[Intention to leave the nursing profession due to mental health factors in Navarre (Spain) during the post.COVID-19 pandemic period].

IF 0.6
Cristina García-Vivar, Marta Ferraz-Torres, Paula Escalada-Hernández, Nelia Soto-Ruiz
{"title":"[Intention to leave the nursing profession due to mental health factors in Navarre (Spain) during the post.COVID-19 pandemic period].","authors":"Cristina García-Vivar, Marta Ferraz-Torres, Paula Escalada-Hernández, Nelia Soto-Ruiz","doi":"10.23938/ASSN.1110","DOIUrl":null,"url":null,"abstract":"<p><strong>Background: </strong>This study aimed to assess the intention to leave the current job or the nursing profession among nurses in the Foral Community of Navarre (Spain) during the sixth wave of the COVID-19 pandemic (October 2021-March 2022). The research also evaluated associations between this intention and nurses´ mental health status and sociodemographic characteristics.</p><p><strong>Methods: </strong>Descriptive, cross-sectional study that included nurses who worked in healthcare institutions in Navarre during the COVID-19 pandemic. A questionnaire was designed using validated scales to assess depression, anxiety, insomnia, post-traumatic stress, and the intention to leave the job or profession. The questionnaire was distributed via e-mail to all registered nurses, and data collection concluded upon reaching the required sample size.</p><p><strong>Results: </strong>Of the 693 nurses who participated, 691 completed the questionnaire in full. Overall, 43% of respondents reported an intention to leave the nursing profession, and of these, 52% also considered leaving the current job. Nurses experiencing higher levels of anxiety and post-traumatic stress, as well as those with fewer years of professional experience, were significantly more likely to report an intention to leave.</p><p><strong>Conclusions: </strong>A substantial proportion of nurses in Navarre considered leaving the profession during the sixth wave of the COVID-19 pandemic, with mental health -particularly anxiety and post-traumatic stress - and limited professional experience being the key contributing factors. These findings underscore the need for targeted interventions to support nurses´ mental health, improve working conditions, and mitigate job abandonment during and after public health emergencies.</p>","PeriodicalId":500996,"journal":{"name":"Anales del sistema sanitario de Navarra","volume":"48 1","pages":""},"PeriodicalIF":0.6000,"publicationDate":"2025-04-30","publicationTypes":"Journal Article","fieldsOfStudy":null,"isOpenAccess":false,"openAccessPdf":"https://www.ncbi.nlm.nih.gov/pmc/articles/PMC12121460/pdf/","citationCount":"0","resultStr":null,"platform":"Semanticscholar","paperid":null,"PeriodicalName":"Anales del sistema sanitario de Navarra","FirstCategoryId":"1085","ListUrlMain":"https://doi.org/10.23938/ASSN.1110","RegionNum":0,"RegionCategory":null,"ArticlePicture":[],"TitleCN":null,"AbstractTextCN":null,"PMCID":null,"EPubDate":"","PubModel":"","JCR":"","JCRName":"","Score":null,"Total":0}
引用次数: 0

Abstract

Background: This study aimed to assess the intention to leave the current job or the nursing profession among nurses in the Foral Community of Navarre (Spain) during the sixth wave of the COVID-19 pandemic (October 2021-March 2022). The research also evaluated associations between this intention and nurses´ mental health status and sociodemographic characteristics.

Methods: Descriptive, cross-sectional study that included nurses who worked in healthcare institutions in Navarre during the COVID-19 pandemic. A questionnaire was designed using validated scales to assess depression, anxiety, insomnia, post-traumatic stress, and the intention to leave the job or profession. The questionnaire was distributed via e-mail to all registered nurses, and data collection concluded upon reaching the required sample size.

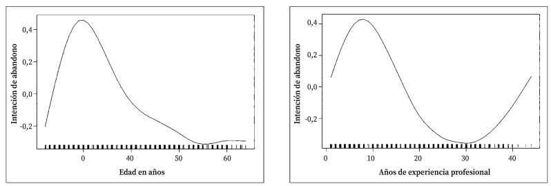
Results: Of the 693 nurses who participated, 691 completed the questionnaire in full. Overall, 43% of respondents reported an intention to leave the nursing profession, and of these, 52% also considered leaving the current job. Nurses experiencing higher levels of anxiety and post-traumatic stress, as well as those with fewer years of professional experience, were significantly more likely to report an intention to leave.

Conclusions: A substantial proportion of nurses in Navarre considered leaving the profession during the sixth wave of the COVID-19 pandemic, with mental health -particularly anxiety and post-traumatic stress - and limited professional experience being the key contributing factors. These findings underscore the need for targeted interventions to support nurses´ mental health, improve working conditions, and mitigate job abandonment during and after public health emergencies.

Abstract Image

【在西班牙纳瓦拉(Navarre)任职期间因心理健康因素有意离开护理专业】COVID-19大流行期]。
背景:本研究旨在评估2019冠状病毒病疫情第六波(2021年10月至2022年3月)期间,西班牙纳瓦拉正式社区护士离职或放弃护理专业的意向。研究还评估了这种意向与护士心理健康状况和社会人口特征之间的关系。方法:描述性横断面研究,纳入了在COVID-19大流行期间在纳瓦拉医疗机构工作的护士。设计了一份问卷,使用有效的量表来评估抑郁、焦虑、失眠、创伤后压力和离开工作或职业的意图。问卷通过电子邮件发给所有注册护士,达到所需样本量后数据收集结束。结果:693名护士中,691名完整填写了问卷。总体而言,43%的受访者表示有意离开护理行业,其中52%的人也考虑离开目前的工作。焦虑和创伤后应激水平较高的护士,以及那些专业经验较短的护士,更有可能报告有意离职。结论:在2019冠状病毒病第六波大流行期间,纳瓦拉有相当大比例的护士考虑离开这一职业,心理健康(尤其是焦虑和创伤后应激)和有限的专业经验是主要因素。这些发现强调需要有针对性的干预措施,以支持护士的心理健康,改善工作条件,并减少在突发公共卫生事件期间和之后的工作放弃。
本文章由计算机程序翻译,如有差异,请以英文原文为准。
求助全文
约1分钟内获得全文 求助全文
来源期刊
自引率
0.00%
发文量
0
×
引用
GB/T 7714-2015
复制
MLA
复制
APA
复制
导出至
BibTeX EndNote RefMan NoteFirst NoteExpress
×
提示
您的信息不完整,为了账户安全,请先补充。
现在去补充
×
提示
您因"违规操作"
具体请查看互助需知
我知道了
×
提示
确定
请完成安全验证×
copy
已复制链接
快去分享给好友吧!
我知道了
右上角分享
点击右上角分享
0
联系我们:info@booksci.cn Book学术提供免费学术资源搜索服务,方便国内外学者检索中英文文献。致力于提供最便捷和优质的服务体验。 Copyright © 2023 布克学术 All rights reserved.
京ICP备2023020795号-1
ghs 京公网安备 11010802042870号
Book学术文献互助
Book学术文献互助群
群 号:604180095
Book学术官方微信