Impact of Islet Transplantation on Diabetes Complications and Mortality in Patients Living With Type 1 Diabetes.

IF 16.6
Diabetes care Pub Date : 2025-06-01 DOI:10.2337/dc25-0059
Quentin Perrier, Clément Jambon-Barbara, Laurence Kessler, Orianne Villard, Fanny Buron, Bruno Guerci, Sophie Borot, Matthieu Roustit, Ekaterine Berishvilli, Luc Rakotoarisoa, Marie-Christine Vantyghem, Emmanuel Morelon, Eric Renard, Camille Besch, Thierry Berney, Pierre-Yves Benhamou, Sandrine Lablanche
{"title":"Impact of Islet Transplantation on Diabetes Complications and Mortality in Patients Living With Type 1 Diabetes.","authors":"Quentin Perrier, Clément Jambon-Barbara, Laurence Kessler, Orianne Villard, Fanny Buron, Bruno Guerci, Sophie Borot, Matthieu Roustit, Ekaterine Berishvilli, Luc Rakotoarisoa, Marie-Christine Vantyghem, Emmanuel Morelon, Eric Renard, Camille Besch, Thierry Berney, Pierre-Yves Benhamou, Sandrine Lablanche","doi":"10.2337/dc25-0059","DOIUrl":null,"url":null,"abstract":"<p><strong>Objective: </strong>This study aimed to evaluate the impact of islet transplantation (IT) on diabetes complications, death, and cancer incidence.</p><p><strong>Research design and methods: </strong>This retrospective, multicenter, cohort study included patients from three IT clinical trials (intervention group) and from the French health insurance claims database Système National des Données de Santé (SNDS) (control group). Two cohorts of IT recipients were analyzed: IT recipients after kidney transplantation (IAK) and IT recipients alone (ITA). They were matched with patients living with type 1 diabetes (T1D) from the SNDS using a propensity score. The primary outcome was a composite criterion including death, dialysis, amputation, nonfatal stroke, nonfatal myocardial infarction, and transient ischemic attack. The secondary outcome was cancer. Hazard ratio (HRs) and P values were obtained using Cox proportional hazards analysis and log-rank test, respectively.</p><p><strong>Results: </strong>The study included 61 ITA recipients matched to 610 T1D control patients and 45 IAK recipients matched to 45 T1D control patients over a median follow-up period >10 years. Compared with T1D control patients, ITA and IAK recipients had a lower composite outcome risk (HR 0.39 [95% CI 0.21-0.71; P = 0.002] and 0.52 [0.30-0.88; P = 0.014], respectively) that seemed driven by reduced mortality (0.22 [0.09-0.54]; P < 0.001) for ITA and reduced dialysis (0.19 [0.07-0.50]; P < 0.001) for IAK. Both groups showed no significant changes in cancer risk.</p><p><strong>Conclusions: </strong>This study suggests long-term benefits of IT on diabetes-related outcomes. Furthermore, despite the use of immunosuppressive drugs following IT, we observed no significant increase in the risk of cancer. Altogether, these findings highlight a favorable risk-benefit ratio of IT in treating patients with unstable T1D.</p>","PeriodicalId":93979,"journal":{"name":"Diabetes care","volume":" ","pages":"1007-1015"},"PeriodicalIF":16.6000,"publicationDate":"2025-06-01","publicationTypes":"Journal Article","fieldsOfStudy":null,"isOpenAccess":false,"openAccessPdf":"https://www.ncbi.nlm.nih.gov/pmc/articles/PMC12094206/pdf/","citationCount":"0","resultStr":null,"platform":"Semanticscholar","paperid":null,"PeriodicalName":"Diabetes care","FirstCategoryId":"1085","ListUrlMain":"https://doi.org/10.2337/dc25-0059","RegionNum":0,"RegionCategory":null,"ArticlePicture":[],"TitleCN":null,"AbstractTextCN":null,"PMCID":null,"EPubDate":"","PubModel":"","JCR":"","JCRName":"","Score":null,"Total":0}
引用次数: 0

Abstract

Objective: This study aimed to evaluate the impact of islet transplantation (IT) on diabetes complications, death, and cancer incidence.

