Impact of dementia-landscaped therapy garden on psychological well-being- A pilot study.

IF 4 4区 医学 Q2 CLINICAL NEUROLOGY
Journal of Neural Transmission Pub Date : 2025-06-01 Epub Date: 2025-04-09 DOI:10.1007/s00702-025-02917-z
Sandra Jevtic, Max Wittlinger, Sonia Teimann, Jens Wiltfang, Norbert Scherbaum, Jens Benninghoff
{"title":"Impact of dementia-landscaped therapy garden on psychological well-being- A pilot study.","authors":"Sandra Jevtic, Max Wittlinger, Sonia Teimann, Jens Wiltfang, Norbert Scherbaum, Jens Benninghoff","doi":"10.1007/s00702-025-02917-z","DOIUrl":null,"url":null,"abstract":"<p><p>Non-pharmacological interventions are increasingly recognized as first-line therapies for managing dementia symptoms alongside pharmacologic strategies. Among these, therapy gardens and horticultural interventions have emerged as promising adjunctive approaches. This pilot study aimed to evaluate the effects of a six-month dementia-friendly therapy garden intervention on psychological well-being, specifically depression levels, and to determine whether baseline dementia severity predicts treatment success. The study was conducted in a real-world setting, with a final sample of 28 dementia patients. Unlike previous studies, this intervention incorporated multimodal stimulation, including sensory, motor, and cognitive elements. Results indicated a significant reduction in depression, as measured by the Montgomery-Åsberg Depression Rating Scale (MADRS) after six months of intervention (p <.05). However, depression scores assessed using the Hamilton Depression Rating Scale (HAM-D) showed only a trend toward improvement but did not reach statistical significance. No improvements were observed at the three-month mark, suggesting that sustained engagement is necessary for measurable benefits. Cognitive function, as assessed by dementia severity, did not show significant improvement, and dementia severity at baseline was not a significant predictor of treatment response. These findings underscore the potential of dementia-friendly therapy gardens to provide meaningful psychological benefits by significantly reducing depression over time. Notably, even individuals with more advanced dementia benefited, challenging the prevailing notion that non-pharmacological interventions are primarily effective in early disease stages. These results highlight the need for further research on the long-term effects and mechanisms underlying garden-based interventions in dementia care.</p>","PeriodicalId":16579,"journal":{"name":"Journal of Neural Transmission","volume":" ","pages":"877-885"},"PeriodicalIF":4.0000,"publicationDate":"2025-06-01","publicationTypes":"Journal Article","fieldsOfStudy":null,"isOpenAccess":false,"openAccessPdf":"https://www.ncbi.nlm.nih.gov/pmc/articles/PMC12116808/pdf/","citationCount":"0","resultStr":null,"platform":"Semanticscholar","paperid":null,"PeriodicalName":"Journal of Neural Transmission","FirstCategoryId":"3","ListUrlMain":"https://doi.org/10.1007/s00702-025-02917-z","RegionNum":4,"RegionCategory":"医学","ArticlePicture":[],"TitleCN":null,"AbstractTextCN":null,"PMCID":null,"EPubDate":"2025/4/9 0:00:00","PubModel":"Epub","JCR":"Q2","JCRName":"CLINICAL NEUROLOGY","Score":null,"Total":0}
引用次数: 0

