Efficacy of dual-layer spectral detector computed tomography for detecting early ischemic changes in patients with acute ischemic stroke: A pilot study.

IF 1.3 Q3 RADIOLOGY, NUCLEAR MEDICINE & MEDICAL IMAGING
Journal of Clinical Imaging Science Pub Date : 2025-03-03 eCollection Date: 2025-01-01 DOI:10.25259/JCIS_171_2024
Keiichi Honda, Seitaro Oda, Daisuke Kondo, Ryusuke Kujirai, Ko Higuchi, Takumi Osaki, Akiko Sugisaki, Naoya Moriguchi, Ryo Akagi, Toshinori Hirai, Kazuhiro Katahira
{"title":"Efficacy of dual-layer spectral detector computed tomography for detecting early ischemic changes in patients with acute ischemic stroke: A pilot study.","authors":"Keiichi Honda, Seitaro Oda, Daisuke Kondo, Ryusuke Kujirai, Ko Higuchi, Takumi Osaki, Akiko Sugisaki, Naoya Moriguchi, Ryo Akagi, Toshinori Hirai, Kazuhiro Katahira","doi":"10.25259/JCIS_171_2024","DOIUrl":null,"url":null,"abstract":"<p><strong>Objectives: </strong>This study evaluated the efficacy of dual-layer spectral detector computed tomography (DLCT) for detecting early ischemic changes (EICs) in patients with acute ischemic stroke (AIS), focusing on electron density (ED) and effective atomic number (effective Z) imaging.</p><p><strong>Material and methods: </strong>This retrospective study included 15 patients (mean age: 76.5 ± 9.8 years) with AIS who underwent non-contrast computed tomography (CT) with DLCT and magnetic resonance imaging (MRI) on the same day. Quantitative analysis was performed to compare conventional CT, ED, and effective Z values between the infarcted and contralateral brain regions. Qualitative assessment was conducted by two radiologists using the modified Alberta Stroke Program Early CT Score methodology. Receiver operating characteristic curve analysis was performed to evaluate diagnostic performance, and kappa statistics were used to assess interobserver agreement.</p><p><strong>Results: </strong>Significant differences were observed in the conventional CT and ED values (<i>P</i> < 0.01) but not in effective Z values (<i>P</i> = 0.46) between the infarcted and contralateral regions. ED imaging demonstrated superior diagnostic accuracy (area under curve [AUC] = 0.90) compared with conventional 120-kVp CT (AUC = 0.85) and effective Z imaging (AUC = 0.62). Furthermore, interobserver agreement (kappa = 0.71) was better for ED imaging than for conventional 120-kVp CT (kappa = 0.65). Qualitative analysis revealed that ED images showed better agreement with MRI findings and higher interobserver consistency than conventional 120-kVp images.</p><p><strong>Conclusion: </strong>Compared with conventional CT, DLCT with ED imaging significantly enhanced detection of EICs in AIS.</p>","PeriodicalId":15512,"journal":{"name":"Journal of Clinical Imaging Science","volume":"15 ","pages":"11"},"PeriodicalIF":1.3000,"publicationDate":"2025-03-03","publicationTypes":"Journal Article","fieldsOfStudy":null,"isOpenAccess":false,"openAccessPdf":"https://www.ncbi.nlm.nih.gov/pmc/articles/PMC11980743/pdf/","citationCount":"0","resultStr":null,"platform":"Semanticscholar","paperid":null,"PeriodicalName":"Journal of Clinical Imaging Science","FirstCategoryId":"1085","ListUrlMain":"https://doi.org/10.25259/JCIS_171_2024","RegionNum":0,"RegionCategory":null,"ArticlePicture":[],"TitleCN":null,"AbstractTextCN":null,"PMCID":null,"EPubDate":"2025/1/1 0:00:00","PubModel":"eCollection","JCR":"Q3","JCRName":"RADIOLOGY, NUCLEAR MEDICINE & MEDICAL IMAGING","Score":null,"Total":0}
引用次数: 0

Abstract

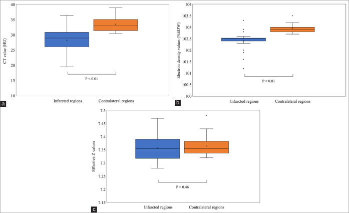
Objectives: This study evaluated the efficacy of dual-layer spectral detector computed tomography (DLCT) for detecting early ischemic changes (EICs) in patients with acute ischemic stroke (AIS), focusing on electron density (ED) and effective atomic number (effective Z) imaging.

