Combination Therapy of Oncolytic Newcastle Virus and Lenalidomide Enhanced Cytotoxicity in Prostate Cancer Cells

Q2 Biochemistry, Genetics and Molecular Biology
Mahdie Jafari, Shahriyar Abdoli, Majid Asgari, Masoud Moghaddam Pour, Mohammad Ali Shokrgozar, Zahra Sharifzadeh
{"title":"Combination Therapy of Oncolytic Newcastle Virus and Lenalidomide Enhanced Cytotoxicity in Prostate Cancer Cells","authors":"Mahdie Jafari, Shahriyar Abdoli, Majid Asgari, Masoud Moghaddam Pour, Mohammad Ali Shokrgozar, Zahra Sharifzadeh","doi":"10.61186/ibj.4367","DOIUrl":null,"url":null,"abstract":"<p><strong>Background: </strong>Despite existing treatments, advanced solid tumors, such as prostate cancer (PCa), require the development of novel anticancer therapies. Oncolytic viruses (OVs) present a potential treatment option for solid tumors. Newcastle disease virus (NDV) is one of the most promising OVs that can replicate within and destroys human cancer cells. This study aimed to evaluate the cytotoxic and apoptotic effects of the NDV strain on human PCa cells in vitro. Additionally, We examined a novel treatment for PCa by combining Lenalidomide (Len) with NDV.</p><p><strong>Methods: </strong>NDV strains La Sota, B1, and I2 were tested for cytotoxicity against several cell lines. A safety assessment was conducted in primary cells using peripheral blood mononuclear cells (PBMCs). Also, apoptosis induction was measured using annexin V/7AAD staining. Finally, the cytotoxic effects of NDV alone and in combination with Len, were assessed using MTT.</p><p><strong>Results: </strong>The NDV showed cytotoxic effects on tumor cell lines and induced apoptosis in infected prostate cells compared to control cells. The NDV La Sota strain exhibited significant oncolytic capacity, reducing the viability of LNCaP and DU145 cells to less than 40% at specific concentrations, while showing no cytotoxic effects on primary PBMCs. Also, NDV induced apoptosis in the prostate cell line by 60%. Furthermore, Len enhanced the cytotoxicity of PCa cells when combined with NDV.</p><p><strong>Conclusion: </strong>Our study confirms the efficacy of oncolytic NDV treatment for PCa, particularly utilizing the La Sota strain. When combined with Len, NDV indicates an enhanced effectiveness in destroying tumor cells. These findings suggest a prospective treatment approach that needs more preclinical and clinical studies to improve outcomes in PCa treatment.</p>","PeriodicalId":14500,"journal":{"name":"Iranian Biomedical Journal","volume":"29 1 & 2","pages":"9-19"},"PeriodicalIF":0.0000,"publicationDate":"2025-01-01","publicationTypes":"Journal Article","fieldsOfStudy":null,"isOpenAccess":false,"openAccessPdf":"https://www.ncbi.nlm.nih.gov/pmc/articles/PMC12040631/pdf/","citationCount":"0","resultStr":null,"platform":"Semanticscholar","paperid":null,"PeriodicalName":"Iranian Biomedical Journal","FirstCategoryId":"1085","ListUrlMain":"https://doi.org/10.61186/ibj.4367","RegionNum":0,"RegionCategory":null,"ArticlePicture":[],"TitleCN":null,"AbstractTextCN":null,"PMCID":null,"EPubDate":"","PubModel":"","JCR":"Q2","JCRName":"Biochemistry, Genetics and Molecular Biology","Score":null,"Total":0}
引用次数: 0

Abstract

Background: Despite existing treatments, advanced solid tumors, such as prostate cancer (PCa), require the development of novel anticancer therapies. Oncolytic viruses (OVs) present a potential treatment option for solid tumors. Newcastle disease virus (NDV) is one of the most promising OVs that can replicate within and destroys human cancer cells. This study aimed to evaluate the cytotoxic and apoptotic effects of the NDV strain on human PCa cells in vitro. Additionally, We examined a novel treatment for PCa by combining Lenalidomide (Len) with NDV.