Abstract

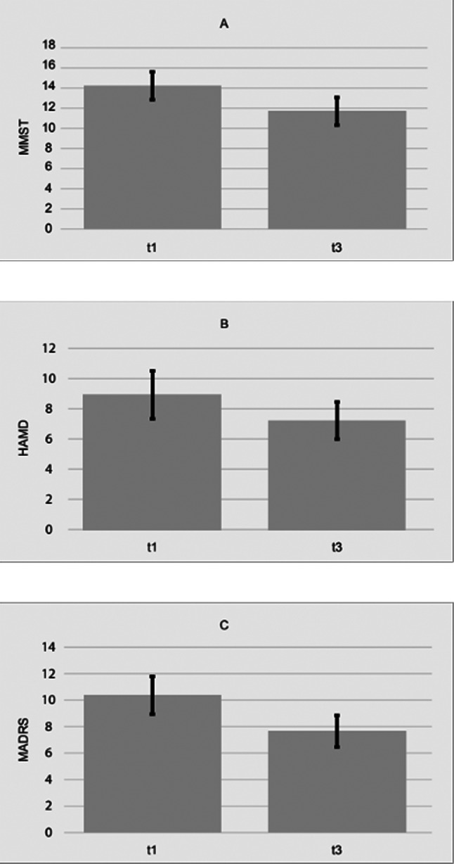
Non-pharmacological interventions are increasingly recognized as first-line therapies for managing dementia symptoms alongside pharmacologic strategies. Among these, therapy gardens and horticultural interventions have emerged as promising adjunctive approaches. This pilot study aimed to evaluate the effects of a six-month dementia-friendly therapy garden intervention on psychological well-being, specifically depression levels, and to determine whether baseline dementia severity predicts treatment success. The study was conducted in a real-world setting, with a final sample of 28 dementia patients. Unlike previous studies, this intervention incorporated multimodal stimulation, including sensory, motor, and cognitive elements. Results indicated a significant reduction in depression, as measured by the Montgomery-Åsberg Depression Rating Scale (MADRS) after six months of intervention (p <.05). However, depression scores assessed using the Hamilton Depression Rating Scale (HAM-D) showed only a trend toward improvement but did not reach statistical significance. No improvements were observed at the three-month mark, suggesting that sustained engagement is necessary for measurable benefits. Cognitive function, as assessed by dementia severity, did not show significant improvement, and dementia severity at baseline was not a significant predictor of treatment response. These findings underscore the potential of dementia-friendly therapy gardens to provide meaningful psychological benefits by significantly reducing depression over time. Notably, even individuals with more advanced dementia benefited, challenging the prevailing notion that non-pharmacological interventions are primarily effective in early disease stages. These results highlight the need for further research on the long-term effects and mechanisms underlying garden-based interventions in dementia care.

Abstract Image

Abstract Image

Abstract Image

痴呆症景观治疗花园对心理健康的影响-一项试点研究。
非药物干预措施越来越被认为是与药物策略一起管理痴呆症状的一线疗法。其中,治疗花园和园艺干预已成为有前途的辅助方法。本初步研究旨在评估为期六个月的痴呆症友好治疗花园干预对心理健康,特别是抑郁水平的影响,并确定基线痴呆严重程度是否预测治疗成功。这项研究是在现实环境中进行的,最终样本是28名痴呆症患者。与以往的研究不同,这次干预结合了多模态刺激,包括感觉、运动和认知因素。结果显示,干预六个月后,根据Montgomery-Åsberg抑郁评定量表(MADRS)测量,抑郁症显著减少
本文章由计算机程序翻译,如有差异,请以英文原文为准。
求助全文
约1分钟内获得全文 求助全文
来源期刊
Journal of Neural Transmission
Journal of Neural Transmission 医学-临床神经学
CiteScore
7.20
自引率
3.00%
发文量
112
审稿时长
2 months
期刊介绍: The investigation of basic mechanisms involved in the pathogenesis of neurological and psychiatric disorders has undoubtedly deepened our knowledge of these types of disorders. The impact of basic neurosciences on the understanding of the pathophysiology of the brain will further increase due to important developments such as the emergence of more specific psychoactive compounds and new technologies. The Journal of Neural Transmission aims to establish an interface between basic sciences and clinical neurology and psychiatry. It intends to put a special emphasis on translational publications of the newest developments in the field from all disciplines of the neural sciences that relate to a better understanding and treatment of neurological and psychiatric disorders.
×
引用
GB/T 7714-2015
复制
MLA
复制
APA
复制
导出至
BibTeX EndNote RefMan NoteFirst NoteExpress
×
提示
您的信息不完整,为了账户安全,请先补充。
现在去补充
×
提示
您因"违规操作"
具体请查看互助需知
我知道了
×
提示
确定
请完成安全验证×
copy
已复制链接
快去分享给好友吧!
我知道了
右上角分享
点击右上角分享
0
联系我们:info@booksci.cn Book学术提供免费学术资源搜索服务,方便国内外学者检索中英文文献。致力于提供最便捷和优质的服务体验。 Copyright © 2023 布克学术 All rights reserved.
京ICP备2023020795号-1
ghs 京公网安备 11010802042870号
Book学术文献互助
Book学术文献互助群
群 号:604180095
Book学术官方微信