Material and methods: This retrospective study included 15 patients (mean age: 76.5 ± 9.8 years) with AIS who underwent non-contrast computed tomography (CT) with DLCT and magnetic resonance imaging (MRI) on the same day. Quantitative analysis was performed to compare conventional CT, ED, and effective Z values between the infarcted and contralateral brain regions. Qualitative assessment was conducted by two radiologists using the modified Alberta Stroke Program Early CT Score methodology. Receiver operating characteristic curve analysis was performed to evaluate diagnostic performance, and kappa statistics were used to assess interobserver agreement.

Results: Significant differences were observed in the conventional CT and ED values (P < 0.01) but not in effective Z values (P = 0.46) between the infarcted and contralateral regions. ED imaging demonstrated superior diagnostic accuracy (area under curve [AUC] = 0.90) compared with conventional 120-kVp CT (AUC = 0.85) and effective Z imaging (AUC = 0.62). Furthermore, interobserver agreement (kappa = 0.71) was better for ED imaging than for conventional 120-kVp CT (kappa = 0.65). Qualitative analysis revealed that ED images showed better agreement with MRI findings and higher interobserver consistency than conventional 120-kVp images.

Conclusion: Compared with conventional CT, DLCT with ED imaging significantly enhanced detection of EICs in AIS.

Abstract Image

Abstract Image

Abstract Image

双层光谱检测器计算机断层扫描检测急性缺血性脑卒中患者早期缺血性改变的有效性:一项初步研究。
目的:本研究通过电子密度(ED)和有效原子序数(effective原子序数)成像,评价双层光谱检测器计算机断层扫描(dct)对急性缺血性卒中(AIS)患者早期缺血性改变(EICs)的检测效果。材料与方法:本回顾性研究纳入15例AIS患者(平均年龄:76.5±9.8岁),均于同日行非对比CT (CT)、dct和磁共振成像(MRI)检查。定量分析比较常规CT、ED和梗死区与对侧脑区的有效Z值。定性评估由两名放射科医生使用改进的阿尔伯塔中风项目早期CT评分方法进行。采用受试者工作特征曲线分析来评价诊断表现,采用kappa统计来评价观察者间的一致性。结果:梗死区与对侧常规CT值与ED值差异有统计学意义(P < 0.01),有效Z值差异无统计学意义(P = 0.46)。与常规120-kVp CT (AUC = 0.85)和有效Z线成像(AUC = 0.62)相比,ED成像显示出更高的诊断准确性(曲线下面积[AUC] = 0.90)。此外,ED成像的观察者间一致性(kappa = 0.71)优于传统的120 kvp CT (kappa = 0.65)。定性分析显示,与常规的120 kvp图像相比,ED图像与MRI结果的一致性更好,观察者之间的一致性更高。结论:与常规CT相比,dct联合ED显像可显著增强AIS中EICs的检出率。
本文章由计算机程序翻译,如有差异,请以英文原文为准。
求助全文
约1分钟内获得全文 求助全文
来源期刊
Journal of Clinical Imaging Science
Journal of Clinical Imaging Science RADIOLOGY, NUCLEAR MEDICINE & MEDICAL IMAGING-
CiteScore
2.00
自引率
0.00%
发文量
65
期刊介绍: The Journal of Clinical Imaging Science (JCIS) is an open access peer-reviewed journal committed to publishing high-quality articles in the field of Imaging Science. The journal aims to present Imaging Science and relevant clinical information in an understandable and useful format. The journal is owned and published by the Scientific Scholar. Audience Our audience includes Radiologists, Researchers, Clinicians, medical professionals and students. Review process JCIS has a highly rigorous peer-review process that makes sure that manuscripts are scientifically accurate, relevant, novel and important. Authors disclose all conflicts, affiliations and financial associations such that the published content is not biased.
×
引用
GB/T 7714-2015
复制
MLA
复制
APA
复制
导出至
BibTeX EndNote RefMan NoteFirst NoteExpress
×
提示
您的信息不完整,为了账户安全,请先补充。
现在去补充
×
提示
您因"违规操作"
具体请查看互助需知
我知道了
×
提示
确定
请完成安全验证×
copy
已复制链接
快去分享给好友吧!
我知道了
右上角分享
点击右上角分享
0
联系我们:info@booksci.cn Book学术提供免费学术资源搜索服务,方便国内外学者检索中英文文献。致力于提供最便捷和优质的服务体验。 Copyright © 2023 布克学术 All rights reserved.
京ICP备2023020795号-1
ghs 京公网安备 11010802042870号
Book学术文献互助
Book学术文献互助群
群 号:604180095
Book学术官方微信