly reduced. An accumulation of deficits assessment of frailty, incorporating multiple domains, builds a more accurate picture of increasing vulnerability and can be acquired from patients' electronic health records. In a surgical population that is increasingly comorbid, these findings should inform decisions on preoperative priority setting, prehabilitation, postoperative resources and discharge planning.</p>","PeriodicalId":19764,"journal":{"name":"Perioperative Medicine","volume":"14 1","pages":"46"},"PeriodicalIF":2.1000,"publicationDate":"2025-04-23","publicationTypes":"Journal Article","fieldsOfStudy":null,"isOpenAccess":false,"openAccessPdf":"https://www.ncbi.nlm.nih.gov/pmc/articles/PMC12016124/pdf/","citationCount":"0","resultStr":null,"platform":"Semanticscholar","paperid":null,"PeriodicalName":"Perioperative Medicine","FirstCategoryId":"3","ListUrlMain":"https://doi.org/10.1186/s13741-025-00526-8","RegionNum":3,"RegionCategory":"医学","ArticlePicture":[],"TitleCN":null,"AbstractTextCN":null,"PMCID":null,"EPubDate":"","PubModel":"","JCR":"Q2","JCRName":"ANESTHESIOLOGY","Score":null,"Total":0}
引用次数: 0

Abstract

Background: Good functional recovery after cardiac surgery can be reported as 'days alive and out of hospital' in the first 30 days after a procedure (DAOH30) and 'days at home' in the first year (DAH365), which integrate several clinically important outcomes, including death, hospital length of stay, quality of recovery and hospital readmission. They depend on the preservation or early recovery of physiological and functional capacity, both of which may be lost in patients living with frailty.

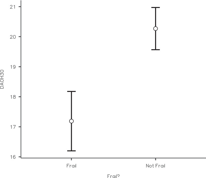
Case presentation: We measured frailty with a multidimensional approach, incorporating 30 variables spanning comorbidity, sensory, cognitive, psychosocial, disability and pharmaceutical domains, which together make up the Patient Frailty Index (pFI). We further explored the impact of socioeconomic factors on functional recovery using the Welsh Index of Multiple Deprivation (WIMD). The outcome measures included duration of level 3 and level 2 care, duration of hospital stay, readmission and both short- and longer-term mortality. A total of 669 patients were included in the final analysis. A total of 224 (33.5%) of the patients were 'frail'. They were more likely to have chronic obstructive pulmonary disease, heart failure and diabetes and to be in the lowest decile for deprivation. Frailty was not associated with either sex or advanced age. Patients deemed to be 'frail' had a longer stay in intensive care, required level 3 cardiovascular and respiratory support for longer and stayed longer in the hospital. They spent fewer days at home in the first 30 days, largely due to days requiring advanced cardiovascular support, and fewer days at home in the first year, with most days lost to patients who died in the first year following their surgery. A moderation analysis examined whether the WIMD modified the effect of frailty on recovery after cardiac surgery. The interaction term, after confirming there were no collinearity concerns, was not significant, either for DAOH30 or DAH365, indicating no evidence of moderation.

Conclusions: Short- and medium-term measures of good functional recovery were lower in 'frail' patients, and longer-term survival was also significantly reduced. An accumulation of deficits assessment of frailty, incorporating multiple domains, builds a more accurate picture of increasing vulnerability and can be acquired from patients' electronic health records. In a surgical population that is increasingly comorbid, these findings should inform decisions on preoperative priority setting, prehabilitation, postoperative resources and discharge planning.

Abstract Image

Abstract Image

Abstract Image

心脏手术后虚弱对功能恢复的影响——一项病例对照研究。
背景:心脏手术后良好的功能恢复可以报告为手术后前30天的“存活和出院天数”(DAOH30)和第一年的“在家天数”(DAH365),其中整合了几个临床重要结果,包括死亡、住院时间、恢复质量和再入院。它们依赖于生理和功能能力的保存或早期恢复,而这两种能力在身体虚弱的患者中都可能丧失。病例介绍:我们用多维度方法测量虚弱,包括共病、感觉、认知、社会心理、残疾和药物领域的30个变量,这些变量共同构成了患者虚弱指数(pFI)。我们使用威尔士多重剥夺指数(wind)进一步探讨了社会经济因素对功能恢复的影响。结果测量包括3级和2级护理的持续时间、住院时间、再入院以及短期和长期死亡率。最终分析共纳入669例患者。224例(33.5%)患者体弱。他们更有可能患有慢性阻塞性肺病、心力衰竭和糖尿病,并且处于贫困的最低十分之一。虚弱与性别或高龄无关。被认为“虚弱”的患者在重症监护室的停留时间更长,需要3级心血管和呼吸支持的时间更长,住院时间也更长。他们在最初的30天里呆在家里的时间更少,主要是由于需要高级心血管支持的时间,而且在第一年里呆在家里的时间更少,大部分时间都是由于手术后一年内死亡的患者。一项适度分析检查了WIMD是否改变了心脏手术后虚弱对恢复的影响。在确认没有共线性问题后,相互作用项对于DAOH30或DAH365都不显著,表明没有适度的证据。结论:“体弱”患者的短期和中期功能恢复指标较低,长期生存率也显著降低。综合多个领域的脆弱性缺陷累积评估可以更准确地反映脆弱性的增加情况,并且可以从患者的电子健康记录中获得。在一个越来越多的合并症的手术人群中,这些发现应该为术前优先设置、康复、术后资源和出院计划的决定提供信息。
本文章由计算机程序翻译,如有差异,请以英文原文为准。
求助全文
约1分钟内获得全文 求助全文
来源期刊
自引率
3.80%
发文量
55
审稿时长
10 weeks
×
引用
GB/T 7714-2015
复制
MLA
复制
APA
复制
导出至
BibTeX EndNote RefMan NoteFirst NoteExpress
×
提示
您的信息不完整,为了账户安全,请先补充。
现在去补充
×
提示
您因"违规操作"
具体请查看互助需知
我知道了
×
提示
确定
请完成安全验证×
copy
已复制链接
快去分享给好友吧!
我知道了
右上角分享
点击右上角分享
0
联系我们:info@booksci.cn Book学术提供免费学术资源搜索服务,方便国内外学者检索中英文文献。致力于提供最便捷和优质的服务体验。 Copyright © 2023 布克学术 All rights reserved.
京ICP备2023020795号-1
ghs 京公网安备 11010802042870号
Book学术文献互助
Book学术文献互助群
群 号:604180095
Book学术官方微信