PROMIS Minimal Clinically Important Differences Across Foot and Ankle Surgeries.

Foot & Ankle Orthopaedics Pub Date : 2025-05-02 eCollection Date: 2025-04-01 DOI:10.1177/24730114251334055
Nathaniel E Zona, Michael A Hewitt, Carson Keeter, Sara E Buckley, Kenneth J Hunt
{"title":"PROMIS Minimal Clinically Important Differences Across Foot and Ankle Surgeries.","authors":"Nathaniel E Zona, Michael A Hewitt, Carson Keeter, Sara E Buckley, Kenneth J Hunt","doi":"10.1177/24730114251334055","DOIUrl":null,"url":null,"abstract":"<p><strong>Background: </strong>Minimal clinically important differences (MCIDs) increase patient-reported outcome measure (PROM) utility by defining benchmarks of meaningful improvement. The threshold for appreciable improvement may be unique to specific patient characteristics. To help establish benchmarks and improve evaluation of patient progress, this study investigates whether surgery type and demographic characteristics impact MCID.</p><p><strong>Methods: </strong>All foot and ankle patients within a single institution's PRO registry were screened. Patients without preoperative or ≥ 180-day follow-up in PROMIS physical function (PF) Computer Adaptive Test (CAT) (v2.0) and pain interference (PI) CAT (v1.1) were excluded. Foot and Ankle Single Assessment Numeric Evaluation (FA SANE) was used as an anchor for MCID calculations. MCID was compared across 11 foot and ankle surgical categories, reported sex, body mass index (BMI), and social deprivation index (SDI).</p><p><strong>Results: </strong>We included 1243 patients with an average follow-up of 456 ± 176 days. Patients significantly improved in PF by 8.2 ± 10.9 (<i>P</i> < .001) and PI by -8.1 ± 9.5 (<i>P</i> < .001). Global MCID estimates for PF and PI were 5.5 (95% CI 4.9, 6.0) and -5.8 (95% CI -5.3, -6.3), respectively, when anchored against FA SANE. The MCIDs using a ½ SD distribution-based method were 5.5 and -4.8, respectively. Surgery type greatly affected MCID, ranging from 2.3 and -3.8 for hardware removals to 15.7 and -9.8 for small soft tissue surgeries. MCID differences across reported sex, BMI, and SDI never exceeded 1.9 points.</p><p><strong>Conclusion: </strong>A 6-month postoperative improvement of ≥ 5.5 and ≤ -4.8 in PROMIS PF and PI suggest meaningful clinical differences from baseline. However, MCID values for PROMIS scales vary across foot and ankle surgeries and patient characteristics, suggesting a global MCID for patient populations may not reflect the true threshold of meaningful change for each individual patient. Anchoring to FA SANE allows physicians to more objectively gauge appreciable change in patient-specific contexts.</p><p><strong>Level of evidence: </strong>Level III, retrospective cohort study.</p>","PeriodicalId":12429,"journal":{"name":"Foot & Ankle Orthopaedics","volume":"10 2","pages":"24730114251334055"},"PeriodicalIF":0.0000,"publicationDate":"2025-05-02","publicationTypes":"Journal Article","fieldsOfStudy":null,"isOpenAccess":false,"openAccessPdf":"https://www.ncbi.nlm.nih.gov/pmc/articles/PMC12049601/pdf/","citationCount":"0","resultStr":null,"platform":"Semanticscholar","paperid":null,"PeriodicalName":"Foot & Ankle Orthopaedics","FirstCategoryId":"1085","ListUrlMain":"https://doi.org/10.1177/24730114251334055","RegionNum":0,"RegionCategory":null,"ArticlePicture":[],"TitleCN":null,"AbstractTextCN":null,"PMCID":null,"EPubDate":"2025/4/1 0:00:00","PubModel":"eCollection","JCR":"","JCRName":"","Score":null,"Total":0}
引用次数: 0

Abstract

Background: Minimal clinically important differences (MCIDs) increase patient-reported outcome measure (PROM) utility by defining benchmarks of meaningful improvement. The threshold for appreciable improvement may be unique to specific patient characteristics. To help establish benchmarks and improve evaluation of patient progress, this study investigates whether surgery type and demographic characteristics impact MCID.

Methods: All foot and ankle patients within a single institution's PRO registry were screened. Patients without preoperative or ≥ 180-day follow-up in PROMIS physical function (PF) Computer Adaptive Test (CAT) (v2.0) and pain interference (PI) CAT (v1.1) were excluded. Foot and Ankle Single Assessment Numeric Evaluation (FA SANE) was used as an anchor for MCID calculations. MCID was compared across 11 foot and ankle surgical categories, reported sex, body mass index (BMI), and social deprivation index (SDI).