Research design and methods: This retrospective, multicenter, cohort study included patients from three IT clinical trials (intervention group) and from the French health insurance claims database Système National des Données de Santé (SNDS) (control group). Two cohorts of IT recipients were analyzed: IT recipients after kidney transplantation (IAK) and IT recipients alone (ITA). They were matched with patients living with type 1 diabetes (T1D) from the SNDS using a propensity score. The primary outcome was a composite criterion including death, dialysis, amputation, nonfatal stroke, nonfatal myocardial infarction, and transient ischemic attack. The secondary outcome was cancer. Hazard ratio (HRs) and P values were obtained using Cox proportional hazards analysis and log-rank test, respectively.

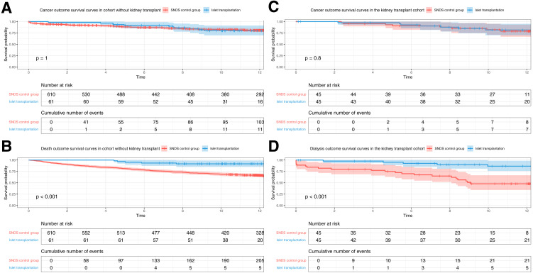
Results: The study included 61 ITA recipients matched to 610 T1D control patients and 45 IAK recipients matched to 45 T1D control patients over a median follow-up period >10 years. Compared with T1D control patients, ITA and IAK recipients had a lower composite outcome risk (HR 0.39 [95% CI 0.21-0.71; P = 0.002] and 0.52 [0.30-0.88; P = 0.014], respectively) that seemed driven by reduced mortality (0.22 [0.09-0.54]; P < 0.001) for ITA and reduced dialysis (0.19 [0.07-0.50]; P < 0.001) for IAK. Both groups showed no significant changes in cancer risk.

Conclusions: This study suggests long-term benefits of IT on diabetes-related outcomes. Furthermore, despite the use of immunosuppressive drugs following IT, we observed no significant increase in the risk of cancer. Altogether, these findings highlight a favorable risk-benefit ratio of IT in treating patients with unstable T1D.

Abstract Image

Abstract Image

Abstract Image

胰岛移植对1型糖尿病患者糖尿病并发症和死亡率的影响
目的:本研究旨在评估胰岛移植(IT)对糖尿病并发症、死亡和癌症发生率的影响。研究设计和方法:这项回顾性、多中心、队列研究纳入了来自三个IT临床试验(干预组)和来自法国健康保险索赔数据库系统(SNDS)(对照组)的患者。对两组接受肾移植的患者进行分析:肾移植后接受肾移植的患者(IAK)和单独接受肾移植的患者(ITA)。他们与来自SNDS的1型糖尿病(T1D)患者使用倾向评分进行匹配。主要结局是一个复合标准,包括死亡、透析、截肢、非致死性中风、非致死性心肌梗死和短暂性脑缺血发作。次要结果是癌症。风险比(hr)和P值分别采用Cox比例风险分析和log-rank检验。结果:该研究包括61名ITA受体与610名T1D对照患者相匹配,45名IAK受体与45名T1D对照患者相匹配,中位随访期为10年。与T1D对照患者相比,ITA和IAK受体患者的综合结局风险较低(HR 0.39 [95% CI 0.21-0.71;P = 0.002]和0.52 [0.30-0.88;P = 0.014]),似乎是由于死亡率降低(0.22 [0.09-0.54];P < 0.001)和减少透析(0.19 [0.07-0.50];P < 0.001)。两组的癌症风险都没有明显变化。结论:本研究提示IT对糖尿病相关预后的长期益处。此外,尽管在IT后使用免疫抑制药物,我们观察到癌症风险没有显著增加。总之,这些发现强调了IT治疗不稳定T1D患者的有利风险-收益比。
本文章由计算机程序翻译,如有差异,请以英文原文为准。
求助全文
约1分钟内获得全文 求助全文
来源期刊
CiteScore
29.50
自引率
0.00%
发文量
0
×
引用
GB/T 7714-2015
复制
MLA
复制
APA
复制
导出至
BibTeX EndNote RefMan NoteFirst NoteExpress
×
提示
您的信息不完整,为了账户安全,请先补充。
现在去补充
×
提示
您因"违规操作"
具体请查看互助需知
我知道了
×
提示
确定
请完成安全验证×
copy
已复制链接
快去分享给好友吧!
我知道了
右上角分享
点击右上角分享
0
联系我们:info@booksci.cn Book学术提供免费学术资源搜索服务,方便国内外学者检索中英文文献。致力于提供最便捷和优质的服务体验。 Copyright © 2023 布克学术 All rights reserved.
京ICP备2023020795号-1
ghs 京公网安备 11010802042870号
Book学术文献互助
Book学术文献互助群
群 号:604180095
Book学术官方微信