Relationship Between Adverse Neonatal Outcomes and Diastolic Deceleration Area on Fetal MCA Doppler in Patients with Late Fetal Growth Restriction.

IF 0.9 Q3 MEDICINE, GENERAL & INTERNAL
Medical Bulletin of Sisli Etfal Hospital Pub Date : 2025-03-18 eCollection Date: 2025-01-01 DOI:10.14744/SEMB.2025.73368
Gulsan Karabay, Zeynep Seyhanli, Betul Tokgoz Cakir, Gizem Aktemur, Serap Topkara Sucu, Nazan Vanli Tonyali, Mevlut Bucak, Recep Taha Agaoglu, Ahmet Arif Filiz, Huseyin Levent Keskin, Umut Karabay, Seda Aydogan, Gulsah Dagdeviren
{"title":"Relationship Between Adverse Neonatal Outcomes and Diastolic Deceleration Area on Fetal MCA Doppler in Patients with Late Fetal Growth Restriction.","authors":"Gulsan Karabay, Zeynep Seyhanli, Betul Tokgoz Cakir, Gizem Aktemur, Serap Topkara Sucu, Nazan Vanli Tonyali, Mevlut Bucak, Recep Taha Agaoglu, Ahmet Arif Filiz, Huseyin Levent Keskin, Umut Karabay, Seda Aydogan, Gulsah Dagdeviren","doi":"10.14744/SEMB.2025.73368","DOIUrl":null,"url":null,"abstract":"<p><strong>Objectives: </strong>This study aimed to assess the predictive value of the Diastolic Deceleration Area (DDA), a novel Doppler ultrasound parameter, in detecting adverse neonatal outcomes in fetuses with late-onset fetal growth restriction (FGR). While Doppler parameters such as cerebroplacental ratio (CPR), umbilicocerebral ratio (UCR), and cerebralplacentaluterine ratio (CPUR) are commonly used for fetal monitoring, their predictive power varies. Given the importance of cerebral blood flow redistribution in fetal adaptation to hypoxia, we investigated whether DDA could serve as a reliable indicator of fetal distress and adverse perinatal outcomes.</p><p><strong>Methods: </strong>This prospective case-control study was conducted between January 2024 and July 2024, including 90 pregnant women: 45 diagnosed with late-onset FGR and 45 gestational age-matched healthy controls. Doppler ultrasound measurements, including umbilical artery, uterine artery, middle cerebral artery Doppler indices, CPR, UCR, CPUR, and DDA, were performed. The primary outcome was the prediction of adverse neonatal events, such as neonatal intensive care unit (NICU) admission, neonatal sepsis, respiratory distress, low APGAR scores, and low cord blood pH. Receiver Operating Characteristic (ROC) curve analysis was used to determine the predictive ability of the Doppler indices.</p><p><strong>Results: </strong>DDA values were significantly higher in the FGR group compared to controls (p<0.001). At a cut-off value of >7.23, DDA demonstrated 50% sensitivity and 88% specificity, making it the most specific Doppler parameter for predicting adverse neonatal outcomes. In comparison, CPR (cut-off ≤2.11), UCR (cut-off >0.46) and CPUR (cut-off ≤1.36) had higher sensitivity (96%, 96%, 54%) but lower specificity (32%, 31% and 85% respectively).</p><p><strong>Conclusion: </strong>DDA is a promising Doppler parameter for identifying fetuses at risk in late-onset FGR. Its high specificity suggests it could be a valuable supplementary tool alongside traditional Doppler indices for better risk assessment and clinical decision-making. Further studies are needed to validate its role in perinatal care.</p>","PeriodicalId":42218,"journal":{"name":"Medical Bulletin of Sisli Etfal Hospital","volume":"59 1","pages":"119-126"},"PeriodicalIF":0.9000,"publicationDate":"2025-03-18","publicationTypes":"Journal Article","fieldsOfStudy":null,"isOpenAccess":false,"openAccessPdf":"https://www.ncbi.nlm.nih.gov/pmc/articles/PMC11983021/pdf/","citationCount":"0","resultStr":null,"platform":"Semanticscholar","paperid":null,"PeriodicalName":"Medical Bulletin of Sisli Etfal Hospital","FirstCategoryId":"1085","ListUrlMain":"https://doi.org/10.14744/SEMB.2025.73368","RegionNum":0,"RegionCategory":null,"ArticlePicture":[],"TitleCN":null,"AbstractTextCN":null,"PMCID":null,"EPubDate":"2025/1/1 0:00:00","PubModel":"eCollection","JCR":"Q3","JCRName":"MEDICINE, GENERAL & INTERNAL","Score":null,"Total":0}
引用次数: 0

Abstract

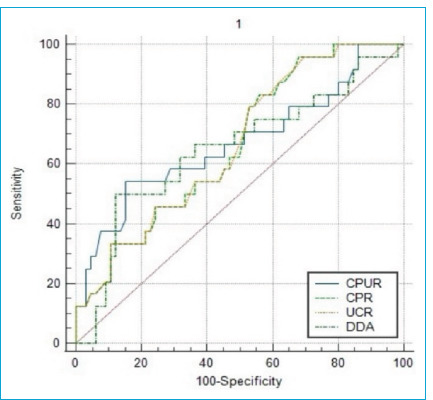
Objectives: This study aimed to assess the predictive value of the Diastolic Deceleration Area (DDA), a novel Doppler ultrasound parameter, in detecting adverse neonatal outcomes in fetuses with late-onset fetal growth restriction (FGR). While Doppler parameters such as cerebroplacental ratio (CPR), umbilicocerebral ratio (UCR), and cerebralplacentaluterine ratio (CPUR) are commonly used for fetal monitoring, their predictive power varies. Given the importance of cerebral blood flow redistribution in fetal adaptation to hypoxia, we investigated whether DDA could serve as a reliable indicator of fetal distress and adverse perinatal outcomes.

