The Role of Antidiabetic Drugs in Bone Health: Assessing the Risk of Osteoporosis Subtypes and Fractures Using Mendelian Randomization.

IF 2.3 Q2 ORTHOPEDICS
Orthopedic Research and Reviews Pub Date : 2025-04-05 eCollection Date: 2025-01-01 DOI:10.2147/ORR.S508278
Gaorong Deng, Liping Wu, Shui Xiong, Junxin Zhou, Zongfang Li
{"title":"The Role of Antidiabetic Drugs in Bone Health: Assessing the Risk of Osteoporosis Subtypes and Fractures Using Mendelian Randomization.","authors":"Gaorong Deng, Liping Wu, Shui Xiong, Junxin Zhou, Zongfang Li","doi":"10.2147/ORR.S508278","DOIUrl":null,"url":null,"abstract":"<p><strong>Introduction: </strong>Osteoporosis leads to decreased bone density and an increased risk of fractures, with diabetic patients being particularly vulnerable. This study aims to evaluate the effects of five common antidiabetic drugs-Metformin, GLP-1 receptor agonists, SGLT2 inhibitors, Insulin, and Gliclazide-on the risk of osteoporosis subtypes and fractures, using Mendelian Randomization (MR) to ensure result accuracy.</p><p><strong>Methods: </strong>Data from multiple Genome-Wide Association Studies (GWAS) databases were employed to assess the relationships between the use of these antidiabetic drugs and osteoporosis risk. The analysis utilized Mendelian Randomization techniques to minimize confounding and reverse causation, ensuring robust results.</p><p><strong>Results: </strong>The findings reveal that: Metformin is significantly negatively associated with osteoporosis (OR [95% CI]: 0.00936 [0.0011-0.0806], p = 2.11×10⁻<sup>5</sup>), indicating a potential bone-protective effect by reducing bone resorption and enhancing osteoblast activity through the activation of the AMPK pathway. GLP-1 receptor agonists are significantly positively associated with osteoporosis with pathological fractures (OR [95% CI]: 1.1247 [1.0043-1.2594], p = 0.0420), suggesting a potential increase in fracture risk. SGLT2 inhibitors show a weak negative association with osteoporosis (OR [95% CI]: 0.8987 [0.8092-0.9980], p = 0.0429), though the effect is minor and unstable. Gliclazide significantly increases the risk of pathological fractures (OR [95% CI]: 1.03E+08 [1.28E+02-8.32E+12], p = 0.0395), indicating a need for caution in its use among patients at high fracture risk.</p><p><strong>Discussion: </strong>The results highlight the potential bone-protective role of Metformin, which may be suitable for patients at high fracture risk. On the other hand, the use of GLP-1 receptor agonists and Gliclazide should be carefully considered, especially in individuals with osteoporosis or at high risk of fractures. These findings emphasize the importance of personalized medication management in diabetic patients to optimize bone health.</p>","PeriodicalId":19608,"journal":{"name":"Orthopedic Research and Reviews","volume":"17 ","pages":"129-145"},"PeriodicalIF":2.3000,"publicationDate":"2025-04-05","publicationTypes":"Journal Article","fieldsOfStudy":null,"isOpenAccess":false,"openAccessPdf":"https://www.ncbi.nlm.nih.gov/pmc/articles/PMC11980942/pdf/","citationCount":"0","resultStr":null,"platform":"Semanticscholar","paperid":null,"PeriodicalName":"Orthopedic Research and Reviews","FirstCategoryId":"1085","ListUrlMain":"https://doi.org/10.2147/ORR.S508278","RegionNum":0,"RegionCategory":null,"ArticlePicture":[],"TitleCN":null,"AbstractTextCN":null,"PMCID":null,"EPubDate":"2025/1/1 0:00:00","PubModel":"eCollection","JCR":"Q2","JCRName":"ORTHOPEDICS","Score":null,"Total":0}
引用次数: 0

Abstract

Introduction: Osteoporosis leads to decreased bone density and an increased risk of fractures, with diabetic patients being particularly vulnerable. This study aims to evaluate the effects of five common antidiabetic drugs-Metformin, GLP-1 receptor agonists, SGLT2 inhibitors, Insulin, and Gliclazide-on the risk of osteoporosis subtypes and fractures, using Mendelian Randomization (MR) to ensure result accuracy.

Methods: Data from multiple Genome-Wide Association Studies (GWAS) databases were employed to assess the relationships between the use of these antidiabetic drugs and osteoporosis risk. The analysis utilized Mendelian Randomization techniques to minimize confounding and reverse causation, ensuring robust results.

