Developing risk models for predicting incidence of diabetes and prediabetes in the first-degree relatives of Iranian patients with type 2 diabetes and comparison with the finnish diabetes risk score.

IF 1.5 4区 医学 Q2 MEDICINE, GENERAL & INTERNAL
Journal of Research in Medical Sciences Pub Date : 2025-03-29 eCollection Date: 2025-01-01 DOI:10.4103/jrms.jrms_139_23
Parisa Khodabandeh Shahraki, Awat Feizi, Sima Aminorroaya, Heshmatollah Ghanbari, Majid Abyar, Massoud Amini, Ashraf Aminorroaya
{"title":"Developing risk models for predicting incidence of diabetes and prediabetes in the first-degree relatives of Iranian patients with type 2 diabetes and comparison with the finnish diabetes risk score.","authors":"Parisa Khodabandeh Shahraki, Awat Feizi, Sima Aminorroaya, Heshmatollah Ghanbari, Majid Abyar, Massoud Amini, Ashraf Aminorroaya","doi":"10.4103/jrms.jrms_139_23","DOIUrl":null,"url":null,"abstract":"<p><strong>Background: </strong>We aimed to develop risk models for predicting the onset of developing diabetes and prediabetes in the first-degree relatives (FDRs) of patients with type 2 diabetes, who have normal glucose tolerance (NGT).</p><p><strong>Materials and methods: </strong>In this study, 1765 FDRs of patients with type 2 diabetes mellitus, who had NGT, were subjected to the statistical analysis. Diabetes risk factors, including anthropometric indices, physical activity, fast plasma glucose, plasma glucose concentrations 2-h after oral glucose administration, glycosylated hemoglobin (HbA1c), blood pressure, and lipid profile at the baseline were considered as independent variables. Kaplan-Meier, log-rank test, univariate, and multivariable proportional hazard Cox regression were used for the data analysis. The optimal cutoff value for risk score was created according to the receiver operating characteristic curve analysis.</p><p><strong>Results: </strong>The best diabetes predictability was achieved by a model in which waist-to-hip ratio, HbA1c, oral glucose tolerance test-area under the curve (OGTT-AUC), and the lipid profile were included. The best prediabetes risk model included HbA1c, OGTT-AUC, systolic blood pressure, and the lipid profile. The predictive ability of multivariable risk models was compared with fasting plasma glucose (FPG), HbA1c, and OGTT. The predictive ability of developed models was higher than FPG and HbA1c; however, it was comparable with OGTT-AUC alone. In addition, our study showed that the developed models predicted diabetes and OGTT-AUC better than the Finnish Diabetes Risk Score (FINDRISC).</p><p><strong>Conclusion: </strong>We recommend regular monitoring of risk factors for the FDRs of patients with type 2 diabetes as an efficient approach for predicting and prevention of the occurrence of diabetes and prediabetes in future. Our developed diabetes risk score models showed precise prediction ability compared to the FINDRISC in Iranian population.</p>","PeriodicalId":50062,"journal":{"name":"Journal of Research in Medical Sciences","volume":"30 ","pages":"17"},"PeriodicalIF":1.5000,"publicationDate":"2025-03-29","publicationTypes":"Journal Article","fieldsOfStudy":null,"isOpenAccess":false,"openAccessPdf":"https://www.ncbi.nlm.nih.gov/pmc/articles/PMC12039862/pdf/","citationCount":"0","resultStr":null,"platform":"Semanticscholar","paperid":null,"PeriodicalName":"Journal of Research in Medical Sciences","FirstCategoryId":"3","ListUrlMain":"https://doi.org/10.4103/jrms.jrms_139_23","RegionNum":4,"RegionCategory":"医学","ArticlePicture":[],"TitleCN":null,"AbstractTextCN":null,"PMCID":null,"EPubDate":"2025/1/1 0:00:00","PubModel":"eCollection","JCR":"Q2","JCRName":"MEDICINE, GENERAL & INTERNAL","Score":null,"Total":0}
引用次数: 0

Abstract

Background: We aimed to develop risk models for predicting the onset of developing diabetes and prediabetes in the first-degree relatives (FDRs) of patients with type 2 diabetes, who have normal glucose tolerance (NGT).

Materials and methods: In this study, 1765 FDRs of patients with type 2 diabetes mellitus, who had NGT, were subjected to the statistical analysis. Diabetes risk factors, including anthropometric indices, physical activity, fast plasma glucose, plasma glucose concentrations 2-h after oral glucose administration, glycosylated hemoglobin (HbA1c), blood pressure, and lipid profile at the baseline were considered as independent variables. Kaplan-Meier, log-rank test, univariate, and multivariable proportional hazard Cox regression were used for the data analysis. The optimal cutoff value for risk score was created according to the receiver operating characteristic curve analysis.