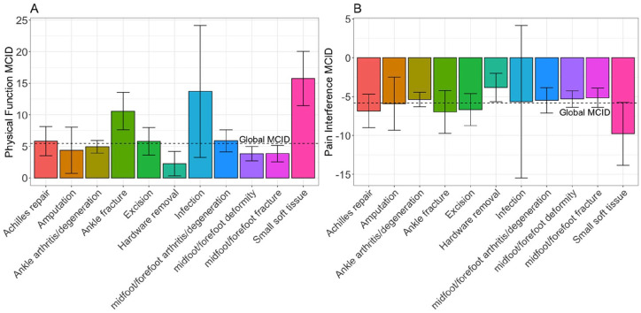
Results: We included 1243 patients with an average follow-up of 456 ± 176 days. Patients significantly improved in PF by 8.2 ± 10.9 (P < .001) and PI by -8.1 ± 9.5 (P < .001). Global MCID estimates for PF and PI were 5.5 (95% CI 4.9, 6.0) and -5.8 (95% CI -5.3, -6.3), respectively, when anchored against FA SANE. The MCIDs using a ½ SD distribution-based method were 5.5 and -4.8, respectively. Surgery type greatly affected MCID, ranging from 2.3 and -3.8 for hardware removals to 15.7 and -9.8 for small soft tissue surgeries. MCID differences across reported sex, BMI, and SDI never exceeded 1.9 points.

Conclusion: A 6-month postoperative improvement of ≥ 5.5 and ≤ -4.8 in PROMIS PF and PI suggest meaningful clinical differences from baseline. However, MCID values for PROMIS scales vary across foot and ankle surgeries and patient characteristics, suggesting a global MCID for patient populations may not reflect the true threshold of meaningful change for each individual patient. Anchoring to FA SANE allows physicians to more objectively gauge appreciable change in patient-specific contexts.

Level of evidence: Level III, retrospective cohort study.

Abstract Image

Abstract Image

Abstract Image

允诺:足部和踝关节手术的最小临床重要差异。
背景:最小临床重要差异(MCIDs)通过定义有意义改善的基准来增加患者报告的结果测量(PROM)的效用。明显改善的阈值可能因患者的具体特征而异。为了帮助建立基准和改进对患者进展的评估,本研究调查了手术类型和人口统计学特征是否影响MCID。方法:筛选单一机构PRO注册的所有足部和踝关节患者。排除术前未进行PROMIS身体功能(PF)计算机适应性测试(CAT) (v2.0)和疼痛干扰(PI) CAT (v1.1)随访或随访≥180天的患者。脚部和踝关节单一评估数值评估(FA SANE)作为MCID计算的锚点。比较了11个足部和踝关节手术类别、报告的性别、体重指数(BMI)和社会剥夺指数(SDI)的MCID。结果:纳入1243例患者,平均随访时间为456±176天。患者PF改善8.2±10.9 (P < 0.001), PI改善-8.1±9.5 (P < 0.001)。当与FA SANE锚定时,PF和PI的全球MCID估计值分别为5.5 (95% CI为4.9,6.0)和-5.8 (95% CI为-5.3,-6.3)。使用基于½SD分布的方法的mcid分别为5.5和-4.8。手术类型对MCID影响很大,硬件移除的MCID为2.3和-3.8,小型软组织手术的MCID为15.7和-9.8。报告性别、BMI和SDI之间的MCID差异从未超过1.9分。结论:术后6个月PROMIS PF和PI的改善≥5.5和≤-4.8表明与基线相比有显著的临床差异。然而,PROMIS量表的MCID值因足部和踝关节手术和患者特征而异,这表明患者群体的全球MCID可能无法反映每个患者有意义变化的真实阈值。锚定FA SANE允许医生更客观地衡量患者具体情况下可察觉的变化。证据等级:III级,回顾性队列研究。
本文章由计算机程序翻译,如有差异,请以英文原文为准。
求助全文
约1分钟内获得全文 求助全文
来源期刊
Foot & Ankle Orthopaedics
Foot & Ankle Orthopaedics Medicine-Orthopedics and Sports Medicine
CiteScore
1.20
自引率
0.00%
发文量
1152
×
引用
GB/T 7714-2015
复制
MLA
复制
APA
复制
导出至
BibTeX EndNote RefMan NoteFirst NoteExpress
×
提示
您的信息不完整,为了账户安全,请先补充。
现在去补充
×
提示
您因"违规操作"
具体请查看互助需知
我知道了
×
提示
确定
请完成安全验证×
copy
已复制链接
快去分享给好友吧!
我知道了
右上角分享
点击右上角分享
0
联系我们:info@booksci.cn Book学术提供免费学术资源搜索服务,方便国内外学者检索中英文文献。致力于提供最便捷和优质的服务体验。 Copyright © 2023 布克学术 All rights reserved.
京ICP备2023020795号-1
ghs 京公网安备 11010802042870号
Book学术文献互助
Book学术文献互助群
群 号:604180095
Book学术官方微信