Methods: This prospective case-control study was conducted between January 2024 and July 2024, including 90 pregnant women: 45 diagnosed with late-onset FGR and 45 gestational age-matched healthy controls. Doppler ultrasound measurements, including umbilical artery, uterine artery, middle cerebral artery Doppler indices, CPR, UCR, CPUR, and DDA, were performed. The primary outcome was the prediction of adverse neonatal events, such as neonatal intensive care unit (NICU) admission, neonatal sepsis, respiratory distress, low APGAR scores, and low cord blood pH. Receiver Operating Characteristic (ROC) curve analysis was used to determine the predictive ability of the Doppler indices.

Results: DDA values were significantly higher in the FGR group compared to controls (p<0.001). At a cut-off value of >7.23, DDA demonstrated 50% sensitivity and 88% specificity, making it the most specific Doppler parameter for predicting adverse neonatal outcomes. In comparison, CPR (cut-off ≤2.11), UCR (cut-off >0.46) and CPUR (cut-off ≤1.36) had higher sensitivity (96%, 96%, 54%) but lower specificity (32%, 31% and 85% respectively).

Conclusion: DDA is a promising Doppler parameter for identifying fetuses at risk in late-onset FGR. Its high specificity suggests it could be a valuable supplementary tool alongside traditional Doppler indices for better risk assessment and clinical decision-making. Further studies are needed to validate its role in perinatal care.

Abstract Image

Abstract Image

晚期胎儿生长受限患者胎儿MCA多普勒舒张减速区与新生儿不良结局的关系。
目的:本研究旨在评估舒张减速区(DDA)这一新型多普勒超声参数在检测迟发性胎儿生长受限(FGR)胎儿不良新生儿结局中的预测价值。虽然多普勒参数如脑胎盘比(CPR)、脐脑比(UCR)和脑胎盘子宫比(CPUR)通常用于胎儿监测,但它们的预测能力各不相同。鉴于脑血流再分布在胎儿缺氧适应中的重要性,我们研究了DDA是否可以作为胎儿窘迫和不良围产期结局的可靠指标。方法:本前瞻性病例对照研究于2024年1月至2024年7月进行,包括90名孕妇,其中45名诊断为晚发型FGR, 45名孕龄匹配的健康对照。多普勒超声测量包括脐动脉、子宫动脉、大脑中动脉多普勒指数、CPR、UCR、CPUR和DDA。主要结局是预测新生儿不良事件,如新生儿重症监护病房(NICU)入院、新生儿脓毒症、呼吸窘迫、低APGAR评分和低脐带血ph。采用受试者工作特征(ROC)曲线分析确定多普勒指数的预测能力。结果:FGR组的DDA值明显高于对照组(p7.23), DDA具有50%的敏感性和88%的特异性,是预测新生儿不良结局最特异的多普勒参数。相比之下,CPR (cut- cut≤2.11)、UCR (cut- cut bb0 0.46)和CPUR (cut- cut≤1.36)的敏感性较高(96%、96%、54%),特异性较低(分别为32%、31%和85%)。结论:DDA是鉴别迟发性FGR高危胎儿的一种有前途的多普勒参数。它的高特异性表明它可以作为传统多普勒指数的有价值的补充工具,用于更好的风险评估和临床决策。需要进一步的研究来验证其在围产期护理中的作用。
本文章由计算机程序翻译,如有差异,请以英文原文为准。
求助全文
约1分钟内获得全文 求助全文
来源期刊
Medical Bulletin of Sisli Etfal Hospital
Medical Bulletin of Sisli Etfal Hospital MEDICINE, GENERAL & INTERNAL-
自引率
16.70%
发文量
41
×
引用
GB/T 7714-2015
复制
MLA
复制
APA
复制
导出至
BibTeX EndNote RefMan NoteFirst NoteExpress
×
提示
您的信息不完整,为了账户安全,请先补充。
现在去补充
×
提示
您因"违规操作"
具体请查看互助需知
我知道了
×
提示
确定
请完成安全验证×
copy
已复制链接
快去分享给好友吧!
我知道了
右上角分享
点击右上角分享
0
联系我们:info@booksci.cn Book学术提供免费学术资源搜索服务,方便国内外学者检索中英文文献。致力于提供最便捷和优质的服务体验。 Copyright © 2023 布克学术 All rights reserved.
京ICP备2023020795号-1
ghs 京公网安备 11010802042870号
Book学术文献互助
Book学术文献互助群
群 号:604180095
Book学术官方微信