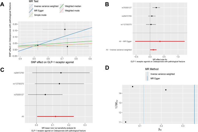
Results: The findings reveal that: Metformin is significantly negatively associated with osteoporosis (OR [95% CI]: 0.00936 [0.0011-0.0806], p = 2.11×10⁻5), indicating a potential bone-protective effect by reducing bone resorption and enhancing osteoblast activity through the activation of the AMPK pathway. GLP-1 receptor agonists are significantly positively associated with osteoporosis with pathological fractures (OR [95% CI]: 1.1247 [1.0043-1.2594], p = 0.0420), suggesting a potential increase in fracture risk. SGLT2 inhibitors show a weak negative association with osteoporosis (OR [95% CI]: 0.8987 [0.8092-0.9980], p = 0.0429), though the effect is minor and unstable. Gliclazide significantly increases the risk of pathological fractures (OR [95% CI]: 1.03E+08 [1.28E+02-8.32E+12], p = 0.0395), indicating a need for caution in its use among patients at high fracture risk.

Discussion: The results highlight the potential bone-protective role of Metformin, which may be suitable for patients at high fracture risk. On the other hand, the use of GLP-1 receptor agonists and Gliclazide should be carefully considered, especially in individuals with osteoporosis or at high risk of fractures. These findings emphasize the importance of personalized medication management in diabetic patients to optimize bone health.

Abstract Image

Abstract Image

Abstract Image

降糖药物在骨骼健康中的作用:使用孟德尔随机化评估骨质疏松症亚型和骨折的风险。
骨质疏松症导致骨密度降低,骨折风险增加,糖尿病患者尤其易受影响。本研究旨在评估五种常见的降糖药——二甲双胍、GLP-1受体激动剂、SGLT2抑制剂、胰岛素和格列齐特对骨质疏松亚型和骨折风险的影响,采用孟德尔随机化(MR)来确保结果的准确性。方法:采用来自多个全基因组关联研究(GWAS)数据库的数据来评估这些抗糖尿病药物的使用与骨质疏松风险之间的关系。分析利用孟德尔随机化技术,以尽量减少混淆和反向因果关系,确保稳健的结果。结果:研究结果显示:二甲双胍与骨质疏松症呈显著负相关(OR [95% CI]: 0.00936 [0.0011-0.0806], p = 2.11×10 - 5),表明二甲双胍通过激活AMPK通路,减少骨吸收,增强成骨细胞活性,具有潜在的骨保护作用。GLP-1受体激动剂与骨质疏松伴病理性骨折呈显著正相关(OR [95% CI]: 1.1247 [1.0043-1.2594], p = 0.0420),提示骨折风险可能增加。SGLT2抑制剂与骨质疏松呈弱负相关(OR [95% CI]: 0.8987 [0.8092-0.9980], p = 0.0429),但影响较小且不稳定。格列齐特显著增加病理性骨折的风险(OR [95% CI]: 1.03E+08 [1.28E+02-8.32E+12], p = 0.0395),提示在高骨折风险患者中使用格列齐特需要谨慎。讨论:结果强调了二甲双胍潜在的骨保护作用,可能适用于骨折高风险患者。另一方面,GLP-1受体激动剂和格列齐特的使用应慎重考虑,特别是在骨质疏松症或骨折高危人群中。这些发现强调了糖尿病患者个性化用药管理对优化骨骼健康的重要性。
本文章由计算机程序翻译,如有差异,请以英文原文为准。
求助全文
约1分钟内获得全文 求助全文
来源期刊
Orthopedic Research and Reviews
Orthopedic Research and Reviews Medicine-Orthopedics and Sports Medicine
CiteScore
2.80
自引率
0.00%
发文量
51
审稿时长
16 weeks
期刊介绍: Orthopedic Research and Reviews is an international, peer-reviewed, open-access journal focusing on the patho-physiology of the musculoskeletal system, trauma, surgery and other corrective interventions to restore mobility and function. Advances in new technologies, materials, techniques and pharmacological agents will be particularly welcome. Specific topics covered in the journal include: Patho-physiology and bioengineering, Technologies and materials science, Surgical techniques, including robotics, Trauma management and care, Treatment including pharmacological and non-pharmacological, Rehabilitation and Multidisciplinarian care approaches, Patient quality of life, satisfaction and preference, Health economic evaluations. The journal welcomes submitted papers covering original research, basic science and technology, clinical studies, reviews and evaluations, guidelines, expert opinion and commentary, case reports and extended reports.
×
引用
GB/T 7714-2015
复制
MLA
复制
APA
复制
导出至
BibTeX EndNote RefMan NoteFirst NoteExpress
×
提示
您的信息不完整,为了账户安全,请先补充。
现在去补充
×
提示
您因"违规操作"
具体请查看互助需知
我知道了
×
提示
确定
请完成安全验证×
copy
已复制链接
快去分享给好友吧!
我知道了
右上角分享
点击右上角分享
0
联系我们:info@booksci.cn Book学术提供免费学术资源搜索服务,方便国内外学者检索中英文文献。致力于提供最便捷和优质的服务体验。 Copyright © 2023 布克学术 All rights reserved.
京ICP备2023020795号-1
ghs 京公网安备 11010802042870号
Book学术文献互助
Book学术文献互助群
群 号:604180095
Book学术官方微信