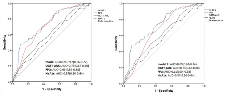
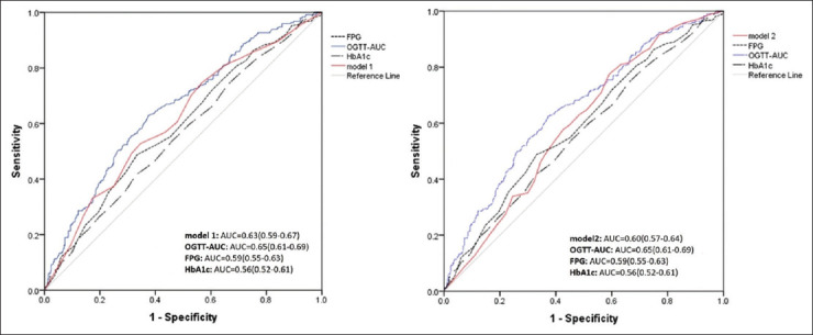
Results: The best diabetes predictability was achieved by a model in which waist-to-hip ratio, HbA1c, oral glucose tolerance test-area under the curve (OGTT-AUC), and the lipid profile were included. The best prediabetes risk model included HbA1c, OGTT-AUC, systolic blood pressure, and the lipid profile. The predictive ability of multivariable risk models was compared with fasting plasma glucose (FPG), HbA1c, and OGTT. The predictive ability of developed models was higher than FPG and HbA1c; however, it was comparable with OGTT-AUC alone. In addition, our study showed that the developed models predicted diabetes and OGTT-AUC better than the Finnish Diabetes Risk Score (FINDRISC).

Conclusion: We recommend regular monitoring of risk factors for the FDRs of patients with type 2 diabetes as an efficient approach for predicting and prevention of the occurrence of diabetes and prediabetes in future. Our developed diabetes risk score models showed precise prediction ability compared to the FINDRISC in Iranian population.

Abstract Image

Abstract Image

Abstract Image

建立预测伊朗2型糖尿病患者一级亲属糖尿病和前驱糖尿病发病率的风险模型,并与芬兰糖尿病风险评分进行比较。
背景:我们旨在建立风险模型,预测糖耐量(NGT)正常的2型糖尿病患者一级亲属(fdr)发生糖尿病和前驱糖尿病的风险。材料与方法:本研究对1765例合并NGT的2型糖尿病患者fdr进行统计分析。糖尿病危险因素,包括人体测量指标、体力活动、空腹血糖、口服葡萄糖给药后2小时的血浆葡萄糖浓度、糖化血红蛋白(HbA1c)、血压和基线时的血脂被视为独立变量。采用Kaplan-Meier检验、log-rank检验、单变量和多变量比例风险Cox回归进行数据分析。根据受试者工作特征曲线分析,确定风险评分的最佳临界值。结果:将腰臀比、糖化血红蛋白(HbA1c)、口服葡萄糖耐量曲线下试验面积(OGTT-AUC)和血脂纳入模型,可获得最佳的糖尿病预测。最佳的前驱糖尿病风险模型包括HbA1c、OGTT-AUC、收缩压和血脂。将多变量风险模型的预测能力与空腹血糖(FPG)、糖化血红蛋白(HbA1c)和OGTT进行比较。建立的模型预测能力高于FPG和HbA1c;然而,它与OGTT-AUC单独相当。此外,我们的研究表明,开发的模型预测糖尿病和OGTT-AUC优于芬兰糖尿病风险评分(FINDRISC)。结论:我们建议定期监测2型糖尿病患者fdr的危险因素,作为预测和预防未来糖尿病及前驱糖尿病发生的有效方法。与FINDRISC相比,我们开发的糖尿病风险评分模型在伊朗人群中显示出精确的预测能力。
本文章由计算机程序翻译,如有差异,请以英文原文为准。
求助全文
约1分钟内获得全文 求助全文
来源期刊
Journal of Research in Medical Sciences
Journal of Research in Medical Sciences MEDICINE, GENERAL & INTERNAL-
CiteScore
2.60
自引率
6.20%
发文量
75
审稿时长
3-6 weeks
期刊介绍: Journal of Research in Medical Sciences, a publication of Isfahan University of Medical Sciences, is a peer-reviewed online continuous journal with print on demand compilation of issues published. The journal’s full text is available online at http://www.jmsjournal.net. The journal allows free access (Open Access) to its contents and permits authors to self-archive final accepted version of the articles on any OAI-compliant institutional / subject-based repository.
×
引用
GB/T 7714-2015
复制
MLA
复制
APA
复制
导出至
BibTeX EndNote RefMan NoteFirst NoteExpress
×
提示
您的信息不完整,为了账户安全,请先补充。
现在去补充
×
提示
您因"违规操作"
具体请查看互助需知
我知道了
×
提示
确定
请完成安全验证×
copy
已复制链接
快去分享给好友吧!
我知道了
右上角分享
点击右上角分享
0
联系我们:info@booksci.cn Book学术提供免费学术资源搜索服务,方便国内外学者检索中英文文献。致力于提供最便捷和优质的服务体验。 Copyright © 2023 布克学术 All rights reserved.
京ICP备2023020795号-1
ghs 京公网安备 11010802042870号
Book学术文献互助
Book学术文献互助群
群 号:604180095
Book学术官方微信