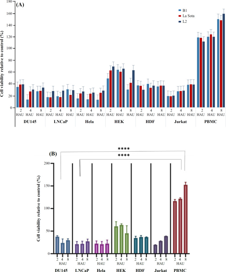
Methods: NDV strains La Sota, B1, and I2 were tested for cytotoxicity against several cell lines. A safety assessment was conducted in primary cells using peripheral blood mononuclear cells (PBMCs). Also, apoptosis induction was measured using annexin V/7AAD staining. Finally, the cytotoxic effects of NDV alone and in combination with Len, were assessed using MTT.

Results: The NDV showed cytotoxic effects on tumor cell lines and induced apoptosis in infected prostate cells compared to control cells. The NDV La Sota strain exhibited significant oncolytic capacity, reducing the viability of LNCaP and DU145 cells to less than 40% at specific concentrations, while showing no cytotoxic effects on primary PBMCs. Also, NDV induced apoptosis in the prostate cell line by 60%. Furthermore, Len enhanced the cytotoxicity of PCa cells when combined with NDV.

Conclusion: Our study confirms the efficacy of oncolytic NDV treatment for PCa, particularly utilizing the La Sota strain. When combined with Len, NDV indicates an enhanced effectiveness in destroying tumor cells. These findings suggest a prospective treatment approach that needs more preclinical and clinical studies to improve outcomes in PCa treatment.

Abstract Image

Abstract Image

Abstract Image

溶瘤新城病毒与来那度胺联合治疗增强前列腺癌细胞的细胞毒性
背景:尽管有现有的治疗方法,晚期实体肿瘤,如前列腺癌(PCa),需要开发新的抗癌疗法。溶瘤病毒(OVs)是治疗实体瘤的一种潜在选择。新城疫病毒(NDV)是最有前途的一种能在人类癌细胞内复制并破坏癌细胞的病毒。本研究旨在评价NDV菌株对人PCa细胞的细胞毒性和凋亡作用。此外,我们研究了来那度胺(Lenalidomide, Len)与NDV联合治疗PCa的新方法。方法:检测NDV菌株La Sota、B1和I2对多种细胞系的细胞毒性。使用外周血单核细胞(PBMCs)对原代细胞进行了安全性评估。annexin V/7AAD染色检测细胞凋亡诱导。最后,用MTT法评估NDV单独和与Len联合使用的细胞毒作用。结果:与对照细胞相比,NDV对肿瘤细胞系具有细胞毒作用,并诱导感染前列腺细胞凋亡。NDV La Sota菌株表现出显著的溶瘤能力,在特定浓度下将LNCaP和DU145细胞的活力降低至40%以下,而对原代pbmc没有细胞毒性作用。NDV诱导前列腺细胞株凋亡率达60%。此外,Len与NDV联合后,增强了PCa细胞的细胞毒性。结论:我们的研究证实了溶瘤NDV治疗PCa的有效性,特别是利用La Sota菌株。当与Len联合使用时,NDV对肿瘤细胞的杀伤效果增强。这些发现提示了一种前瞻性的治疗方法,需要更多的临床前和临床研究来改善前列腺癌治疗的结果。
本文章由计算机程序翻译,如有差异,请以英文原文为准。
求助全文
约1分钟内获得全文 求助全文
来源期刊
Iranian Biomedical Journal
Iranian Biomedical Journal Biochemistry, Genetics and Molecular Biology-Biochemistry, Genetics and Molecular Biology (all)
CiteScore
3.20
自引率
0.00%
发文量
42
审稿时长
8 weeks
×
引用
GB/T 7714-2015
复制
MLA
复制
APA
复制
导出至
BibTeX EndNote RefMan NoteFirst NoteExpress
×
提示
您的信息不完整,为了账户安全,请先补充。
现在去补充
×
提示
您因"违规操作"
具体请查看互助需知
我知道了
×
提示
确定
请完成安全验证×
copy
已复制链接
快去分享给好友吧!
我知道了
右上角分享
点击右上角分享
0
联系我们:info@booksci.cn Book学术提供免费学术资源搜索服务,方便国内外学者检索中英文文献。致力于提供最便捷和优质的服务体验。 Copyright © 2023 布克学术 All rights reserved.
京ICP备2023020795号-1
ghs 京公网安备 11010802042870号
Book学术文献互助
Book学术文献互助群
群 号:604180095
Book学术官方微信